Mixup vs. SamplePairing:ICLR2018投稿论文的两种数据增广方式

2018 年 3 月 6 日 PaperWeekly 陈泰红




在碎片化阅读充斥眼球的时代,越来越少的人会去关注每篇论文背后的探索和思考。


在这个栏目里,你会快速 get 每篇精选论文的亮点和痛点,时刻紧跟 AI 前沿成果。


点击本文底部的「阅读原文」即刻加入社区,查看更多最新论文推荐。

这是 PaperDaily 的第 47 篇文章


关于作者:陈泰红,小米高级算法工程师,研究方向为人脸检测识别,手势识别与跟踪。


■ 论文 | mixup: Beyond Empirical Risk Minimization

■ 链接 | https://www.paperweekly.site/papers/1605


论文动机


神经网络训练需要海量的人工标注数据集,一般的数据增广方式是裁剪、翻转以及旋转、尺度变化。之前在 arXiv 上看到过 IBM的一篇文章 SamplePairing:针对图像处理领域的高效数据增强方式,该论文主要是关于数据增强方式,没有公式没有网络架构,只通过简单的相加求平均值方式


而在最近公布的 ICLR 2018 入围名单中,另一篇数据增广相关论文脱颖而出,而 SamplePairing 出局。仔细阅读 Mixup 的论文,发现它其实是对 SamplePairing 的更进一步延伸。


名词解释


Empirical Risk Minimization (ERM):机器学习的经验风险最小化,ERM 策略认为,经验风险最小化的模型是最优化的模型。可参照李航的《统计学习方法》[1] 进行理解。 


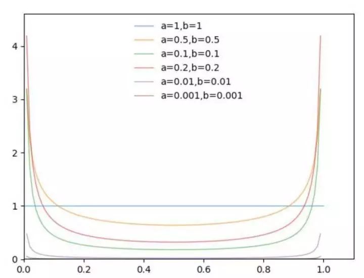
Βeta分布:既然概率论中的贝塔分布,是指一组定义在是指一组定义在(0,1)区间的连续概率分布,有两个参数 α 和 β。论文中 α 和 β 相等。Βeta 分布的定义、概率密度函数和性质可参考 PRML [2]。 


为了理解 Beta 分布,使用 Python 可视化 Beta 的模型。论文选择的超参数是 α=0.2 和 0.4,此处主要观察 α 变化对应的概率分布变化。


from scipy.stats import beta
import matplotlib.pyplot as plt
import numpy as np
x = np.linspace(0, 1, 100)
a_array = [1,0.5 ,0.1 ,0.2, 0.01,0.001]
for  a in a_array:
   plt.plot(x, beta.pdf(x, a, a), lw=1, alpha=0.6, label='a=' + str(a) + ',b=' + str(a))
plt.legend(frameon=False)
plt.show()



从上图可以看出,α 趋近于 0 时,概率分布趋近于 x-0 和 x=1 两种情况,在论文中代表 ERM。


模型细节


SamplePairing


SamplePairing 的实现很简单,两幅图片直接像素相加求平均,监督的 label 不变。但是在训练过程中,先用 ILSVRC 数据集普通数据增广方式,完成多个 epoch 后间歇性禁止 SamplePairing,在训练损失函数和精度稳定后,禁止 SamplePairing 进行微调。


个人认为相当于随机引入噪声,在训练样本中人为引入误导性的训练样本。


mixup


 mixup实现公式、Python源代码和可视化实现


其中 (xi, yi) 和 (xj, yj) 是训练集随机选取的两个数据,λ ∈ [0,1],λ ∼ Beta(α,α)。


mixup 扩展训练集分布基于这样的先验知识:线性特征向量的混合导致相关目标线性混合。混合超参数 α 控制特征目标之间的插值强度,α→0 时表示 ERM。


mixup 模型实现方式简单,PyTorch 7 行代码即可实现。上图中的可视化表明,mixup 导致决策边界模糊化,提供更平滑的预测。


实验


论文的实验过程很丰富,包括 CIFAR-10,CIFAR-100,和 ImageNet-2012,随机噪音测试,语音数据,facing adversarial examples 黑盒攻击和白盒攻击,UCI 数据集,以及稳定训练 GAN 网络。








对于具有代表性的 ImageNet-2012,Top-1 的精度至少提高 1.2%。



讨论


论文提出,在训练过程中,随着 α 增加,训练误差越来越大,而在验证验证集测试中泛化误差反而减少。这与论文提出的假设相同:mixup 隐含控制模型的复杂度。但是论文没有提出 bias-variance trade-off 的理论解释。 


