CCCF专栏 | 摩尔定律死了,摩尔定律万岁

2022 年 4 月 6 日 中国计算机学会



摩尔定律撞了墙,不过那是堵软墙(soft wall),墙可能一开始就在那里,只不过随着时间的推移,变得越来越硬。贝尔定律以价格为基准预测每一代(class)有10~15年生命周期。如果以能耗为基准,每一代也会被下一代取代。我们谨慎地预测“修正的摩尔定律”还可以持续20年。

关键词:摩尔定律 芯片 贝尔定律


摩尔定律死了


摩尔定律预测每隔一段固定的时间,芯片的晶体管密度就会增加一倍。笔者从直觉上认为,晶体管密度指数性增加是不会长期持续的。虽然有些经济学家观察到,芯片的晶体管数的增长速度有时快于摩尔定律,但这种情况实际上是幻象,一方面,是因为有些芯片采用了多个裸片(die);另一方面,过去每隔十年左右,裸片的尺寸就会略有增长。晶体管密度是单位面积所包含的晶体管数,这是一个更为有用的度量。


英特尔创始人之一戈登·摩尔(Gordon Moore)1965年预测集成电路密度翻倍所需的时间是一年[9],1975年他将这一速度修订为两年翻一倍[10]但现在我们已经观察到集成电路密度翻倍所需的时间超过3年。在2000年之前,每一代芯片的性能提升来自两个方面:按照Denard微缩定律(Denard Scaling):每代芯片的频率提升带来了40%的改进;而每代芯片晶体管密度提升带来的体系结构的改进符合波拉克法则(Pollack Rule),即平方根级别的提升,即41%。将这两方面的性能提升叠加可得1.4×1.41≈1.97,于是每代会有差不多一倍的提升[2]。据此,芯片晶体管密度的摩尔定律可换算成性能的摩尔定律。但Denard微缩定律已失效,单核性能的提升没法纯粹依靠主频的提升。于是,出现了多核处理器,以提升芯片吞吐量(throughput)性能,芯片的整体性能不只是单个核心的计算性能。总之,晶体管密度的增速在放缓,芯片主频的提升速度更慢,性能的改善越来越难。在2005年之前的20年里,微处理器的性能提升了1000倍,也就是每两年提升一倍;而之后的十多年很明显并没有达到这个速度[13]


摩尔定律不是数学意义的定理,也不是物理学意义的定律,是一种经验观察的总结,主要意义是经济学的。有人说这是“自我实现的预言   


(self-fulfilling prophecy)”,这成了半导体产业奋发图强的目标。它的预测能力在半导体产业的中早期(2000年之前)至少持续了20年。


芯片性能的提升主要涉及半导体工艺和体系结构的改进。性能提升的同时,能耗也在提升。随着摩尔定律越来越偏离最早的预测,与摩尔定律相关的各种衍生定律,例如库梅定律(Koomey’s Law)[7]等也都和原来的预测结果偏离越来越大。事实上,性能的提升不是一个固定的比例,而是一个变量。本文提出摩尔定律的一个定量修正,旨在更准确地预测芯片发展的未来趋势。


摩尔定律的修正:摩尔定律万岁


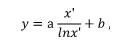
如果晶体管密度每年增加的比例是常量,那么性能随时间变化的函数是指数函数。数据显示[14],晶体管密度每年增加的比例递减。这反映了性能提升仍然会持续进行,但提升的幅度会变得越来越小。本文认为,每年递增的比例的对数可以用1/ln(t)拟合,而提升值的对数则可以用对数积分t/ln(t)拟合。这个对摩尔定律的修正,可以覆盖原始的摩尔定律(见图1):当t较小时,t/ln(t)会接近直线;但当t较大时,t/ln(t)则会与直线渐行渐远。



对数积分可以用来刻画“越来越难”的现象。晶体管密度可用下列公式拟合:  


在这个特定的场景,取x' = x– 1943


库梅定律在拟合CPU的能耗时,把数据拟合的时间起点归到电子管时代。电子数字积分器与计算机(Electronic Numerical Integrator and Computer,ENIAC)项目起源于1943年,我们也宽容地把这个常量纳入。修正的摩尔定律(暂称为“尼克定律(Nick’s Law)”),也可以拟合性能数据(见图2)。公平起见,我们先比较AMD和Intel的x86架构的芯片,这样可以避免不同架构和不同工艺等额外因素带来的影响。


多核的粗犷的性能数据并不意味着实际计算性能,首先,多核架构需要并行算法和对应的软件优化。并不是所有的问题都可以被并行化,阿姆达尔定律(Amdahl’s Law)宣称不可并行化的部分是并行计算的瓶颈。矩阵和向量的原始运算具备理论的线性加速,但理论并行性也不一定能够转化成实际的并行性。而大部分问题没法线性加速,甚至并不具备理论上的并行性。并行算法教科书中最喜欢的入门例子是前缀和(prefix sum)算法,其时间复杂度是O(log(n)),因而并行度(parallelism或speedup)可以达到O(n/log(n)),这已经非常令人吃惊。而典型的并行排序算法,例如并行归并排序(merge-sort),并行度只能达到O(n/log2(n))[3]


