学界 | 详解指针生成网络:自动生成长段文本的抽象摘要

2017 年 4 月 29 日 机器之心

作者:Abigail See

机器之心编译

参与:Nurhachu Null


这篇博文是斯坦福大学计算机科学在读博士 Abigail See 对最近自己和其他研究者们共同发表的论文《Get To The Point: Summarization with Pointer-Generator Networks》的解读,这篇论文即将出现在今年 7 月底在温哥华举行的 ACL 2017 大会上。相关工作的源代码将在近期发布。


如果我们有时间去读,互联网时代已经让数十亿用户对无法预计的大量信息触手可及。尽管我们的生活已经被可获取的有限数据所改变,但是我们仍然被信息过载的问题困扰着。所以,自动文本摘要变得越来越重要,自动文本摘要就是自动地把一段文字压缩为它对应的较短的版本的任务。


论文地址:https://arxiv.org/pdf/1704.04368.pdf



两种类型的概括


一般而言,有两种自动文本摘要的方法:抽取式的的抽象式的。


  • 抽取式的的方法会从源文本中选择一些段落,然后重新组织它们,以形成一段概括。你可以将这种方法想象成一支荧光笔。


  • 抽象式的方法利用自然语言生成技术来写出原创的句子。用类似的比喻,这种方法就像一支钢笔。


现存的文本摘要的方法中,大部分都是抽取式的,主要是因为选择文本要比从零开始生成文本来得更加容易。例如,如果你用到的抽取式的方法涉及到了从源文本所有的句子中选择和重新组织,那么,你可以保证,生成的摘要是符合语法的、完全可读的,并且是和源文本相关的。被应用到中等长度的事实性文本中时,这些系统会比较成功,如新闻文章和技术性文档。


几个可以在线使用的抽取式文本摘要系统的链接如下:

  • http://autosummarizer.com/

  • http://textcompactor.com/

  • http://smmry.com/


然而,另一方面,抽取式摘要的方法过于局限,它不能产生像人一样的文本总结,尤其是面对更长、更复杂的文本时。想象你试图仅仅通过选择和重新组织句子来为一部小说写出具有维基百科的风格的剧情简介,例如狄更斯的《远大前程》。这是不可能的。首先,《远大前程》是以第一人称写的,而剧情简介应该以第三人称来写。更重要的是,将一整章的内容压缩为一句话需要强大释义,这只在一个很抽象的框架下才是有可能的,例如「iPip 拜访了 Havisham 小姐,并且爱上了她的养女 Estella」。


简言之,抽象式摘要可能比较困难,但是它是很必要的!


了解循环神经网络


如果你不熟悉循环神经网络和注意力(attention)机制,请查看 WildML(http://www.wildml.com/2015/09/recurrent-neural-networks-tutorial-part-1-introduction-to-rnns/), Andrej Karpathy(http://karpathy.github.io/2015/05/21/rnn-effectiveness/)以及 Distill(http://distill.pub/2016/augmented-rnns/)的优秀教程。


近年来,循环神经网络(RNN)这种能够执行序列数据的计算(例如单词序列)的神经网络已经成为了许多自然语言处理任务的标准方法。特别地,如下图所示的具有 attention 的序列到序列(sequence-to-sequence)模型在文本摘要中已经变得流行。下面我们看着结构图逐步了解!



在这个例子中,我们的源文本是一片以「Germany emerge victorious in 2-0 win against Argentina on Saturday」开始的新闻文章,我们正在生成这样的摘要——「Germany beat Argentina 2-0」。首先,编码 RNN 逐词读取源文本,生成一个编码器隐藏状态的序列(因为我们的编码器是双向的,所以图中的序列有两个方向的箭头。不过,在这里并不重要)。


当编码器读取整个源文本之后,解码 RNN 开始输出应该形成文本摘要的单词序列。在每一步,解码器将摘要中之前的单词作为输入(在第一步,特定的<START>标志作为写作开始的信号),并用它们来更新解码器的隐藏状态。解码器隐藏状态被用来计算注意力分布,注意力分布是源文本中所有单词的概率分布。直观地说,注意力分布告诉网络「应该看哪里」,以帮助网络生成下一个单词。在上图中,解码器目前生成了第一个单词Germany,并且专注于源文本中的 win 和 victorious,以生成下一个单词 beat。


