来自:AI自然语言处理与知识图谱
导语:本文将简短梳理知识表示学习Trans系列方法,包含TransE、TransH、TransR、TransD、TransA、TransG、TranSparse以及KG2E,并且结合Github清华开源的高星代码了解一下实现过程,以便能通过代码看出他们之间的联系和区别。
简谈TransE
Author:Bordes A, Usunier N, Garciaduran A, et al.
Title: Translating Embeddings for Modeling Multi-relational Data.
Accepted: Neural Information Processing Systems, NIPS2013.
翻译模型从 TransE 开始,并衍生出一系列模型。
首先来看看 TransE 的名字来源,它的论文标题是:Translating Embeddings for Modeling Multi-relational Data。从这个标题我们不难猜想出为什么简称为 TransE,以及为什么称之为翻译模型。除此之外,这篇论文也是始于2013年,发表在NIPS。
TransE 模型的基本思想就是把 relation 看做是 head 到 tail 的翻译,认为一个正确的知识三元组应该满足 h+ r =(约等于) t,而错误的不满足,通俗来讲就是头实体 embedding 加上关系 embedding 近似等于尾实体 embedding ,见下图,思想就是这么的简单但却高效。
TransE 定义了一个距离函数d(h + r, t)来衡量 h + r 和 t 之间的距离,我们也可以使用 L1 或 L2 范数。TransE采用最大间隔的方法,其目标函数如下:
其中,S是正确的三元组,S’是通过替换 h 或 t 所得错误的三元组。γ 是间隔距离超参数,[x]+表示正值函数,即 x > 0 时,[x]+ = x;当 x ≤ 0 时,[x]+ = 0 。
我们来看一下OpenKE中的 TransE 代码部分:
最开始是在初始化__init__中定义了两个Embedding矩阵,分别为实体Embedding和关系Embedding,并且对其初始化。
self.ent_embeddings = nn.Embedding(self.ent_tot, self.dim)
self.rel_embeddings = nn.Embedding(self.rel_tot, self.dim)
对其采用xavier_uniform_初始化或者uniform_初始化的方式
接下来我们看下forward中的实现。
forward中主要是获取头尾实体以及关系的Embedding,其中头尾实体都是共用一个实体Embedding矩阵。
最主要的就是 _calc 这部分,其实也很简单,核心就是计算score,并且做个范数的约束。
def _calc(self, h, t, r, mode):
if self.norm_flag:
h = F.normalize(h, 2, -1)
r = F.normalize(r, 2, -1)
t = F.normalize(t, 2, -1)
if mode != 'normal':
h = h.view(-1, r.shape[0], h.shape[-1])
t = t.view(-1, r.shape[0], t.shape[-1])
r = r.view(-1, r.shape[0], r.shape[-1])
if mode == 'head_batch':
score = h + (r - t)
else:
score = (h + r) - t
score = torch.norm(score, self.p_norm, -1).flatten()
return score
def forward(self, data):
batch_h = data['batch_h']
batch_t = data['batch_t']
batch_r = data['batch_r']
mode = data['mode']
h = self.ent_embeddings(batch_h)
t = self.ent_embeddings(batch_t)
r = self.rel_embeddings(batch_r)
score = self._calc(h, t, r, mode)
if self.margin_flag:
return self.margin - score
else:
return score
在计算Loss部分,采用的是MarginLoss,margin参数值设置为5.0
# define the loss function
model = NegativeSampling(
model = transe,
loss = MarginLoss(margin = 5.0),
batch_size = train_dataloader.get_batch_size()
)
以上便是 TransE 的简短介绍和代码简析,我们接下来再看一下 TransH。
简谈TransH
Title: Knowledge graph embedding by translating on hyperplanes.
Author:Wang Z, Zhang J, Feng J, et al.
Accepted:National conference on artificial intelligence, AAAI 2014.
