论文浅尝 | 知识图谱的不确定性衡量

2020 年 6 月 12 日 开放知识图谱

论文笔记整理:谭亦鸣,东南大学博士。



来源:Knowledge and Information Systems volume 62, pages611–637(2020)

链接:https://link.springer.com/article/10.1007/s10115-019-01363-0


概要

本文的核心工作是利用知识结构来衡量知识库的不确定性。文章的内容涵盖了以下几个部分:

1.首先队知识库的知识结构进行介绍;

2.以包含度特征为基础,提出知识结构与知识库之间的依赖以及独立性;

3.研究给定知识库的不确定性度量(并证明该度量方法是以知识库的知识结构为基础);

4.最后,通过实验验证了本文方法的有效性,并从统计学的离散型和相关性两个方面做有效性分析。


动机与思路

作者用自问自答的形式对知识库不确定进行论述:

为何研究知识库不确定性的度量?因为知识库本身具有不确定性。

为何研究知识库的知识结构?因为知识结构有助于从知识库中发现知识。

为何使用知识结构衡量知识库的不确定性?因为很难对比给定知识库的不确定性值(原文是“This is because it is hard to compare the size of measure values of uncertainty for a given knowledge base.”,这句话没看明白,我的理解是:由于不同知识库的实体/关系规模差异较大,直接对知识库做不确定性衡量得到的量化结果不适合(不能够)反映出不同知识库之间的不确定性差异,因此要使用一个高层特征(知识结构),来代表并对不确定性的量化衡量做一个类似归一化的效果。),而且如果获取到两个知识结构之间的依赖关系,可以利用这个关系参与比较知识库之间的不确定性差异。


概念与定义

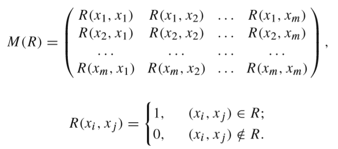
首先,作者使用矩阵M对于二元关系R进行了如下描述:

我们可以将矩阵中的x理解为知识库中的实体,R表明实体之间的关系,当R(xi, xj) =1时,表明x1,x2之间存在关系R.

可以看到,R在矩阵中可能构成三种关系场景(令实体集合为Ux, y∈U):

1.xRx Reflexive

2.xRy且yRxSymmetric

3.xRy,yRz,且xRz(Transitive

R满足上述三种情况时,被称为“equivalence relation on U”,R(U)则代表所有equivalence relation on U”的集合的族(我理解为子集的集合)


对于一个equivalence relation R,通过以下公式,可以抽取实体集U在R上对应的类别子集:

因此,利用equivalence relation R可以对U进行类别划分,即:

故作者在这里提出定义:

2.1R是U的一个equivalence relation,那么(U, R)被视作一个Pawlak近似空间(这里需要对粗糙集的概念做一个初步了解),在此基础上,X∈2U(U的所有子集的族)的近似上下界可以通过以下公式定义:

2.2 当R∈2R*(U)时(R*(U)指U上所有的equivalence relation的集合),(U, R)可以表示一个知识库,举个栗子来看:

可以看到这个知识库里有6个实体,4种关系,对应得到了四组矩阵。

因此对应可以得到知识库对应的近似空间的上下界:


知识结构定义:

对于一个知识库(U, R),对于r∈R,可以通过以下公式描述r的知识结构:

因此整个知识库的知识结构为:

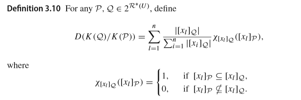
对于两个知识库(U, P)与(U, Q),当:

知识结构之间的依赖性与独立性:

(参数在前文均已介绍过,这里不再赘述)

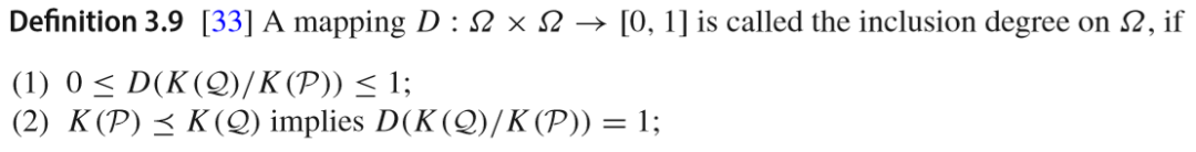
Inclusion degree(是一种衡量inclusion relationship质量的标准),以下定义给出了两个集合向量之间的Inclusion degree(3.9取值范围及定义,3.10计算方式):