过去15年,处理器的主频提升极为缓慢,如果我们只看过去20年的x86架构,主频提升的速度可以用log(t)来拟合。如果我们还套用波拉克法则,芯片密度按照亚指数的速度增长,则芯片性能大约只能以亚指数的平方根增长。2005年之前,个人计算机的CPU都是单核,而现在一个普通的移动设备CPU都有8个核。在未来的芯片里,肯定会有越来越多的核心,对并行算法和并行编程环境的要求也会越来越高。要想得到更高的并行加速,就必须更加整体地考虑优化处理器架构,根据著名芯片设计师吉姆·科勒(Jim Keller)设计x86架构的经验:每3~5年,微架构要重新设计。目前内存已经比处理器几乎慢了两个数量级,当处理器核的数目增大时,内存将是性能的瓶颈,再加上不同处理器之间还要传输数据,会使问题雪上加霜。现在各种新的数据系统架构(Data Systems Architecture,DSA)旨在缓解这类瓶颈。 


摩尔定律衍生定律的修正


随着摩尔定律的修正,我们可以同时给出摩尔定律衍生定律的修正。库梅定律是摩尔定律的能耗版本。原始的库梅定律说,对于同等算力,所需的能耗每隔一个时间段会减半,也可以反过来说,每隔一个时间段,同等能耗可以完成的算力会加倍。库梅等人在2010年发表的定义库梅定律的文章中,主要引用了经济学家威廉·诺德豪斯(William D.Nordhaus)的数据[12],但他的数据量太少,1980~2010年的30年间只有20个左右的数据点。库梅等比较了不同超级计算机和个人电脑的CPU算能(每千瓦时的算力),发现差别并不大,计算效率翻倍所需的时间基本在1.52~1.57年之间。但到2011年,库梅重新检查历史数据,把时间间隔修正为2.6年。而最近的数据表明,随着能耗的降低,速度更加放慢,事实上,某些架构的算能比确实要优于另外一些。尼克定律更好地拟合了最新的数据。物理学家朗道尔(Landauer)曾给出朗道尔原则[1,8],即逻辑不可逆的计算必然伴随能量消耗,而最小的能量消耗值就是朗道尔极限(Landauer limit)。按照原始库梅定律的曲线,到2050年左右,就会达到朗道尔极限,库梅定律就会彻底失效。这恰是欧盟和日本计划达到碳中和的时间点,比中国计划达到碳中和的时间点(2060年)要早10年。


库梅不太认同用朗道尔极限来约束库梅定律的做法,他认为库梅定律的唯一约束是人的聪明程度(cleverness)而不是物理学[6]。但人的知识增长速度也在放缓。摩尔本人有个更有趣的说法:指数不可能永恒,但“永恒”可以被延缓(No exponential is forever: but "Forever" can be delayed!)[11]这个延缓的过程可以按照修正的摩尔定律曲线更好地拟合。朗道尔极限会被推迟得更久(见图3)。



超算的排行榜Top500的总算力之和,也与摩尔定律偏离得越来越远。尼克定律可以更好地拟合这些数据(见图4)。


我们尝试把尼克定律应用到超算的总算力效能(总算力/总能耗)。目前Top500的能耗数据不全,我们只取了有能耗数据的前10个。超算的总能耗大约是按照log(t)提升的。总算能大约是。因为数据量较小,从图5可以看出曲线呈阶梯状上升。


贝尔定律(Bell’s Law)[4]提出了计算机的分类(class,也可译为“阶级”),一个是既成的类,目前就是x86,价格不变,性能提升;一类是超级计算机,不关心价格,只求性能最好;还有一类是追求低价、新颖(novel)的微型(minimal)设备。事实上,不同“阶级”之间的“斗争”和替换是很快的。贝尔的估算是10年。贝尔曾经断言20世纪90年代之前的超级计算机是克雷(Cray)时代,而2000年之后则是多计算机(multi-computer)时代[5]在克雷时代,性能的提升主要依靠提升主频,每年可以提升40%,也就是两年提升一倍,这是典型的摩尔定律。而在多核时代,通过不断增加便宜的CPU核,性能可以每年加倍——这在贝尔文章发表后即不成立。在贝尔2008年发表的文章(其实写作于2007年)中,ARM应该算低价新颖的架构,但它现在不仅有一个很强的要取代目前既成的x86架构的趋势,且也已出现在超级计算机上,当下(2021年)全球最快的计算机“富岳”(Fugaku)的CPU采用的就是ARM架构。


能效现在已经成为更为重要且紧急的指标。麻省理工学院管理学院教授艾瑞克·布林约尔松(Erik Brynjolfsson)指出,库梅定律的重要性要超过摩尔定律。如果我们把贝尔定律的Y轴改为能耗,那么既成“阶级”则是ARM,因为它的能耗基本维持在一个常量。在其上的“阶级”是超算和个人电脑的CPU,而在其下的是RISC-V和其他架构,算能比超过ARM,当然也要更优于x86(见图6)。



