Boosting硬核入门-XGBoost

2019 年 10 月 30 日 AINLP


1 Boosting方法概述

本文需要读者有以下的前置知识储备:决策树算法、梯度下降法、泰勒展开式。

1.1 集成方法

集成方法(Ensemble Learning)是一种应用得非常广泛的机器学习方法,主流的集成方法包括BaggingBoostingStacking

俗话说“三个臭皮匠,顶个诸葛亮”,这就是集成方法的思路。很多时候,我们无法直接训练出优质的模型(强学习机),而只能得到一些较差的模型(弱学习机)。集成方法就是将多个弱学习机的预测结果综合起来,以达到甚至是超过强学习机的预测效果。

Bagging采用并行组合弱学习机的思路,代表算法是随机森林(RFRandomForest),Bagging在降低方差方面有很好的效果。

Boosting采用串行组合弱学习机的思路,代表算法是XGBoostLightGBMBoosting在降低偏差方面有很好的效果。

本文将要介绍的是Boosting

 

1.2 Boosting方法

Boosting是一种串行的集成方法,每轮迭代后算法会计算当前模型预测值和样本实际值的差异度,下一轮迭代会针对这个差异度来继续训练模型。这个差异度有时也叫残差,它可以是平方损失函数、指数损失函数(AdaBoost)、对数损失函数(逻辑回归)、Hinge损失函数(SVM),等等。

AdaBoost算法是早期的经典Boosting算法,它是前向分布算法的一个特例。AdaBoost采用指数损失函数来评估差异度,指数损失函数的缺点是对于异常点非常敏感,因而在噪音比较多的数据集上经常表现不佳。

GBDT算法在健壮性方面做了改进:它结合了CART决策树和梯度提升方法,由于CART树是复杂度低的树,所以方差很小,能够很好地解决过拟合的问题;同时GBDT可以使用任何损失函数 (只要损失函数是一阶连续可导的),这样一些比较健壮的损失函数就能得以应用,使模型抗噪音能力得到增强。

XGBoostLightGBM是现在最流行的Boosting算法,它们被广泛用于kaggle、天池等竞赛中。Boosting共有的缺点是模型串行训练,难以并行处理,这样在数据量增大时,无法通过大数据技术提高训练速度,而xgblgb在这方面做出了突破,极大地提高了训练速度,这在后文中会详细说明。

 

 

2 AdaBoost算法和GBDT算法

2节将会简要地介绍AdaBoost算法和GBDT算法,偏重于应用而非理论的读者,可以跳过本节。

2.1 AdaBoost算法概述

如前文所述,AdaBoost是一个串行算法,通过M轮迭代,在每轮迭代中都训练出1个分类器(分类器可以根据需要,采用任意合适的模型),最后将这M个分类器相加,得到最终的预测模型。

在构建模型的过程中,我们需要对被错误预测的样本赋予更多的关注,让这些样本在下一轮迭代过程中能够更大地影响分类器模型的构建,所以我们要提高被错误预测的样本的权重

在最后组合模型的过程中,我们需要让预测效果更好的模型,起到更大的作用,以提高最终模型的预测效果,所以我们要提高预测效果好的分类器的权重

以上两点,就是AdaBoost在构建模型的过程中,需要遵循的思路。

 

2.2 AdaBoost算法流程

我们利用AdaBoost算法,对一个包含有N个样本的数据集,进行M轮迭代,构建预测模型。

其中,表达式的下标m表示迭代的次数,下标i表示样本标号。

算法流程如下:

1)初始化样本权重,将每个样本的权重w设置为1/N

2)进行M次循环迭代,依次求得M个分类器

2.1)通过计算,获取此次迭代的最优分类器(根据实际需要,采用合适的分类模型):

 

2.2)计算此次迭代分类器的误差:

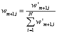
2.3)计算此次迭代分类器的权重:

如此设置分类器权重的思路是:在构建最终模型时,要对M个分类器加权相加,为了得到更好的分类效果,就要赋予误差低的分类器高权重,赋予误差高的分类器低权重。

2.4)更新样本的权重:

