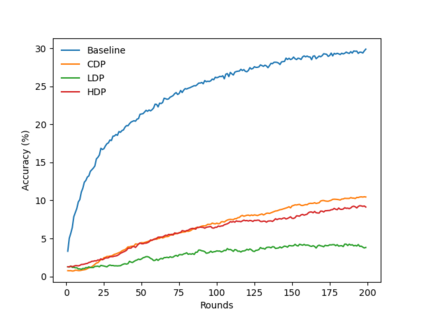
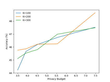
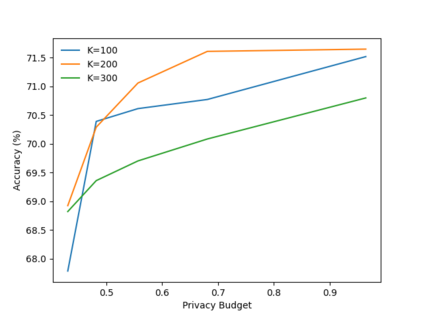
Federated learning (FL), where data remains at the federated clients, and where only gradient updates are shared with a central aggregator, was assumed to be private. Recent work demonstrates that adversaries with gradient-level access can mount successful inference and reconstruction attacks. In such settings, differentially private (DP) learning is known to provide resilience. However, approaches used in the status quo (\ie central and local DP) introduce disparate utility vs. privacy trade-offs. In this work, we take the first step towards mitigating such trade-offs through {\em hierarchical FL (HFL)}. We demonstrate that by the introduction of a new intermediary level where calibrated DP noise can be added, better privacy vs. utility trade-offs can be obtained; we term this {\em hierarchical DP (HDP)}. Our experiments with 3 different datasets (commonly used as benchmarks for FL) suggest that HDP produces models as accurate as those obtained using central DP, where noise is added at a central aggregator. Such an approach also provides comparable benefit against inference adversaries as in the local DP case, where noise is added at the federated clients.


翻译:联邦学习(FL)数据仍属于联邦客户,只有梯度更新与中央聚合器共享,而联邦学习(FL)数据仍属于联邦学习(FL)被认为属于私人性质。最近的工作表明,使用梯度接入的对手可以成功地进行推论和重建攻击。在这种环境中,已知不同的私人(DP)学习可以提供复原力。但是,现状(ce)中和地方DP(PL)采用的方法采用了不同的通用方法,与隐私权衡取舍。在这项工作中,我们迈出第一步,通过(e)级FL(HFL)减少这种权衡。我们通过引入一个新的中间级别,可以增加校准DP的噪音,从而证明可以实现更好的隐私与公用事业的权衡取舍;我们称这种保密与公用事业取舍(HDP(HDP)不同,通常用作FL的基准)的实验表明,HDP(HDP)的模型与使用中央驱动器获得的模型一样准确,中央聚合器添加噪音。在中央聚合器中,这种方法也提供了与当地DP案例中的用户相比的推论对手的类似的好处。

0
下载
关闭预览

相关内容

不可错过!《机器学习100讲》课程,UBC Mark Schmidt讲授
专知会员服务
76+阅读 · 2022年6月28日
最新《联邦学习Federated Learning》报告,Federated Learning
专知会员服务
91+阅读 · 2020年12月2日
100+篇《自监督学习(Self-Supervised Learning)》论文最新合集
专知会员服务
167+阅读 · 2020年3月18日
机器学习入门的经验与建议
专知会员服务
94+阅读 · 2019年10月10日
【SIGGRAPH2019】TensorFlow 2.0深度学习计算机图形学应用
专知会员服务
41+阅读 · 2019年10月9日
VCIP 2022 Call for Demos
CCF多媒体专委会
1+阅读 · 2022年6月6日
ACM TOMM Call for Papers
CCF多媒体专委会
2+阅读 · 2022年3月23日
AIART 2022 Call for Papers
CCF多媒体专委会
1+阅读 · 2022年2月13日
Call for Nominations: 2022 Multimedia Prize Paper Award
CCF多媒体专委会
0+阅读 · 2022年2月12日
Hierarchically Structured Meta-learning
CreateAMind
27+阅读 · 2019年5月22日
Transferring Knowledge across Learning Processes
CreateAMind
29+阅读 · 2019年5月18日
无监督元学习表示学习
CreateAMind
27+阅读 · 2019年1月4日
Unsupervised Learning via Meta-Learning
CreateAMind
43+阅读 · 2019年1月3日
A Technical Overview of AI & ML in 2018 & Trends for 2019
待字闺中
18+阅读 · 2018年12月24日
【论文】变分推断(Variational inference)的总结
机器学习研究会
39+阅读 · 2017年11月16日
国家自然科学基金
0+阅读 · 2015年12月31日
国家自然科学基金
2+阅读 · 2015年12月31日
国家自然科学基金
0+阅读 · 2014年12月31日
国家自然科学基金
0+阅读 · 2013年12月31日
国家自然科学基金
0+阅读 · 2013年12月31日
国家自然科学基金
0+阅读 · 2012年12月31日
国家自然科学基金
0+阅读 · 2009年12月31日
Arxiv
0+阅读 · 2022年7月26日
Arxiv
0+阅读 · 2022年7月24日
Arxiv
13+阅读 · 2019年11月14日
VIP会员
相关资讯
VCIP 2022 Call for Demos
CCF多媒体专委会
1+阅读 · 2022年6月6日
ACM TOMM Call for Papers
CCF多媒体专委会
2+阅读 · 2022年3月23日
AIART 2022 Call for Papers
CCF多媒体专委会
1+阅读 · 2022年2月13日
Call for Nominations: 2022 Multimedia Prize Paper Award
CCF多媒体专委会
0+阅读 · 2022年2月12日
Hierarchically Structured Meta-learning
CreateAMind
27+阅读 · 2019年5月22日
Transferring Knowledge across Learning Processes
CreateAMind
29+阅读 · 2019年5月18日
无监督元学习表示学习
CreateAMind
27+阅读 · 2019年1月4日
Unsupervised Learning via Meta-Learning
CreateAMind
43+阅读 · 2019年1月3日
A Technical Overview of AI & ML in 2018 & Trends for 2019
待字闺中
18+阅读 · 2018年12月24日
【论文】变分推断(Variational inference)的总结
机器学习研究会
39+阅读 · 2017年11月16日
相关基金
国家自然科学基金
0+阅读 · 2015年12月31日
国家自然科学基金
2+阅读 · 2015年12月31日
国家自然科学基金
0+阅读 · 2014年12月31日
国家自然科学基金
0+阅读 · 2013年12月31日
国家自然科学基金
0+阅读 · 2013年12月31日
国家自然科学基金
0+阅读 · 2012年12月31日
国家自然科学基金
0+阅读 · 2009年12月31日
Top
微信扫码咨询专知VIP会员