然后,注意力分布被用来生成一个编码器隐藏状态的加权和,它被称作语境向量 (context vector)。语境向量可以被视为解码器在这一步骤中「从源文本中看到的东西」。最后,语境向量和解码器隐藏状态被用来计算出词汇分布,它就是在一个通常为成千上百这么大的固定词汇集合中的概率分布。最大概率的单词将会被选为输出(在这一步中,被选中的是 beat),然后,解码器开始下一个步骤。


解码器的这种以任意顺序自由地生成包括像 beat 这种并未出现在源文本中的单词的能力,使得序列到序列的模型在抽象式摘要中成为一个很有潜力、强大的解决方案。


两大问题


不幸的是,用这种方法进行文本摘要时会被两大问题困扰:


  • 问题 1:有时候这种摘要会不准确地复制事实细节(例如,Germany beat Argentina 3-2)。这对像「2-0」这种罕见的或者词汇集之外的词来说尤其常见。

  • 问题 2:有时候摘要会重复它们本身(例如,Germany beat Germany beat Germany beat…...)


事实上,这种问题对循环神经网络而言是很常见的。在深度学习中总是这样,很难去解释清楚为什么网络会出现一些特殊的行为。如果你感兴趣,请看下面我对这两个问题做出的解释。如果你对这两个问题的原因不感兴趣,请直接跳到后文的解决方案部分(即用指针生成网络来实现更加容易的复制)。


对问题 1 的解释:基于 attention 的端到端模型让从源文本中复制一个单词 w(w 即 word,代表一个单词)变得更加困难。在接收到经过几个层的计算(这些计算包括将单词 w 与它的 word embedding 进行匹配)才传递过来的信息之后,网络必须以某种方式去恢复原始单词。


尤其是,如果 w 是那些在训练的时候不经常出现的罕见词汇,并且有着较差的 word embedding(即它与完全不相关的单词聚集在一起),那么,从网络的角度来说,w 在很多单词中是无法无分的,所以也就不可能被生成。


即便 w 有着较好的 word embedding,网络也可能仍然很难去生成它。例如,RNN 摘要系统经常将一个人名替换成另一个人名(例如 Anna → Emily),或者将一个城市替换为另一个城市(例如,Delhi → Mumbai)。这是因为女性的名字或者印度的城市名的 word embeddings 倾向于聚集在一起, 在尝试重建原始单词的时候,这可能造成混淆。


简而言之,这貌似是执行一个简单的复制(copying)操作的不必要的困难方式,复制操作是摘要任务中的基本操作。


对问题 2 的解释:重复或许是由解码器对输入(即之前的摘要单词)的过度依赖造成的,而非解码器状态存储了长时间的信息。这可以通过以下事实来看出:单个重复的单词通常触发无休止的循环。例如,Germany beat Germany这么一个微小的错误会导致灾难性的 Germany beat Germany beat Germany beat Germany beat…...,而不是错误不太严重的  Germany beat Germany 2-0。


用指针生成网络来实现更加容易的复制(解决问题 1)


我们针对问题 1(不准确复制)的解决方案是指针生成网络。这是一个可以通过指针从源文本中选择复制单词的混合网络,同时还保留了从固定词汇集中生成单词的能力。下面我们以这张图进行逐步解释!



上图展示了解码器的第三步,截至目前我们已经生成了一部分摘要 Germany beat。和之前一样,我们计算出注意力分布和词汇分布。然而,这次我们还计算出了生成概率 pgen(此处公式、符号不好展示,具体参见原文),它是介于 0 到 1 之间的标量。它代表从词汇集中生成一个单词的概率,而不是从源文本进行复制。生成概率pgen 被用来对词汇分布Pvocab(用来生成单词) 和注意力分布 aa(用来指向元单词 w_iwi)进行加权,并通过如下所示的公式将两者结合成最终分布 Pfinal,结合公式如下所示:



这个公式的含义是:生成单词 w 的概率等于从词汇集生成 w 的概率再加上指向原文本任何位置出现该词的概率。


与基于 attention 的端到端系统相比,指针生成网络具有以下优点:


1. 指针生成网络让从源文本生成单词变得更加容易。这个网络仅需要将足够多的 attention 集中在相关的单词上,并且让pgen 足够的大。

2. 指针生成网络甚至可以复制原文本中的非正式单词(如例子中的 2-0)。这是此方法带给我我们的主要福利,让我们能够处理那些没出现过的单词,同时也允许我们使用更小规模的词汇集(需要较少的计算资源和存储空间)。