TransE 模型由于它简单高效所以取得了很大的突破,但是优点有时候也往往伴随着缺点,TransE 的对简单关系的建模效果显著,但是对复杂关系的建模效果却十分不理想,如1-N,N-1,N-N这样的复杂关系,所以才提出了后续的很多模型变种,TransH 便是其中一个。
为了更好的理解上面所述的复杂关系,我们在此说明,按照知识库中关系两端连接实体的数量,可以将关系类型划分为 1-1、 1-N、N-1 和 N-N 四种。以 N-1 类型关系为例,指的是该类型关系中的一个尾实体会平均对应多个头实体,其他的类推。
接下来我们看一下为什么 TransE 对复杂关系建模效果不好?以及 TransH 的建模思想。
上面说 TransE 对复杂关系建模不好,假定我们存在多个关系三元组,其中关系和尾实体都是固定不变的,而头实体对应多个,这就是N-1的关系,那么根据 TransE 的思想(上图a)建模,多个头实体将会得到非常相近的向量表示,可能近乎为统一含义,这对于不同业务下的不同场景是不合理的。
TransH 的动机就是解决这种复杂关系,那么它具体是怎么解决的呢?
TransH 的核心思想是对于关系每一个 r,有一个超平面 Wr 和一个关系向 dr 表示,而不是和实体在同一个嵌入空间。具体来说,在每个三元组中,将头实体 h 和尾实体 t 都映射到这个超平面上得到向量h⊥和t⊥,训练使 h⊥+dr ≈ t⊥。目的是为了能够使得同一个实体在不同关系中有不同的意义,因为不同的关系有不同的法平面。
回到我们上面的N-1的复杂关系问题,对于三元组(h, r, t)和(h1, r, t),根据 TransE 的思想, h1 = h。而对于 TransH 来说,只需要满足 h 和 h1 在关系 r 的超平面上的投影相同就行啦,这样就可以区分出 h 和 h1,两个的向量表示是不同的。
下面是 TransH 的头尾实体映射的向量计算以及损失函数。
看下 TransH 名称的由来,translating on hyperplanes(超平面)
我们来看一下OpenKE中的 TransH 代码部分:
最开始是在初始化__init__中定义了三个Embedding矩阵,并且对其初始化。这与TransE 不同的就是多了一个Embedding,代表的是关系的超平面Embedding。
self.ent_embeddings = nn.Embedding(self.ent_tot, self.dim)
self.rel_embeddings = nn.Embedding(self.rel_tot, self.dim)
self.norm_vector = nn.Embedding(self.rel_tot, self.dim)
对其采用xavier_uniform_初始化或者uniform_初始化的方式
接下来我们看下 forward 中的实现。
这部分的代码和 TransE 大致相同,多了一个 TransH 的核心部分,就是头尾实体映射到超平面的向量转化,即 _transfer 函数实现。
def _calc(self, h, t, r, mode):
same as TransE
def _transfer(self, e, norm):
norm = F.normalize(norm, p = 2, dim = -1)
if e.shape[0] != norm.shape[0]:
e = e.view(-1, norm.shape[0], e.shape[-1])
norm = norm.view(-1, norm.shape[0], norm.shape[-1])
e = e - torch.sum(e * norm, -1, True) * norm
return e.view(-1, e.shape[-1])
else:
return e - torch.sum(e * norm, -1, True) * norm
def forward(self, data):
batch_h = data['batch_h']
batch_t = data['batch_t']
batch_r = data['batch_r']
mode = data['mode']
h = self.ent_embeddings(batch_h)
t = self.ent_embeddings(batch_t)
r = self.rel_embeddings(batch_r)
r_norm = self.norm_vector(batch_r)
h = self._transfer(h, r_norm)
t = self._transfer(t, r_norm)
score = self._calc(h ,t, r, mode)
if self.margin_flag:
return self.margin - score
else:
return score
在计算Loss部分,采用的是MarginLoss,margin参数值设置为4.0
# define the loss function
model = NegativeSampling(
model = transh,
loss = MarginLoss(margin = 4.0),
batch_size = train_dataloader.get_batch_size()
)
简谈TransR
Title: Learning Entity and Relation Embeddings for Knowledge Graph Completion
Author:Lin Y, Liu Z, Zhu X, et al.