论文提出一些进一步探索的可行性:


  • mixup 是否可以应用在其他监督学习问题,比如回归和结构化预测。mixup 可能在回归问题容易实现,结构化预测如图像分割等问题,实验效果不明显。


  • mixup 是否可以用于半监督学习、无监督学习或强化学习。当然作者是假设,希望有后来者证明 mixup 是理论可行的。 


mixup 来自 MIT 和 Facebook AI Research。ICLR 是双盲评审,官网上的匿名评审意见普遍认为 mixup 缺乏理论基础,但是实验效果具有明显优势。笔者个人认为在 mixup 基础上,还有很多坑可以填。


参考文献


[1] 《统计学习方法》,李航

[2] Pattern Recognition and Machine Learning, Bishop


本文由 AI 学术社区 PaperWeekly 精选推荐,社区目前已覆盖自然语言处理、计算机视觉、人工智能、机器学习、数据挖掘和信息检索等研究方向,点击「阅读原文」即刻加入社区!


点击以下标题查看相关内容: 





#榜 单 公 布 #


2017年度最值得读的AI论文 | NLP篇 · 评选结果公布

2017年度最值得读的AI论文 | CV篇 · 评选结果公布



  我是彩蛋 


解锁新功能:热门职位推荐!


PaperWeekly小程序升级啦


今日arXiv√猜你喜欢√热门职位


找全职找实习都不是问题

 

 解锁方式 

1. 识别下方二维码打开小程序

2. 用PaperWeekly社区账号进行登陆

3. 登陆后即可解锁所有功能


 职位发布 

请添加小助手微信(pwbot01)进行咨询

 

长按识别二维码,使用小程序

*点击阅读原文即可注册



           



关于PaperWeekly


PaperWeekly 是一个推荐、解读、讨论、报道人工智能前沿论文成果的学术平台。如果你研究或从事 AI 领域,欢迎在公众号后台点击「交流群」,小助手将把你带入 PaperWeekly 的交流群里。


▽ 点击 | 阅读原文 | 查看原论文

登录查看更多
3

相关内容

专知会员服务
148+阅读 · 2020年6月15日
还在修改博士论文?这份《博士论文写作技巧》为你指南
【Google】无监督机器翻译,Unsupervised Machine Translation
专知会员服务
36+阅读 · 2020年3月3日
神经网络训练tricks
极市平台
6+阅读 · 2019年4月15日
详解GAN的谱归一化(Spectral Normalization)
PaperWeekly
11+阅读 · 2019年2月13日
目标检测中图像增强,mixup 如何操作?
极市平台
30+阅读 · 2019年2月5日
【论文笔记】ICLR 2018 Wasserstein自编码器
专知
32+阅读 · 2018年6月29日
DeepMind论文解读:让机器更深入地理解文本
PaperWeekly
9+阅读 · 2018年6月8日
NIPS 2017论文解读 | 基于对比学习的Image Captioning
PaperWeekly
6+阅读 · 2018年2月28日
Generative Adversarial Text to Image Synthesis论文解读
统计学习与视觉计算组
13+阅读 · 2017年6月9日
Pluralistic Image Completion
Arxiv
8+阅读 · 2019年3月11日
Arxiv
5+阅读 · 2018年5月28日
Arxiv
7+阅读 · 2018年3月12日
Arxiv
5+阅读 · 2018年1月30日
Arxiv
9+阅读 · 2016年10月27日
VIP会员
相关VIP内容
专知会员服务
148+阅读 · 2020年6月15日
还在修改博士论文?这份《博士论文写作技巧》为你指南
【Google】无监督机器翻译,Unsupervised Machine Translation
专知会员服务
36+阅读 · 2020年3月3日
相关资讯
神经网络训练tricks
极市平台
6+阅读 · 2019年4月15日
详解GAN的谱归一化(Spectral Normalization)
PaperWeekly
11+阅读 · 2019年2月13日
目标检测中图像增强,mixup 如何操作?
极市平台
30+阅读 · 2019年2月5日
【论文笔记】ICLR 2018 Wasserstein自编码器
专知
32+阅读 · 2018年6月29日
DeepMind论文解读:让机器更深入地理解文本
PaperWeekly
9+阅读 · 2018年6月8日
NIPS 2017论文解读 | 基于对比学习的Image Captioning
PaperWeekly
6+阅读 · 2018年2月28日
Generative Adversarial Text to Image Synthesis论文解读
统计学习与视觉计算组
13+阅读 · 2017年6月9日
Top
微信扫码咨询专知VIP会员