如此设置样本权重的思路是:为了能够让被错误分类的样本,在下一轮迭代中对分类器的构建产生更大的影响,从而达到纠正错误的目的,就需要赋予被错误分类的样本高权重,赋予被正确分类的样本低权重。

最后对样本权重进行归一化:

归一化的目的是:保证所有样本的权重和为1

3)最后,将所有分类器加权求和,获得最终分类器:

 

2.3 前向分布算法流程

前向分布算法比AdaBoost算法更为简洁,我们可以通过学习前向分布算法,进一步了解Boosting算法的思路。

另外,可以证明,AdaBoost算法是前向分布算法的一个特例(证明过程见李航《统计学习方法》8.3.2)。

前向分布算法流程如下,其中表达式的下标m表示迭代的次数(一共迭代M次),下标i表示样本标号(一共有N个样本):

0)记损失函数为:

并初始化:

1)进行M次循环迭代,依次求得M个分类器(求得分类器的参数和权重)

1.1)求解最优化问题,通过极小化损失函数,求得βγ

1.2)根据求得的βγ,更新f(x)

2)整理得到最终模型:

 

2.4 GBDT算法概述

AdaBoost算法使用指数损失函数作为损失函数,所以求解最优化问题的过程较为简单,与之类似还有平方损失函数。但是,如果采用其它损失函数,求解最优化问题就有可能较为困难

为了解决这个问题,同时也为了能够采用一些更健壮的损失函数以减小异常点的影响,我们采用损失函数的梯度作为残差。我们可以采用任意损失函数,只要这个损失函数一阶可导。

由于CART树模型较为简单GBDT算法利用CART树作为基本学习机,这样能够弥补Boosting算法方差较高的缺点。

 

2.5 GBDT算法流程

我们要利用GBDT算法,对一个包含有N个样本的数据集,进行M轮迭代,构建预测模型。

其中,表达式的下标m表示迭代的次数,下标i表示样本标号。

算法流程如下:

1)初始化f(x),并记为T0(x)

2)进行M次循环迭代,依次求得M个决策树。

2.1)遍历所有样本,对每个样本的损失函数求导,记为样本的残差:

2.2)将所有样本的值,替换成残差。

2.3)以所有样本的新值(残差)为训练样本,训练并输出决策树模型:

其中,每个叶子节点输出的值w

在这里,w不是一个常数,在不同的叶子节点区域,w取不同的常数值。

在这一步中,需要求得决策树模型两方面的内容,一是决策树的结构(使用哪些特征进行分割,分割点的值是多少),二是叶子节点的输出值。

2.4)根据T(x,w),更新f(x)

3)最后,整理输出最终的GBDT模型

  

3 XGBoost算法

3.1 概述

Boosting算法最大的缺点有两个:一是方差过高,容易过拟合;二是模型的构建过程是串行的,难以应用于大数据场景。这两个问题在XGB算法中,都得到了很大的改善。

过拟合的问题还算好解决,很多类似的研究结论都可以被拿来借鉴。所以,在我看来,XGB最大的贡献,就是创造性地给出了Boosting算法的并行计算思路,使之能够适应大数据场景,应用于大数据分布式集群环境中。

下面,我们将先学习XGB算法,然后对它的特性进行归纳总结。

 

3.2 目标函数

要构建一个模型,我们首先要确定要以什么目标来衡量模型的好坏,然后再围绕这个目标,一步步地改进模型。所以,在XGB算法中,我们要先确定算法的目标函数。随后,XGB模型的构建,就是以实现这个目标函数最小化为目标。

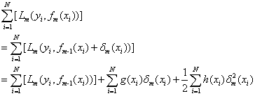
XGBoost的目标函数包括损失函数和正则项两个部分。

损失函数衡量的是模型输出值和样本真实值的差异度,差异度的值越低,模型越好。

正则项衡量的是模型的复杂度,复杂度越高,模型越容易过拟合,所以正则项的值越低,模型越好。

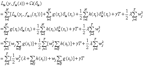
如下式所示,第一项L(y,y’)表示的是模型的损失函数,第二项Ω(δ)表示的是模型的正则项。

