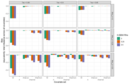
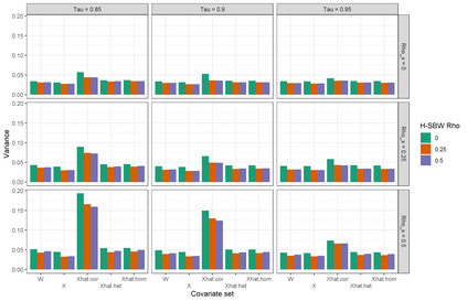
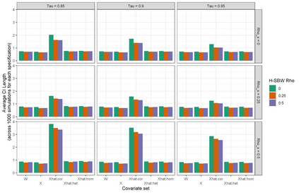
We predict the average effect of Medicaid expansion on the non-elderly adult uninsurance rate among states that did not expand Medicaid in 2014 as if they had expanded their Medicaid eligibility requirements. Using American Community Survey data aggregated to the region level, we estimate this effect by finding weights that approximately reweights the expansion regions to match the covariate distribution of the non-expansion regions. Existing methods to estimate balancing weights often assume that the covariates are measured without error and do not account for dependencies in the outcome model. Our covariates have random noise that is uncorrelated with the outcome errors and our outcome model has state-level random effects inducing dependence between regions. To correct for the bias induced by the measurement error, we propose generating our weights on a linear approximation to the true covariates, using an idea from measurement error literature known as "regression-calibration" (see, e.g., Carroll (2006)). This requires auxiliary data to estimate the variability of the measurement error. We also modify the Stable Balancing Weights objective proposed by Zubizaretta (2015)) to reduce the variance of our estimator when the model errors follow our assumed correlation structure. We show that these approaches outperform existing methods when attempting to predict observed outcomes during the pre-treatment period. Using this method we estimate that Medicaid expansion would have caused a -2.33 (-3.54, -1.11) percentage point change in the adult uninsurance rate among states that did not expand Medicaid.


翻译:我们预测了医疗保险计划扩大对2014年没有像扩大医疗补助计划资格要求那样扩大医疗补助计划的国家中非老年成人无保险率的平均影响。我们利用美援社区调查数据汇总到地区一级,通过发现一些加权量来估计这一影响,这些加权量大约使扩张区域与非扩张区域的共变分布相匹配。现有加权数估计方法往往假设,共差值的衡量没有错误,而且没有考虑到结果模型的依赖性。我们的共变体有随机噪音,与结果错误不相干,而我们的成果模型则产生州一级随机效应,导致区域之间的依赖性。为了纠正测量错误造成的偏差,我们建议利用测量误差文献中被称为“回归-平衡”的现有加权数估计值来调整实际差异。 这需要辅助数据来估计测量错误的变异性。我们还修改了Zubizaretta(2015年)在不成熟的成人模型中提议的平衡度目标,导致区域之间的偏差作用。为了纠正测量误差,我们建议用直线接近真正的共变差值,我们用测量误算方法来显示我们目前采用的货币计算结果。

0
下载
关闭预览

相关内容

不可错过!700+ppt《因果推理》课程!杜克大学Fan Li教程
专知会员服务
72+阅读 · 2022年7月11日
最新《自监督表示学习》报告,70页ppt
专知会员服务
86+阅读 · 2020年12月22日
因果图,Causal Graphs,52页ppt
专知会员服务
253+阅读 · 2020年4月19日
【哈佛大学商学院课程Fall 2019】机器学习可解释性
专知会员服务
105+阅读 · 2019年10月9日
【SIGGRAPH2019】TensorFlow 2.0深度学习计算机图形学应用
专知会员服务
41+阅读 · 2019年10月9日
VCIP 2022 Call for Demos
CCF多媒体专委会
1+阅读 · 2022年6月6日
VCIP 2022 Call for Special Session Proposals
CCF多媒体专委会
1+阅读 · 2022年4月1日
ACM MM 2022 Call for Papers
CCF多媒体专委会
5+阅读 · 2022年3月29日
【ICIG2021】Latest News & Announcements of the Tutorial
中国图象图形学学会CSIG
3+阅读 · 2021年12月20日
【ICIG2021】Latest News & Announcements of the Workshop
中国图象图形学学会CSIG
0+阅读 · 2021年12月20日
【ICIG2021】Latest News & Announcements of the Industry Talk2
中国图象图形学学会CSIG
0+阅读 · 2021年7月29日
【ICIG2021】Latest News & Announcements of the Industry Talk1
中国图象图形学学会CSIG
0+阅读 · 2021年7月28日
Hierarchically Structured Meta-learning
CreateAMind
27+阅读 · 2019年5月22日
A Technical Overview of AI & ML in 2018 & Trends for 2019
待字闺中
18+阅读 · 2018年12月24日
disentangled-representation-papers
CreateAMind
26+阅读 · 2018年9月12日
国家自然科学基金
0+阅读 · 2013年12月31日
国家自然科学基金
0+阅读 · 2013年12月31日
国家自然科学基金
1+阅读 · 2012年12月31日
国家自然科学基金
0+阅读 · 2012年12月31日
国家自然科学基金
0+阅读 · 2011年12月31日
国家自然科学基金
0+阅读 · 2011年12月31日
国家自然科学基金
0+阅读 · 2009年12月31日
国家自然科学基金
0+阅读 · 2009年12月31日
Arxiv
15+阅读 · 2020年12月17日
VIP会员
相关资讯
VCIP 2022 Call for Demos
CCF多媒体专委会
1+阅读 · 2022年6月6日
VCIP 2022 Call for Special Session Proposals
CCF多媒体专委会
1+阅读 · 2022年4月1日
ACM MM 2022 Call for Papers
CCF多媒体专委会
5+阅读 · 2022年3月29日
【ICIG2021】Latest News & Announcements of the Tutorial
中国图象图形学学会CSIG
3+阅读 · 2021年12月20日
【ICIG2021】Latest News & Announcements of the Workshop
中国图象图形学学会CSIG
0+阅读 · 2021年12月20日
【ICIG2021】Latest News & Announcements of the Industry Talk2
中国图象图形学学会CSIG
0+阅读 · 2021年7月29日
【ICIG2021】Latest News & Announcements of the Industry Talk1
中国图象图形学学会CSIG
0+阅读 · 2021年7月28日
Hierarchically Structured Meta-learning
CreateAMind
27+阅读 · 2019年5月22日
A Technical Overview of AI & ML in 2018 & Trends for 2019
待字闺中
18+阅读 · 2018年12月24日
disentangled-representation-papers
CreateAMind
26+阅读 · 2018年9月12日
相关基金
国家自然科学基金
0+阅读 · 2013年12月31日
国家自然科学基金
0+阅读 · 2013年12月31日
国家自然科学基金
1+阅读 · 2012年12月31日
国家自然科学基金
0+阅读 · 2012年12月31日
国家自然科学基金
0+阅读 · 2011年12月31日
国家自然科学基金
0+阅读 · 2011年12月31日
国家自然科学基金
0+阅读 · 2009年12月31日
国家自然科学基金
0+阅读 · 2009年12月31日
Top
微信扫码咨询专知VIP会员