权力的游戏:330个主角死亡的流行病学分析

2019 年 4 月 15 日 知识分子

HBO


撰文 | 王    涵

责编 | 李    婷 (中国人民大学社会与人口学院)

图编 | 龙修琛(中国人民大学社会与人口学院)


  


2019年4月14日(北美时间),魔幻史诗大剧《权力的游戏》迎来最终季,弥漫在维斯特洛大陆上长达8年的硝烟,即将散尽。《权力的游戏》(The Game of Thrones)是美国HBO公司,基于 George R. R. Martin 的长篇小说《冰与火之歌》(A Song of Ice and Fire) 改编的长篇电视连续剧。


去年年底,几位外国同行在欣赏精美制作的电视剧之余,写了一篇学术论文式的“另类影评”。


2018年12月10日,来自澳大利亚麦考瑞大学的两位 (科) (学)  (家) Reidar Lystad 和 Benjamin Brown,通过自身艰苦执着的研 (追) (剧),对《权力的游戏》开播以来1-7季,67集中330个主要角色的死亡和死因分布情况(感谢马丁老爷子,制造了这么大的死亡样本)以及影响分布的主要影响因素进行了一次“系统、科学的流行病学分析”。该研究发表于流行病学杂志Injury Epidemiology。


追剧还能发论文,这真是很多研究者的毕生追求。


数据的收集主要是两位作者通过观看影片记录,并参考来自热心网友们贡献的维基百科与影片数据库 (IMDb) 的相关资料来完成的。由于是对死亡事件的分析,那么人口学中经典的生存分析 (事件史分析) 自然是“当仁不让”的选择。


在分析中,最为重要的一个变量,是剧中主要人物的生存时间,作者将其定义为:“截止到第七季,该人物在剧中从第一次以人物形象出现到死亡的时间或继续存活 (这一类人物是依然存活的人物,在死因分析中是被删节的) 的时间”。此外,主要角色的性别,角色重要程度,职业,社会阶层,宗教信仰,所归属的政权,是否变节等变量被引入分析框架。这其中,角色的重要程度是作者建构的一个非常有趣的分数等级。


具体来说,角色的重要程度计算方法:



在此计算的基础上,可以将剧中330个主要角色的重要程度划分为 (111人) (128人) (91人) 三个层次。


统计分析结果显示,330个主要剧中人物里,71.8%为男性,68.5%的人出身低微,59.4% 的角色从事社会地位较低的职业。


截止到第七季结束,上述人物中,有186(56.4%)人死亡,致死原因前三位分别为伤病(73.7%,包括战争等致死性伤病)火灾(11.8%)投毒(4.8%),上述死亡人物中,绝大多数死于战争和行刑,仅有2人是正常的自然死亡。


此外,作者还对具体的致死性伤病种类和部位进行了详细的统计,例如主要人物中,有29.3%的人死于刀伤;有13.4%的人死于身体多部位的开放性伤口。


第八季还有一个多月就要结束了,马丁安全了。


根据作者的统计,截止到第七季,《权游》剧中主要人物的生存时间的范围为11秒至57小时15分钟。考验一下资深影迷,谁11秒挂,谁撑到了57小时?这其中从人物在剧中出现,并存活(生存时间)1小时的概率为 0.86(95%的置信区间为0.82-0.89)


生存分析的结果主要表现在剧中角色死亡率分布在性别、社会阶层、所属政权,以及人物重要性上的差异。


从性别来看,男性的生存时间中位数显著的少于女性(24.0小时<41.3小时, P<0.001),与男性相比,女性的死亡概率要低20%。


图1 不同性别生存概率分布


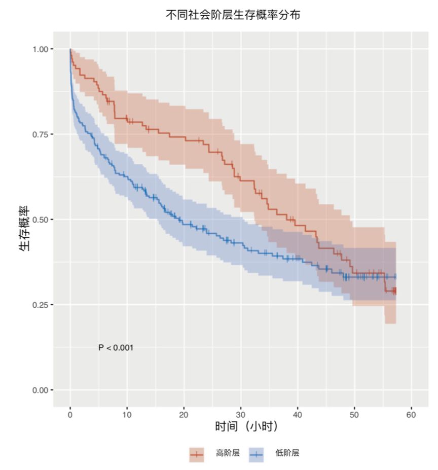
从社会地位来看,出身高贵相对出身卑微,会生存更长的时间(中位数,38.0小时>19.1小时, P<0.001),而出身卑微的角色比贵族阶层的死亡风险高28%。(看个电视剧也在教育我们穷不仅会“困”,还会“死”。)