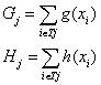
其中f(x)表示前m次迭代生成模型之和,δ(x)表示当前迭代轮次生成的模型,表达式的下标m表示迭代的次数(一共迭代M次),下标i表示样本标号(一共有N个样本),下标j表示叶子节点标号(一共有T个叶子结点):

将损失函数进行泰勒展开,并且记g(x)L(y,y’)的一阶导数,h(x)L(y,y’)的二阶导数:

(注:g(x)h(x)均为损失函数L(y,y’)对变量y’的求导,此时y为常数)

正则项表示如下,其中T表示叶子节点的个数,w表示叶子节点的输出值

注:本文中使用的是L2范数。在XGB的实际应用中,可以使用L1范数。

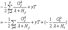
最后,代入以上损失函数和正则项的表达式(第2行),删除常数项(第3行),最后按叶子节点汇总(第45行),可得:

其中Tj表示属于不同叶子节点(模型输出的预测值,而非真实值)的样本的集合。iTj表示经过当前迭代轮次模型的预测,第i个样本被分到叶子节点j处。

确定了目标函数,下一步就是构建决策树模型。决策树模型的构建包括两个方面:一是要确定决策树模型的结构,包括每个节点使用什么特征进行分割,分割点的值是多少;二是要确定每个叶子节点的输出值。

接下来的两个小节,将分别通过计算叶子节点的输出值和进行节点分裂判定,来完成对决策树模型的构建。

 

3.3 计算叶子节点输出值

我们先假设决策树的结构已经被确定了,那么在这个前提条件下,我们尝试计算叶子节点的最优输出值。

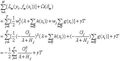
观察目标函数:

最后一项γT只与决策树的结构有关,在结构确定的情况下是常数,可以忽略。

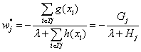
第一大项可以按叶子节点j进行分解,分解后的子项互不相关。所以可以根据以下表达式,按叶子节点j进行划分,各自单独求解w的最优值:

显而易见的,这是一个一元二次多项式,w的最优解为:

 其中,为便于书写和记忆,记:

 


3.4 节点分裂判定

在求得叶子节点的最优输出值后,我们接下来求解决策树的结构。

由于树的组成结构有无穷多种,我们无法穷举遍历所有的情况,所以我们采用贪婪算法,在每个节点都进行一次判定,决定是否该分裂这个节点,以及该如何分裂这个节点,以此逐步迭代构成一棵决策树。

我们先将上一节求得的w的最优解代入目标函数,可以得到目标函数的表达式:

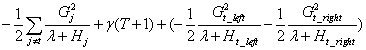
当我们判定一个叶子节点是否需要分裂时,需要计算分裂操作执行前后,目标函数的变化情况。记待分裂节点为t

分裂前整棵树的代价函数:

分裂后整棵树的代价函数:

将以上两式相减,可得:

这个式子即为是否分裂节点的判别公式。如果该式大于0,则表示目标函数的值减少了,分裂是有增益效果的,可以分裂。如果该式小于0,则表示分裂后的目标函数反而增加了,则不建议分裂。

 

注:

在单机版的XGB算法中,使用的是精准贪婪节点分裂算法。算法会遍历所有特征的所有值,以判定:是否分裂、如果分裂的话采用哪个特征进行分裂、分裂点选取为什么数值。

在数据无法全部放到内存中的场合,或者在分布式应用的场合,XGB使用近似节点分裂算法。XGB首先根据样本数据的百分位分布计算出备选分割点,然后将连续的样本数据分配到由这些备选分割点确定的桶(bucket)里,最后汇总数据(不同分布式集群上的数据、或不同处理线程上的数据),并求出最优分割点。

 