结论


摩尔定律撞了墙,不过那是堵软墙(soft wall),墙可能一开始就在那里,只不过随着时间的推移,变得越来越硬。性能的指数提升和能耗的指数下降不能永远持续,有人开玩笑说“相信摩尔定律已死的人每两年翻一倍”。摩尔在2003年指出,性能翻倍的时间会延长,但半导体产业的增长速度仍然远超几乎其他所有产业[11]。修正的摩尔定律企图指出,性能和能耗仍然以一个很快的速度改进,但改进的速度在逐渐放缓。贝尔定律以价格为基准预测每一代(class)有10~15年生命周期。如果以能耗为基准,每一代也会被下一代取代。我们谨慎地预测“修正的摩尔定律”还可以持续20年。 



尼克

CCF专业会员,CCCF特邀专栏作家。乌镇智库理事长。早年曾任职于哈佛大学和惠普,后连环创业,曾获吴文俊人工智能科技进步奖。中文著作包括《人工智能简史》《UNIX内核剖析》《哲学书评》等。nick@iwuzhen.org


特别声明:中国计算机学会(CCF)拥有《中国计算机学会通讯》(CCCF)所刊登内容的所有版权,未经CCF允许,不得转载本刊文字及照片,否则被视为侵权。对于侵权行为,CCF将追究其法律责任



点击“阅读原文”,查看更多CCCF文章。

登录查看更多
0

相关内容

半导体元件产品的统称。是集成电路(IC, integrated circuit)的载体,由晶圆分割而成。
邬贺铨院士关于6G的十点思考
专知会员服务
34+阅读 · 2022年3月24日
【ICLR2022】序列生成的目标侧数据增强
专知会员服务
23+阅读 · 2022年2月14日
《深度学习中神经注意力模型》综述论文
专知会员服务
114+阅读 · 2021年12月15日
制造业数字化转型路线图,67页pdf
专知会员服务
77+阅读 · 2021年10月11日
面向健康的大数据与人工智能,103页ppt
专知会员服务
117+阅读 · 2020年12月29日
【AAAI2021】低资源医疗对话生成的图演化元学习
专知会员服务
48+阅读 · 2020年12月26日
【Twitter】时序图神经网络
专知会员服务
95+阅读 · 2020年10月15日
【干货书-IBM推荐】机器学习傻瓜式入门,75页pdf
专知会员服务
52+阅读 · 2020年9月29日
IBM推出127量子比特处理器,超越谷歌和中科大
量子位
0+阅读 · 2021年11月17日
199元定律
人人都是产品经理
0+阅读 · 2021年10月14日
国家自然科学基金
0+阅读 · 2015年12月31日
国家自然科学基金
0+阅读 · 2015年12月31日
国家自然科学基金
0+阅读 · 2013年12月31日
国家自然科学基金
0+阅读 · 2013年12月31日
国家自然科学基金
1+阅读 · 2012年12月31日
国家自然科学基金
0+阅读 · 2012年12月31日
国家自然科学基金
0+阅读 · 2012年12月31日
国家自然科学基金
0+阅读 · 2011年12月31日
国家自然科学基金
0+阅读 · 2009年12月31日
Arxiv
0+阅读 · 2022年4月18日
Arxiv
23+阅读 · 2021年10月11日
Arxiv
28+阅读 · 2021年10月1日
Arxiv
19+阅读 · 2021年6月15日
VIP会员
相关VIP内容
邬贺铨院士关于6G的十点思考
专知会员服务
34+阅读 · 2022年3月24日
【ICLR2022】序列生成的目标侧数据增强
专知会员服务
23+阅读 · 2022年2月14日
《深度学习中神经注意力模型》综述论文
专知会员服务
114+阅读 · 2021年12月15日
制造业数字化转型路线图,67页pdf
专知会员服务
77+阅读 · 2021年10月11日
面向健康的大数据与人工智能,103页ppt
专知会员服务
117+阅读 · 2020年12月29日
【AAAI2021】低资源医疗对话生成的图演化元学习
专知会员服务
48+阅读 · 2020年12月26日
【Twitter】时序图神经网络
专知会员服务
95+阅读 · 2020年10月15日
【干货书-IBM推荐】机器学习傻瓜式入门,75页pdf
专知会员服务
52+阅读 · 2020年9月29日
相关基金
国家自然科学基金
0+阅读 · 2015年12月31日
国家自然科学基金
0+阅读 · 2015年12月31日
国家自然科学基金
0+阅读 · 2013年12月31日
国家自然科学基金
0+阅读 · 2013年12月31日
国家自然科学基金
1+阅读 · 2012年12月31日
国家自然科学基金
0+阅读 · 2012年12月31日
国家自然科学基金
0+阅读 · 2012年12月31日
国家自然科学基金
0+阅读 · 2011年12月31日
国家自然科学基金
0+阅读 · 2009年12月31日
Top
微信扫码咨询专知VIP会员