从所属政权来看,变节者相比于忠诚者,在剧中会显著的生存更长时间(中位数,55.2小时>24.3小时,P<0.001),变节者的死亡风险要低65%。(我灵活,我最棒。)


此外,角色的重要性不同也会对其在剧中的生存时间产生显著的影响(P<0.001)


图2 不同社会阶层生存概率分布


具体来看,相对于不重要的角色(即低重要程度的角色为参照类)中等重要程度的角色死亡风险要高6.58倍。重要角色,死亡风险是不重要角色的2.55倍。这也就是说,在《权力的游戏》剧中,中等重要的角色是最为悲情的,因为他们承受着最高的死亡风险。


图3 不同角色重要性生存概率分布


在另一项关于《权力的游戏》的研究发现(Suveen Angraal,2018),角色的年龄对于角色的生存概率有显著的影响,年长的角色相对于年轻的角色有更高的死亡风险(P=0.009)


此外,生活在南方地区的人比北方人死亡概率更低,大学士的成员比七大家族成员死亡率更低。



总的来说,《权力的游戏》是一个以角色的高死亡率为特征的电视剧。这也是为什么权游迷们会吐槽,这是一部不留情面的 “主人公必死” 的电视剧了。



作为一部制作精良的电视剧,《权力的游戏》与 Martin 的原作《冰与火之歌》故事主线联系较为紧密。电视剧虽然为虚构的人物与故事,但小说作者曾表示,写作过程中灵感是受到众多重大历史事件的启发的,如发生在15世纪的英国蔷薇战争(Wars of the Roses)


事实上,Reidar 和 Benjamin 的研究也证明,《权力的游戏》中人物的高死亡率和故事主线,与历史发展的基本规律是相吻合的。研究表明,从前工业时代到现代社会,人类社会的死亡率整体上呈现出下降的趋势,从英国、日本、锡兰和智利的死亡率数据中,我们可以发现这种规律的事实依据。

 

图4 英国、日本、锡兰、智利四国人口增长率


而在死亡率下降的过程中,除了流行病学转变中提到的,致死疾病由流行性传染病到退行性疾病的转变外,暴力和战争的转变及减少也发挥着重要的作用。


世界卫生组织(WHO)的数据显示,从历史的角度来看,由暴力致死的人口比重在持续的降低。在前国家时期,平均每10万人中,有500人死于暴力原因;到了中世纪,这一数字下降到40人,而在现代工业社会平均每10万人中,仅有不到10人死于暴力。


是什么因素让人类社会对暴力的使用加以规制,并使死亡率降低呢?


Steven Pinker (2011) 认为,从古代社会到现代社会,战争致死率下降的原因主要表现在:首先,垄断合法使用武力的现代民族国家的出现,这种国家形态出现,会抑制暴力与征服的使用;其次,统一的、集权式的民族国家出现,使得商业活动得到大规模扩展,商业逐渐优先于征服。国民人口的增加会更加有力的商业发展,而暴力和死亡或中断商业的进行;此外,理性和知识的增加,使得一系列启蒙思想得到广泛传播 (如人权、提高识字率、提高解决问题和决策中的知识和理性)


人们更加关注对于人类福祉的增加,而不是发动战争和使用暴力。


由此,反观《权力的游戏》的故事背景,那是一个统一王权分崩离析的时代,战争与厮杀是人们所重视的焦点,人权与理性更是尚未普及的观念。


在这样的环境中,即使是“主角光环”也不能够拯救角色了生存,高死亡率也是必然的结局了。


互动:


最后一季,谁会死去,谁将存活?来,大胆给出你的预测吧!


 参考文献:

[1] Angraal, S., Bhatnagar, A., Verma, S., Shergill, S., Gupta, A., & Khera, R. (2018). Risk Factors Associated with Mortality in Game of Thrones: A Longitudinal Cohort Study. arXiv preprint arXiv:1802.04161.

[2] Lystad, R. P., & Brown, B. T. (2018). “Death is certain, the time is not”: mortality and survival in Game of Thrones. Injury epidemiology, 5(1), 44.