3.5 XGBoost算法流程

在这一小节,我对前面几个小节得出的结论进行整理,归纳出XGBoost的算法流程。

其中,f(x)表示前m次迭代生成模型之和,δ(x)表示当前迭代轮次生成的模型,表达式的下标m表示迭代的次数(一共迭代M次),下标i表示样本标号(一共有N个样本),下标j表示叶子节点标号(一共有T个叶子节点):

1)根据实际场景需求,设计损失函数L(y,y’)和正则项Ω(δ)。进行f0(x)的初始化

2)进行M次循环迭代,依次求得M个决策树。

2.1)在每次迭代开始前,遍历所有样本,计算所有样本的损失函数L(y,y’)关于y’的一阶导数g和二阶导数h

2.2)使用以下表达式,进行节点分裂判定。逐步迭代生成树,以确定决策树结构:

表达式大于0则可以分裂,小于0则不建议分裂。

2.3)决策树结构确定后,根据下式,计算当前迭代轮次决策树的叶子节点输出值:

2.4)根据当前迭代轮次生成的决策树δ(x),更新模型f(x)

3)整理输出最终的XGBoost模型:

 


在接下来的几个小节里,我将会对XGB的特性进行归纳总结,包括前文提及的过拟合预防方法、大数据场景实现方法、以及其它的一些特性。

3.6 大数据场景实现方法

1)样本间并行计算:在每次迭代前,需要遍历所有样本,求解损失函数的一次导数g和二次导数h,由于不同样本间无相关性,故此时可以对不同的样本使用并行计算。

2)特征间并行计算:在进行节点分裂判定时,需要遍历所有特征,此时可以对不同的特征使用并行计算,最后再汇总不同特征的判定结果,输出最优解。

3)预排序:在每次迭代前,事先将样本数据按照不同的特征,根据其数值进行预排序,方便后续在节点分裂判定环节,顺序访问样本数据,对一阶导数和二阶导数进行取数和累加。(注:在构建树的过程中,耗时最长的步骤,就是对样本数据进行排序)

4)块压缩技术(Block Compression):按列(特征)对数据进行压缩,在数据被读取入内存时,通过一个额外的线程进行解压。这个技术是将磁盘读写的时间耗费,转嫁到内存解压缩的时间耗费上。

5)块共享技术(Block Sharding):将数据存储到不同的磁盘上,通过额外的线程预读取数据,将数据提前读取到不同磁盘各自的内存缓冲区里,在需要的时候,再将数据送到模型训练线程中。这个技术减小了磁盘读写的时间耗费。

6)数据预读取:建立一个独立的线程,在模型执行运算操作的同时,用这个线程向磁盘读取后续需要用到的数据。但是,由于程序在计算模型时常常也要读写磁盘,所以这个方法未必很有效。

7)构建树的算法包括精确贪婪算法和近似算法(直方图算法),近似算法对每维特征按照分位数进行分桶(bucket)

 

3.7 过拟合预防方法

1)学习效率参数shrinkage:类似于其它算法的学习效率参数LearningRate

2)引入正则项:包括树的叶子节点数量,叶子节点输出值的L1L2范数。

3)列(特征)采样:在迭代时只使用一部分特征来构建模型。列采样不仅缩短了计算时间,还提高了模型的预测效果。列采样方法源自于随机森林算法。

4)行(样本)采样:在迭代时只使用一部分样本来构建模型。

 

3.8 其它特性

1)自定义目标函数:XGB可以自定义目标函数,只需要目标函数满足二次可导。

2)基分类器:不仅可以采用CART树作为基分类器(本文中默认使用CART树),也可以使用线性模型。

3)分裂准则:节点分裂时,能够直接根据目标函数(损失函数+正则项)进行判定。

4)有效处理缺失值和稀疏值:对于特征值缺失或特征值稀疏的样本,分别尝试将缺失\稀疏数据划分到左叶子和右叶子,计算增益并进行对比,选择增益更大的划分方案。

(注:产生稀疏矩阵的三个常见原因:数据缺失,数据本身含有大量零值,使用了one-hot方法。)

