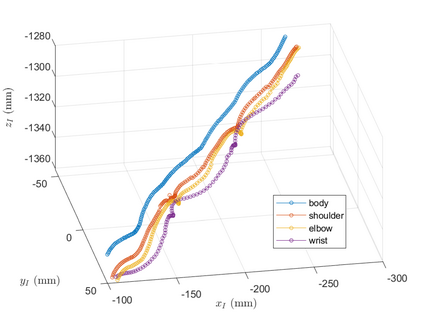
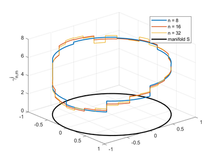
This paper describes the formulation and experimental testing of a novel method for the estimation and approximation of submanifold models of animal motion. It is assumed that the animal motion is supported on a configuration manifold $Q$ that is a smooth, connected, regularly embedded Riemannian submanifold of Euclidean space $X\approx \mathbb{R}^d$ for some $d>0$, and that the manifold $Q$ is homeomorphic to a known smooth, Riemannian manifold $S$. Estimation of the manifold is achieved by finding an unknown mapping $\gamma:S\rightarrow Q\subset X$ that maps the manifold $S$ into $Q$. The overall problem is cast as a distribution-free learning problem over the manifold of measurements $\mathbb{Z}=S\times X$. That is, it is assumed that experiments generate a finite sets $\{(s_i,x_i)\}_{i=1}^m\subset \mathbb{Z}^m$ of samples that are generated according to an unknown probability density $\mu$ on $\mathbb{Z}$. This paper derives approximations $\gamma_{n,m}$ of $\gamma$ that are based on the $m$ samples and are contained in an $N(n)$ dimensional space of approximants. The paper defines sufficient conditions that shows that the rates of convergence in $L^2_\mu(S)$ correspond to those known for classical distribution-free learning theory over Euclidean space. Specifically, the paper derives sufficient conditions that guarantee rates of convergence that have the form $$\mathbb{E} \left (\|\gamma_\mu^j-\gamma_{n,m}^j\|_{L^2_\mu(S)}^2\right )\leq C_1 N(n)^{-r} + C_2 \frac{N(n)\log(N(n))}{m}$$for constants $C_1,C_2$ with $\gamma_\mu:=\{\gamma^1_\mu,\ldots,\gamma^d_\mu\}$ the regressor function $\gamma_\mu:S\rightarrow Q\subset X$ and $\gamma_{n,m}:=\{\gamma^1_{n,j},\ldots,\gamma^d_{n,m}\}$.


翻译:本文描述用于估算和近似动物运动的亚平面模型的新方法的配制和实验测试 。 假设动物运动以一个配置值 $$Q 支持动物运动, 该配置值是平滑的, 连接的, 定期嵌入 Euclidean 空间的里曼尼亚子折叠 $X\ approx\ mathbb{R ⁇ d$ 约美元, 并且, 数Q$是已知的平滑的, Rielmann 元( Ri) 。 通过找到一个未知的映射值 $: S\rightro subset 美元 美元 美元 。 总体问题被描绘成一个不分发的学习问题 $\ aprob_ Stime1, 美元。 也就是说, 假设实验产生的定值 $( s_i, x_i) = 1\\\\\\ om\ coom=xxxxxxxxxxxxxxxxxxxxxxxxxxxxxxxxxxxxxxxxxxxxxxxxxxxxxxxxxxxxxxxxxxxxxxxxxxxxxxxxxxxxxxxxxxxxxxxxxxxxxxxxxxxxxxxxxxxxxxxxxxxxxxxxxxxxxxxxxxxxxxxxxxxxxxxxxxxxxxxxxxxxxxxxxxxxxxxxxxxxxxxxxxxxxxxxxxxxxxxxxxxxxxxxxxxxxxxxxxxxxxxxxxxxxxxxxxxxxxxxxxxxxxxxxxxxxxxxxxxxxxxxxxxxxxxxxxxxxxxxxxxxxxxxxxxxxxx

0
下载
关闭预览

相关内容

【干货书】机器学习速查手册,135页pdf
专知会员服务
127+阅读 · 2020年11月20日
专知会员服务
162+阅读 · 2020年1月16日
【课程】纽约大学 DS-GA 1003 Machine Learning
专知会员服务
46+阅读 · 2019年10月29日
Stabilizing Transformers for Reinforcement Learning
专知会员服务
60+阅读 · 2019年10月17日
Keras François Chollet 《Deep Learning with Python 》, 386页pdf
专知会员服务
162+阅读 · 2019年10月12日
2019年机器学习框架回顾
专知会员服务
36+阅读 · 2019年10月11日
机器学习入门的经验与建议
专知会员服务
94+阅读 · 2019年10月10日
异常检测论文大列表:方法、应用、综述
专知
126+阅读 · 2019年7月15日
强化学习的Unsupervised Meta-Learning
CreateAMind
18+阅读 · 2019年1月7日
Unsupervised Learning via Meta-Learning
CreateAMind
43+阅读 · 2019年1月3日
A Technical Overview of AI & ML in 2018 & Trends for 2019
待字闺中
18+阅读 · 2018年12月24日
已删除
将门创投
3+阅读 · 2018年6月20日
Hierarchical Disentangled Representations
CreateAMind
4+阅读 · 2018年4月15日
【论文】变分推断(Variational inference)的总结
机器学习研究会
39+阅读 · 2017年11月16日
【学习】(Python)SVM数据分类
机器学习研究会
6+阅读 · 2017年10月15日
Auto-Encoding GAN
CreateAMind
7+阅读 · 2017年8月4日
强化学习 cartpole_a3c
CreateAMind
9+阅读 · 2017年7月21日
Arxiv
0+阅读 · 2021年7月16日
Arxiv
0+阅读 · 2021年7月13日
VIP会员
相关VIP内容
【干货书】机器学习速查手册,135页pdf
专知会员服务
127+阅读 · 2020年11月20日
专知会员服务
162+阅读 · 2020年1月16日
【课程】纽约大学 DS-GA 1003 Machine Learning
专知会员服务
46+阅读 · 2019年10月29日
Stabilizing Transformers for Reinforcement Learning
专知会员服务
60+阅读 · 2019年10月17日
Keras François Chollet 《Deep Learning with Python 》, 386页pdf
专知会员服务
162+阅读 · 2019年10月12日
2019年机器学习框架回顾
专知会员服务
36+阅读 · 2019年10月11日
机器学习入门的经验与建议
专知会员服务
94+阅读 · 2019年10月10日
相关资讯
异常检测论文大列表:方法、应用、综述
专知
126+阅读 · 2019年7月15日
强化学习的Unsupervised Meta-Learning
CreateAMind
18+阅读 · 2019年1月7日
Unsupervised Learning via Meta-Learning
CreateAMind
43+阅读 · 2019年1月3日
A Technical Overview of AI & ML in 2018 & Trends for 2019
待字闺中
18+阅读 · 2018年12月24日
已删除
将门创投
3+阅读 · 2018年6月20日
Hierarchical Disentangled Representations
CreateAMind
4+阅读 · 2018年4月15日
【论文】变分推断(Variational inference)的总结
机器学习研究会
39+阅读 · 2017年11月16日
【学习】(Python)SVM数据分类
机器学习研究会
6+阅读 · 2017年10月15日
Auto-Encoding GAN
CreateAMind
7+阅读 · 2017年8月4日
强化学习 cartpole_a3c
CreateAMind
9+阅读 · 2017年7月21日
Top
微信扫码咨询专知VIP会员