[3] Omran, A. R. (2005). The epidemiologic transition: a theory of the epidemiology of population change. The Milbank Quarterly, 83(4), 731-757.

[4] Pinker, S. (2011). The better angels of our nature: Why violence has declined (Vol. 75). New York: Viking.

[5] World Health Organization. Violence info [Internet]. Geneva: World Health Organization; 2018. Available from: http://apps.who.int/violence-info/


作者简介

加拿大萨斯喀彻温大学社会学博士生 王涵


原文标题“看《权力的游戏》,发学术论文,上人生巅峰”,首发于《严肃的人口学八卦》,《知识分子》获授权转载。


制版编辑 | 皮皮鱼

更多精彩文章:


欧洲梦:“没有出版付费墙阻隔的科学”


SCI收录OA论文数激增,中国居首一年花费4.5亿




点击“阅读原文”,与知识分子一起悦读2019。

登录查看更多
0

相关内容

中国人民大学社会与人口学院成立于2003年4月,由原社会学系、人口学系合并而成。现任院长为冯仕政教授。

本院具有深厚的历史底蕴。早在上世纪50年代初,李景汉、吴景超、陈达、全慰天、陈文仙、戴世光等老一辈社会学家即到中国人民大学工作,为中国人民大学社会学学科的发展奠定了优良的传统和坚实的基础。此后,在人口学家刘铮、邬沧萍和社会学家郑杭生等先生的领导下,中国人民大学于1974年在国内最早正式创办人口学学科,接着又第一批恢复重建社会学二级学科,第一批启动社会工作学科建设,率先创办老年学学科。经过多年的建设,本院逐渐发展为学科门类齐全,师资力量雄厚,培养体系完整,在学科建设、科学研究、人才培养、资政启民等方面均具有重要影响的中国社会学教学和研究重镇。

院内各学科各机构发展历程(1974年至今)

本院始终坚持中国特色社会学学科的建设方向,始终坚持以人才培养为中心,着力加强师资队伍建设、不断提高科学研究水平、积极开展国际交流与合作,致力于打造理论与实践并重,兼顾专业建设与社会服务,兼具家国情怀与国际视野的科学研究高地、人才培养基地和决策咨询平台。

目前,本院下设社会学系、人口学系、社会工作与社会政策系、人类学研究所、老年学研究所。设有社会学、公共事业管理(公共政策与人口管理方向)、社会工作3个本科专业;社会学,人类学,民俗学,人口学,老年学,社会医学与卫生事业管理,人口、资源与环境经济学7个硕士点;社会工作专业硕士学位点(MSW)1个;社会学,人口学,人类学,老年学,人口、资源与环境经济学,社会医学与卫生事业管理6个博士点;社会学一级学科博士后流动站1个。拥有社会学,人口学,人口、资源与环境经济学3个国家级重点学科和社会学一级学科博士学位授予权;拥有社会学理论与方法研究中心、人口与发展研究中心两个教育部重点研究基地,以及北京社会建设研究院一个北京市重点研究基地。

本院师资力量雄厚。现有教师63人,其中教授23人,副教授30人,拥有长江学者特聘教授、“万人计划”领军人才、“新世纪人才”等高层次人才,多人担任国务院学位委员会学科评议组成员、教育部教学指导委员会主任委员、中国人口学会会长、中国社会学会副会长等重要学术领导职务,以及“马克思主义理论研究和建设工程”首席专家。刘新、谢宇、赵鼎新、周雪光等国际知名教授担任我院兼职教授,Don Trieman、Andrew Walder、Ethan Michelson、林楠、饭田哲也等国际知名教授曾在我院担任外教。

本院办有《人口研究》、《社会学评论》、《社会建设》三本专业期刊。创建了中国综合社会调查(CGSS)、中国教育追踪调查(CEPS)、中国老年社会追踪调查(CLASS)等多个大型连续性社会调查。创设了十余个常设性、品牌性学术活动。本院以上述专业期刊、社会调查项目和品牌学术活动为抓手,积极打造一流学术平台,既为本校社会学学科奠定坚实的基础,也是全国社会学学科发展的重要引擎。