5XGBoost允许在每一轮boosting迭代中使用交叉验证。因此,可以方便地获得最优boosting迭代次数。而GBDT只能使用网格搜索(Grid Search)检测有限个值。

6)支持加权数据:陈天奇在论文里提了一下,但是没给出具体算法。

 

 

参考资料

[1] Tianqi Chen AScalable Tree Boosting System

[2] Tianqi Chen Introductionto Boosted Trees

[3] 李航 统计学习方法 清华大学出版社



 

本文转载自公众号:数论遗珠,作者:阮智昊


推荐阅读


支持向量机(SVM)硬核入门-基础篇


神经网络硬核入门-反向传播(BP)算法


NLP硬核入门-Seq2Seq和Attention机制


NLP硬核入门-隐马尔科夫模型HMM


关于AINLP


AINLP 是一个有趣有AI的自然语言处理社区,专注于 AI、NLP、机器学习、深度学习、推荐算法等相关技术的分享,主题包括文本摘要、智能问答、聊天机器人、机器翻译、自动生成、知识图谱、预训练模型、推荐系统、计算广告、招聘信息、求职经验分享等,欢迎关注!加技术交流群请添加AINLP君微信(id:AINLP2),备注工作/研究方向+加群目的。


登录查看更多
0

相关内容

Adaboost 是一种迭代算法,是集成学习的一种,其核心思想是针对同一个训练集训练不同的分类器(弱分类器),然后把这些弱分类器集合起来,构成一个更强的最终分类器(强分类器)。
【Java实现遗传算法】162页pdf,Genetic Algorithms in Java Basics
专知会员服务
44+阅读 · 2020年7月19日
【新书册】贝叶斯神经网络,41页pdf
专知会员服务
180+阅读 · 2020年6月3日
【圣经书】《强化学习导论(2nd)》电子书与代码,548页pdf
专知会员服务
208+阅读 · 2020年5月22日
【干货书】机器学习Python实战教程,366页pdf
专知会员服务
346+阅读 · 2020年3月17日
Sklearn 与 TensorFlow 机器学习实用指南,385页pdf
专知会员服务
131+阅读 · 2020年3月15日
比xgboost强大的LightGBM:调参指南(带贝叶斯优化代码)
数据挖掘入门与实战
23+阅读 · 2018年4月9日
RF、GBDT、XGBoost面试级整理
数据挖掘入门与实战
17+阅读 · 2018年3月21日
RF(随机森林)、GBDT、XGBoost面试级整理
数据挖掘入门与实战
7+阅读 · 2018年2月6日
教程 | 理解XGBoost机器学习模型的决策过程
机器之心
6+阅读 · 2017年12月20日
机器学习(23)之GBDT详解
机器学习算法与Python学习
12+阅读 · 2017年10月25日
sklearn集成学习:如何调参?
北京思腾合力科技有限公司
9+阅读 · 2017年10月20日
机器学习(17)之集成学习原理总结
机器学习算法与Python学习
19+阅读 · 2017年9月16日
Optimization for deep learning: theory and algorithms
Arxiv
106+阅读 · 2019年12月19日
Arxiv
3+阅读 · 2018年10月18日
VIP会员
相关资讯
比xgboost强大的LightGBM:调参指南(带贝叶斯优化代码)
数据挖掘入门与实战
23+阅读 · 2018年4月9日
RF、GBDT、XGBoost面试级整理
数据挖掘入门与实战
17+阅读 · 2018年3月21日
RF(随机森林)、GBDT、XGBoost面试级整理
数据挖掘入门与实战
7+阅读 · 2018年2月6日
教程 | 理解XGBoost机器学习模型的决策过程
机器之心
6+阅读 · 2017年12月20日
机器学习(23)之GBDT详解
机器学习算法与Python学习
12+阅读 · 2017年10月25日
sklearn集成学习:如何调参?
北京思腾合力科技有限公司
9+阅读 · 2017年10月20日
机器学习(17)之集成学习原理总结
机器学习算法与Python学习
19+阅读 · 2017年9月16日
Top
微信扫码咨询专知VIP会员