3. 指针生成网络能够被更快地训练,尤其是训练的前几个阶段。


如此一来,指针生成网络就是两种方法中最好的,它用指向(pointing)和生成(generating)把抽取式摘要和抽象式摘要结合起来了。



用汇聚的方法来消除重复(解决问题 2)


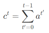
为了解决问题 2(重复性摘要),我们采用了一种叫做汇聚(Coverage)的技术。其思想就是,利用注意力分布区追踪目前应被覆盖的单词,并且当网络再次注意同一部分的时候,予以惩罚。在解码器的每一个时间步长 t 上,汇聚向量 ct 是截至目前所有的注意力分布 at'的和。如下式所示:



换言之,某个特定的源单词的收敛就是到此刻它所受到 attention 的和。在我们运行的例子中,汇聚可以按照这种方式来构建:其中,黄色阴影的强度代表汇聚向量的大小。



最后,我们引入额外的损失项来惩罚汇聚向量 c't 和新的注意力分布 a't 之间的任何交叠:如下所示:



这样可以避免网络继续重视(从而摘录)那些已经被覆盖到的词汇。


输出示例


现在,我们来看一下上述几个系统在一些实际数据上的对照试验。我们在 CNN/Daily Mail 数据集上训练并测试我们的网络,这个数据集包含配以多句式摘要的新闻文章。


下面的例子展示的是源文本(关于英式橄榄球的新闻文章)和原本就有的参考摘要,以及由我们的三个系统所生成的自动摘要。通过将光标悬停在自动摘要系统生成的摘要中的一个单词上边,你会在源文本中看到注意力分布被投影成了黄色。这告诉你,当网络生成这个词的时候,它正在「注意」源文本中的那个词。


对于指针生成模型,生成概率 pgen 的值也被投影成了绿色阴影。将光标悬停在自动摘要文本中的某一个单词上时,会显示出这个单词对应的生成概率 pgen 的大小。


注意:为了看到整个 demo 的全貌,你可能需要缩小你的浏览器窗口。但是在移动端,demo 不会有效果。


(译者注:请访问原文以体验 demo 中的三个自动摘要系统)



结果:


  • 基本的序列到序列系统不能复制诸如 Saili 这样的词汇集之外的单词,相反,它会输出「未知标志」[UNK]。相比之下,指针生成系统在复制这类单词时没有问题。

  • 尽管报导的事件发生在新西兰,但是基本的序列到序列系统错误地说成球员是荷兰人,球队是爱尔兰的,也许这反映了训练数据的内容主要有关欧洲,存在偏差。当系统在生成这些单词时,网络却在极度地关注 Munster (爱尔兰南部一个省) 和 Francis,这貌似说明系统在尽力去正确地完成复制。

  • 由于未知原因,短语「a great addition to their backline」被基本的序列到序列系统替换成了「a great addition to their respective prospects」。尽管网络直接关注单词 backline,但是它没有被正确地复制。

  • 基本的指针生成摘要系统会不断地重复自身,我们注意到,它每一次都在关注源文本中的同一个部分。与之对应,指针生成+汇聚模型并不包含重复,我们可以看到,尽管这个模型在生成的摘要中两次使用了单词 Saili,但是网络在这两次生成 Saili 的时候所关注的 Saili 在关注源文本中出现的地方却是完全不同的(在博客原网址的 demo 中显而易见),这就是汇聚系统(converge syatem)在起作用的证据。

  • 绿色阴影显示,每当网络在「编辑」源文本的时候,生成概率一般都会很高。例如,当网络生成简化一句话的片段时,或者跳转到文本的另一部分(例如,will move to the province… and was part of the new zealand under-20 side...)时,pgen 都会很高。

  • 在这三个系统中,注意力分布是相当集中的:通常每次只关注一个或者两个单词。当注意力比较分散的时候,通常会出错,因为这个时候网络不确定做什么。

  • 在生成摘要的第一个单词时,三个系统都注意 Munster 和 Francis 这两个词。总之,网络倾向于寻找人名或者地名来作为摘要的开始。


那么,抽象式摘要实现了没?


