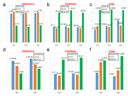
While the field of deep tomographic reconstruction has been advancing rapidly since 2016, there are constant debates and major challenges with the recently published PNAS paper on instabilities of deep learning in image reconstruction as a primary example, in which three kinds of unstable phenomena are demonstrated: (1) tiny perturbation on input generating strong output artifacts, (2) small structural features going undetected, and (3) increased input data leading to decreased performance. In this article, we show that key algorithmic ingredients of analytic inversion, compressed sensing, iterative reconstruction, and deep learning can be synergized to stabilize deep neural networks for optimal tomographic image reconstruction. With the same or similar datasets used in the PNAS paper and relative to the same state of the art compressed sensing algorithm, our proposed analytic, compressed, iterative deep (ACID) network produces superior imaging performance that are both accurate and robust with respect to noise, under adversarial attack, and as the number of input data is increased. We believe that deep tomographic reconstruction networks can be designed to produce accurate and robust results, improve clinical and other important applications, and eventually dominate the tomographic imaging field.


翻译:虽然自2016年以来深层地形重建领域进展迅速,但最近出版的关于图像重建中深层学习不稳定性的PNAS论文作为一个主要例子,不断进行辩论并面临重大挑战,其中展示了三种不稳定现象:(1) 产生强大产出文物的投入微小扰动,(2) 未探测到的小型结构特征,(3) 投入数据增加导致性能下降。在文章中,我们显示分析反转、压缩感应、迭接重建以及深层学习的关键算法成分可以协同增效,稳定深层神经网络,以进行最佳的图像图像重建。在PNAS论文中使用的相同或类似数据集,与艺术压缩感测算法的同一状态相比,我们提议的分析、压缩、迭代(ACID)网络产生超强的成像性能,与噪音、对抗性攻击下和投入数据增加有关,因此,我们发现深层成像重建网络可以设计出准确和稳健的结果,改进临床和其他重要应用,并最终控制成像场。

0
下载
关闭预览

相关内容

Networking:IFIP International Conferences on Networking。 Explanation:国际网络会议。 Publisher:IFIP。 SIT: http://dblp.uni-trier.de/db/conf/networking/index.html
Stabilizing Transformers for Reinforcement Learning
专知会员服务
60+阅读 · 2019年10月17日
Keras François Chollet 《Deep Learning with Python 》, 386页pdf
专知会员服务
163+阅读 · 2019年10月12日
强化学习最新教程,17页pdf
专知会员服务
182+阅读 · 2019年10月11日
[综述]深度学习下的场景文本检测与识别
专知会员服务
78+阅读 · 2019年10月10日
Hierarchically Structured Meta-learning
CreateAMind
27+阅读 · 2019年5月22日
深度自进化聚类:Deep Self-Evolution Clustering
我爱读PAMI
15+阅读 · 2019年4月13日
无监督元学习表示学习
CreateAMind
27+阅读 · 2019年1月4日
Unsupervised Learning via Meta-Learning
CreateAMind
43+阅读 · 2019年1月3日
A Technical Overview of AI & ML in 2018 & Trends for 2019
待字闺中
18+阅读 · 2018年12月24日
条件GAN重大改进!cGANs with Projection Discriminator
CreateAMind
8+阅读 · 2018年2月7日
计算机视觉近一年进展综述
机器学习研究会
9+阅读 · 2017年11月25日
【论文】变分推断(Variational inference)的总结
机器学习研究会
39+阅读 · 2017年11月16日
Capsule Networks解析
机器学习研究会
11+阅读 · 2017年11月12日
Auto-Encoding GAN
CreateAMind
7+阅读 · 2017年8月4日
Arxiv
20+阅读 · 2020年6月8日
3D Deep Learning on Medical Images: A Review
Arxiv
13+阅读 · 2020年4月1日
A Survey on Deep Learning for Named Entity Recognition
Arxiv
26+阅读 · 2020年3月13日
VIP会员
相关资讯
Hierarchically Structured Meta-learning
CreateAMind
27+阅读 · 2019年5月22日
深度自进化聚类:Deep Self-Evolution Clustering
我爱读PAMI
15+阅读 · 2019年4月13日
无监督元学习表示学习
CreateAMind
27+阅读 · 2019年1月4日
Unsupervised Learning via Meta-Learning
CreateAMind
43+阅读 · 2019年1月3日
A Technical Overview of AI & ML in 2018 & Trends for 2019
待字闺中
18+阅读 · 2018年12月24日
条件GAN重大改进!cGANs with Projection Discriminator
CreateAMind
8+阅读 · 2018年2月7日
计算机视觉近一年进展综述
机器学习研究会
9+阅读 · 2017年11月25日
【论文】变分推断(Variational inference)的总结
机器学习研究会
39+阅读 · 2017年11月16日
Capsule Networks解析
机器学习研究会
11+阅读 · 2017年11月12日
Auto-Encoding GAN
CreateAMind
7+阅读 · 2017年8月4日
Top
微信扫码咨询专知VIP会员