本院高度重视并积极推动学术资源的开放共享,致力于团结国内外同行协同创新,具有鲜明的国际性和开放性。其中,CGSS在国内首开共享数据之先河,至今已向全社会开放8个批次的数据。CEPS和CLASS数据亦已开放。上述社会调查数据库目前注册用户已超过25000人,其中海外用户超过一半。牵头组建的中国社会调查网络(CSSN)联合全国50余所高校和科研机构,极大地促进了社会学学科建设和国内社会学机构之间的合作。共同发起成立东亚社会调查(EASS),并代表中国参加国际社会调查合作组织ISSP。两个重点研究基地均向国内外同行开放课题申请和驻所研究。三个专业期刊和所有学术活动均广泛邀请国内外学者参与。

本院积极利用专业优势,发挥资政启民作用,为全国和地方的经济社会发展提供智力支持。多位教授担任中央部委以及联合国等重要国际组织的咨询专家,多次向中央、部委和地方政府提交咨询报告,并多次获得党和国家领导人批示。本院还通过公益慈善项目、网络公开课、专业社会实践等形式直接参与社会建设、普及科学知识,积极弘扬中外优秀文化,大力推动精神文明建设。

本院致力于提供国内一流的,同时具有国际影响的社会学本科和研究生教育,培养具备国际视野和国情意识,具有创新意识和社会担当,专业基础扎实,发现、分析和解决问题的能力突出,能够胜任教学、研究和管理工作的专业人才。每年大约招收本科生90人,硕士研究生80人,专业硕士学位研究生(MSW)80人,博士研究生35人。学生多次获得国家奖学金、吴玉章奖学金等重要奖项,在“挑战杯”全国大学生科技学术竞赛等重要活动中多次取得包括特等奖在内的佳绩。培养了刘延东、刘强东等知名校友。

本院为学生提供广泛的国(境)外交流机会。与南加州大学、圣路易斯华盛顿大学、墨尔本大学、南安普敦大学、卡迪夫大学、布鲁塞尔自由大学、日本广岛大学、台湾辅仁大学等境外高校有联合培养项目,与芝加哥大学、密歇根大学、斯坦福大学、约翰·霍普金斯大学、加州大学等学校有密切的学生交换关系;每年有来自芝加哥大学、斯坦福大学、加州大学伯克利分校、密歇根大学等世界名校的多位教师赴我校国际小学期开设社会学、人口学、人类学、老年学、社会工作、社会医学等方面的课程。

【经典书】机器学习高斯过程,266页pdf
专知会员服务
200+阅读 · 2020年5月2日
【经典书】统计学习导论,434页pdf,斯坦福大学
专知会员服务
239+阅读 · 2020年4月29日
专知会员服务
29+阅读 · 2020年3月6日
算法与数据结构Python,369页pdf
专知会员服务
166+阅读 · 2020年3月4日
缺失数据统计分析,第三版,462页pdf
专知会员服务
110+阅读 · 2020年2月28日
广东疾控中心《新型冠状病毒感染防护》,65页pdf
专知会员服务
19+阅读 · 2020年1月26日
【2019-26期】This Week in Extracellular Vesicles
外泌体之家
11+阅读 · 2019年6月28日
新阶级论: 寒门难贵,豪门难败
凤凰财经
5+阅读 · 2019年1月29日
GDPR之风盛行,美、印、巴接连启动数据保护立法
百度公共政策研究院
4+阅读 · 2018年8月29日
Feature Selection Library (MATLAB Toolbox)
Arxiv
7+阅读 · 2018年8月6日
Arxiv
27+阅读 · 2018年4月12日
Arxiv
3+阅读 · 2018年4月5日
Arxiv
7+阅读 · 2018年2月26日
VIP会员
相关VIP内容
【经典书】机器学习高斯过程,266页pdf
专知会员服务
200+阅读 · 2020年5月2日
【经典书】统计学习导论,434页pdf,斯坦福大学
专知会员服务
239+阅读 · 2020年4月29日
专知会员服务
29+阅读 · 2020年3月6日
算法与数据结构Python,369页pdf
专知会员服务
166+阅读 · 2020年3月4日
缺失数据统计分析,第三版,462页pdf
专知会员服务
110+阅读 · 2020年2月28日
广东疾控中心《新型冠状病毒感染防护》,65页pdf
专知会员服务
19+阅读 · 2020年1月26日
Top
微信扫码咨询专知VIP会员