远没到实现的程度!尽管我们展示这些进步可以帮助我们驯服循环神经网络的一些野蛮行为,但是仍然有很多未解决的问题。


  • 尽管我们的系统生成了抽象式摘要,但是生成的单词通常都是和原文相当接近的。更高水平的抽象——例如更加强大的压缩释义,仍然未被解决。

  • 有时候,网络没有去聚焦源文本的核心内容,反而概括一些不太重要的信息。

  • 有时候,网络错误地组合了原文的片段,例如,作出的摘要是 work incorrectly composes fragments of the source text – for example reporting that,而事实上刚好相反。

  • 多句式摘要有时候并没有构成一个有意义的整体,例如,在没有事先介绍的情况下,就用一个代词(例如 she)去代替一个实体 (例如德国总理 Angela Merkel)。


我认为未来最重要的研究方向是可解释性(interpretability)。通过揭示网络正在关注什么,注意力机制在神经网络的黑盒中点亮了珍贵的光芒,以帮助我们调试类似重复和复制的问题。为了取得进一步的进展,我们需要深入了解递归神经网络从文本中学习到的内容以及知识的表征方式。


但那是以后的事情啦!现在,关注论文原文来了解我们工作的细节吧。 


原文链接:http://www.abigailsee.com/2017/04/16/taming-rnns-for-better-summarization.html



本文为机器之心编译,转载请联系本公众号获得授权

✄------------------------------------------------

加入机器之心(全职记者/实习生):hr@jiqizhixin.com

投稿或寻求报道:editor@jiqizhixin.com

广告&商务合作:bd@jiqizhixin.com

登录查看更多
1

相关内容

专知会员服务
109+阅读 · 2020年5月21日
【ACL2020-复旦大学NLP】异构图神经网络的文档摘要提取
专知会员服务
35+阅读 · 2020年5月1日
【IJCAI2020-CMU】结构注意力的神经抽象摘要
专知会员服务
22+阅读 · 2020年4月23日
【WWW2020-UIUC】为新闻故事生成具有代表性的标题
专知会员服务
27+阅读 · 2020年3月18日
GANs最新综述论文: 生成式对抗网络及其变种如何有用
专知会员服务
72+阅读 · 2019年10月19日
文章太长不想看?ML 文本自动摘要了解一下
机器之心
8+阅读 · 2019年7月8日
论文浅尝 | 通过文本到文本神经问题生成的机器理解
开放知识图谱
10+阅读 · 2019年6月30日
能生成逼真图像的不只有 GAN
机器学习算法与Python学习
8+阅读 · 2019年6月6日
用深度学习做文本摘要
专知
24+阅读 · 2019年3月30日
自动文本摘要
AI研习社
21+阅读 · 2018年10月27日
干货|当深度学习遇见自动文本摘要,seq2seq+attention
机器学习算法与Python学习
10+阅读 · 2018年5月28日
实战 | 手把手教你用PyTorch实现图像描述(附完整代码)
干货|当深度学习遇见自动文本摘要
全球人工智能
9+阅读 · 2017年7月26日
Question Generation by Transformers
Arxiv
5+阅读 · 2019年9月14日
Arxiv
3+阅读 · 2019年9月5日
Arxiv
5+阅读 · 2019年8月22日
Arxiv
19+阅读 · 2019年4月5日
Arxiv
3+阅读 · 2018年5月21日
Arxiv
4+阅读 · 2018年3月23日
Arxiv
5+阅读 · 2018年1月30日
VIP会员
相关资讯
文章太长不想看?ML 文本自动摘要了解一下
机器之心
8+阅读 · 2019年7月8日
论文浅尝 | 通过文本到文本神经问题生成的机器理解
开放知识图谱
10+阅读 · 2019年6月30日
能生成逼真图像的不只有 GAN
机器学习算法与Python学习
8+阅读 · 2019年6月6日
用深度学习做文本摘要
专知
24+阅读 · 2019年3月30日
自动文本摘要
AI研习社
21+阅读 · 2018年10月27日
干货|当深度学习遇见自动文本摘要,seq2seq+attention
机器学习算法与Python学习
10+阅读 · 2018年5月28日
实战 | 手把手教你用PyTorch实现图像描述(附完整代码)
干货|当深度学习遇见自动文本摘要
全球人工智能
9+阅读 · 2017年7月26日
相关论文
Question Generation by Transformers
Arxiv
5+阅读 · 2019年9月14日
Arxiv
3+阅读 · 2019年9月5日
Arxiv
5+阅读 · 2019年8月22日
Arxiv
19+阅读 · 2019年4月5日
Arxiv
3+阅读 · 2018年5月21日
Arxiv
4+阅读 · 2018年3月23日
Arxiv
5+阅读 · 2018年1月30日
Top
微信扫码咨询专知VIP会员