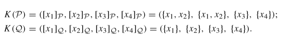
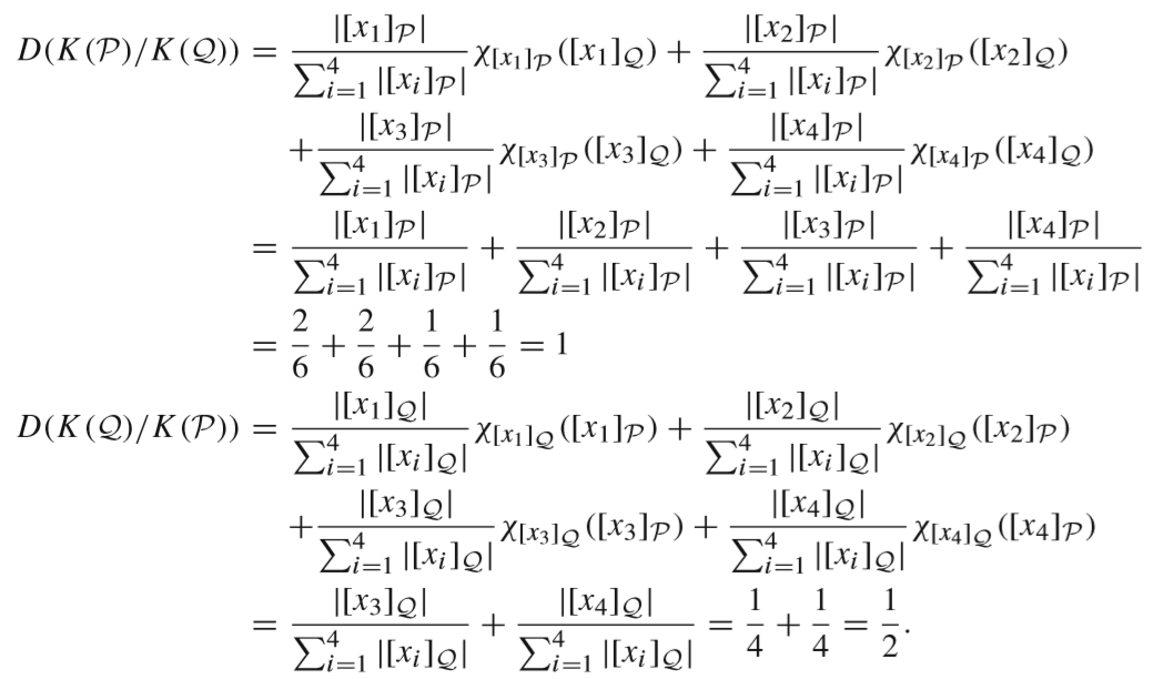
作者描述了一个计算inclusiondegree的例子:


1.首先给出两个知识库的知识结构:

2.计算inclusiondegree的过程为:


模型与算法

知识库粒度检测:

(首先给出粒度定义)

 

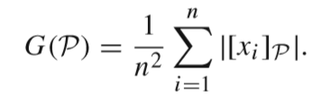
粒度的量化值如以下公式得到(作者在原文中对获取过程做了证明):

并提出定理:


作者认为,知识粒化符合粒运算特征,并且从不同的层次重新定义了知识和信息。粒度测量值随类别增加而递减。缺陷在于无法区分粒度相似但结构不同的知识库。


知识库的熵检测:

(也是先给出了定义及知识熵的计算方式,可以看到这里的熵是完全基于知识结构的(定理4.8))

并且知识结构的关系与熵的关联性如下(原文附带了证明过程):

这里还给出知识结构对应的粗糙熵定义及计算过程:


知识库的知识量(注意知识量是E,上面的粗糙熵是Er):


一些属性:

实验与结果

实验数据

为了验证上述测量方式对于知识库不确定性的量化衡量能力,作者在三个UCI数据集上进行了实验,数据集的统计信息如下表:

实验结果

首先对于三个数据集,均获取到上一节介绍过的四种测量方式如下(以Nursery为例),|U|=12960,|A|=8,Pi=ind({ai})(i = 1,2,…,8), Pi={P1,P2,…,Pi}(i = 1,2,…,8)

图3,4描述了这三种不同知识库(不同不确定性)的测量结果:

从各个指标的散度来看,知识量在衡量知识库不确定上表现出了更好的性能。

 


 

OpenKG


开放知识图谱(简称 OpenKG)旨在促进中文知识图谱数据的开放与互联,促进知识图谱和语义技术的普及和广泛应用。

点击阅读原文,进入 OpenKG 博客。

登录查看更多
0

相关内容

知识库(Knowledge Base)是知识工程中结构化,易操作,易利用,全面有组织的知识集群,是针对某一(或某些)领域问题求解的需要,采用某种(或若干)知识表示方式在计算 机存储器中 存储、组织、管理和使用的互相联系的知识片集合。这些知识片包括与领域相关的理论知识、事实数据,由专家经验得到的启发式知识,如某领域内有关的定义、定 理和运算法则以及常识性知识等。
【AAAI2020知识图谱论文概述】Knowledge Graphs @ AAAI 2020
专知会员服务
134+阅读 · 2020年2月13日
17篇知识图谱Knowledge Graphs论文 @AAAI2020
专知会员服务
172+阅读 · 2020年2月13日
论文浅尝 | 知识图谱三元组置信度的度量
开放知识图谱
24+阅读 · 2019年5月16日
论文浅尝 | 用于知识图中链接预测的嵌入方法 SimplE
开放知识图谱
23+阅读 · 2019年4月3日
论文浅尝 | 基于属性嵌入的知识图谱间实体对齐方法
开放知识图谱
30+阅读 · 2019年3月26日
论文浅尝 | 基于知识库的自然语言理解 01#
开放知识图谱
15+阅读 · 2019年2月22日
论文浅尝 | 基于知识库的类型实体和关系的联合抽取
开放知识图谱
35+阅读 · 2018年12月9日
论文浅尝 | Question Answering over Freebase
开放知识图谱
19+阅读 · 2018年1月9日
Arxiv
15+阅读 · 2019年9月11日
Embedding Logical Queries on Knowledge Graphs
Arxiv
3+阅读 · 2019年2月19日
VIP会员
相关资讯
论文浅尝 | 知识图谱三元组置信度的度量
开放知识图谱
24+阅读 · 2019年5月16日
论文浅尝 | 用于知识图中链接预测的嵌入方法 SimplE
开放知识图谱
23+阅读 · 2019年4月3日
论文浅尝 | 基于属性嵌入的知识图谱间实体对齐方法
开放知识图谱
30+阅读 · 2019年3月26日
论文浅尝 | 基于知识库的自然语言理解 01#
开放知识图谱
15+阅读 · 2019年2月22日
论文浅尝 | 基于知识库的类型实体和关系的联合抽取
开放知识图谱
35+阅读 · 2018年12月9日
论文浅尝 | Question Answering over Freebase
开放知识图谱
19+阅读 · 2018年1月9日
Top
微信扫码咨询专知VIP会员