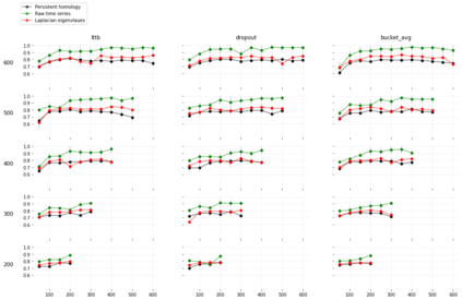
We experimentally investigate a collection of feature engineering pipelines for use with a CNN for classifying eyes-open or eyes-closed from electroencephalogram (EEG) time-series from the Bonn dataset. Using the Takens' embedding--a geometric representation of time-series--we construct simplicial complexes from EEG data. We then compare $\epsilon$-series of Betti-numbers and $\epsilon$-series of graph spectra (a novel construction)--two topological invariants of the latent geometry from these complexes--to raw time series of the EEG to fill in a gap in the literature for benchmarking. These methods, inspired by Topological Data Analysis, are used for feature engineering to capture local geometry of the time-series. Additionally, we test these feature pipelines' robustness to downsampling and data reduction. This paper seeks to establish clearer expectations for both time-series classification via geometric features, and how CNNs for time-series respond to data of degraded resolution.


翻译:我们试验性地调查了一组地物工程管道,以便与CNN一起使用这些管道,对波恩数据集中电子脑图时间序列中的开放眼睛或闭眼睛进行分类。利用时间序列-我们从 EEG 数据中构建的简化综合体的嵌入-几何表示时间序列-我们从时间序列数据中建立模拟综合体。然后,我们用美元来比较贝蒂数字系列和美元-塞隆元的图形光谱系列(一种新型构造)-两组从EEG的这些复合到原始时间序列中潜在几何学的地形变异性,以填补基准文献中的空白。这些方法在地形数据分析的启发下,用于地貌工程,以捕捉时间序列的当地几何测量。此外,我们测试这些特征管道的坚固度,以缩小和减少数据。本文试图确定对通过几何特征进行的时间序列分类的更明确期望,以及CNN对时间序列如何对退化分辨率数据作出反应。

0
下载
关闭预览

相关内容

【干货书】机器学习速查手册,135页pdf
专知会员服务
127+阅读 · 2020年11月20日
专知会员服务
61+阅读 · 2020年3月19日
抢鲜看!13篇CVPR2020论文链接/开源代码/解读
专知会员服务
50+阅读 · 2020年2月26日
Stabilizing Transformers for Reinforcement Learning
专知会员服务
60+阅读 · 2019年10月17日
【深度学习视频分析/多模态学习资源大列表】
专知会员服务
92+阅读 · 2019年10月16日
ExBert — 可视化分析Transformer学到的表示
专知会员服务
32+阅读 · 2019年10月16日
知识图谱本体结构构建论文合集
专知会员服务
110+阅读 · 2019年10月9日
Hierarchically Structured Meta-learning
CreateAMind
27+阅读 · 2019年5月22日
19篇ICML2019论文摘录选读!
专知
28+阅读 · 2019年4月28日
Call for Participation: Shared Tasks in NLPCC 2019
中国计算机学会
5+阅读 · 2019年3月22日
大神 一年100篇论文
CreateAMind
15+阅读 · 2018年12月31日
Hierarchical Imitation - Reinforcement Learning
CreateAMind
19+阅读 · 2018年5月25日
Hierarchical Disentangled Representations
CreateAMind
4+阅读 · 2018年4月15日
深度学习医学图像分析文献集
机器学习研究会
19+阅读 · 2017年10月13日
【论文】图上的表示学习综述
机器学习研究会
15+阅读 · 2017年9月24日
Arxiv
4+阅读 · 2019年12月2日
Arxiv
3+阅读 · 2017年10月1日
VIP会员
相关VIP内容
【干货书】机器学习速查手册,135页pdf
专知会员服务
127+阅读 · 2020年11月20日
专知会员服务
61+阅读 · 2020年3月19日
抢鲜看!13篇CVPR2020论文链接/开源代码/解读
专知会员服务
50+阅读 · 2020年2月26日
Stabilizing Transformers for Reinforcement Learning
专知会员服务
60+阅读 · 2019年10月17日
【深度学习视频分析/多模态学习资源大列表】
专知会员服务
92+阅读 · 2019年10月16日
ExBert — 可视化分析Transformer学到的表示
专知会员服务
32+阅读 · 2019年10月16日
知识图谱本体结构构建论文合集
专知会员服务
110+阅读 · 2019年10月9日
相关资讯
Hierarchically Structured Meta-learning
CreateAMind
27+阅读 · 2019年5月22日
19篇ICML2019论文摘录选读!
专知
28+阅读 · 2019年4月28日
Call for Participation: Shared Tasks in NLPCC 2019
中国计算机学会
5+阅读 · 2019年3月22日
大神 一年100篇论文
CreateAMind
15+阅读 · 2018年12月31日
Hierarchical Imitation - Reinforcement Learning
CreateAMind
19+阅读 · 2018年5月25日
Hierarchical Disentangled Representations
CreateAMind
4+阅读 · 2018年4月15日
深度学习医学图像分析文献集
机器学习研究会
19+阅读 · 2017年10月13日
【论文】图上的表示学习综述
机器学习研究会
15+阅读 · 2017年9月24日
Top
微信扫码咨询专知VIP会员