Accepted:National conference on artificial intelligence, AAAI 2015.
TransR 方法的提出是在 TransE 和 TransH 的基础之上,TransE 和TransR 虽然多取得了很大的进步,但是他们实体和关系都是映射在同一语义空间中,然而实体包含多种属性,不同的关系对应不同的实体属性,因此,在实体空间中,有些实体是相似的,因而彼此接近,但某些特定实体属性却有相当大的不同,因而在相关的关系空间中彼此相距甚远,TransR 的提出缘起于此。
所谓 TransR 是指将实体和关系映射到不同的语义空间,并且关系不再是单一的,而是多个关系空间,头尾实体的翻译也是在相应的关系空间中完成。这个 R 代表的是 Relation Space。
下面是 TransR 的模型图,我们能够看出实体和关系表示在不同的语义空间中。
对于每一个三元组(h, r, t),将头尾实体表示在实体空间,将关系表示在关系空间,并且,对于每一个关系 r,存在一个映射矩阵 Wr,通过这个矩阵将 h, t 映射到关系 r 所在空间,得到 hr 和 tr,使 hr + r = tr。在这种关系的作用下,具有这种关系的头/尾实体彼此接近(彩色的圆圈),不具有此关系(彩色的三角形)的实体彼此远离。
下面是一些公式的定义。
在本文中,TransR 还进行了变体,叫做 CTransR,其中的 C 是 Cluster,表示聚类聚类。具体来说,仅通过一个关系向量不足以满足头尾实体对的多样性表示,比如关系(location_location_contains)其实包含 country-city、country-university、continent-country 等多种含义。
因此对于某一种关系的全部实体对(h,t),采用聚类的方式得到多种聚类结果,学习每种聚类结果的关系表示,用 TransE模型训练得到的 h, t,将 h-t 作为它的表示,对于每一类的关系都有一个映射矩阵 Mr 和一个向量表示 r,其他和 TransR 一样。
具体的定义如下:
接下来,看一下 TransR 的代码。
最开始是在初始化__init__中定义了三个Embedding矩阵,并且对其初始化。这里的
transfer_matrix ,代表的是不同关系的Embedding。
self.ent_embeddings = nn.Embedding(self.ent_tot, self.dim_e)
self.rel_embeddings = nn.Embedding(self.rel_tot, self.dim_r)
self.transfer_matrix = nn.Embedding(self.rel_tot, self.dim_e * self.dim_r)
对其采用xavier_uniform_初始化或者uniform_初始化的方式
接下来我们看下 forward 中的实现。
这部分的代码和其他的大致相同,多了一个 TransR 的核心部分,就是头尾实体映射到不同关系空间,即 _transfer 函数实现。
def _calc(self, h, t, r, mode):
same as TransE
def _transfer(self, e, r_transfer):
r_transfer = r_transfer.view(-1, self.dim_e, self.dim_r)
if e.shape[0] != r_transfer.shape[0]:
e = e.view(-1, r_transfer.shape[0], self.dim_e).permute(1, 0, 2)
e = torch.matmul(e, r_transfer).permute(1, 0, 2)
else:
e = e.view(-1, 1, self.dim_e)
e = torch.matmul(e, r_transfer)
return e.view(-1, self.dim_r)
def forward(self, data):
batch_h = data['batch_h']
batch_t = data['batch_t']
batch_r = data['batch_r']
mode = data['mode']
h = self.ent_embeddings(batch_h)
t = self.ent_embeddings(batch_t)
r = self.rel_embeddings(batch_r)
r_transfer = self.transfer_matrix(batch_r)
h = self._transfer(h, r_transfer)
t = self._transfer(t, r_transfer)
score = self._calc(h ,t, r, mode)
if self.margin_flag:
return self.margin - score
else:
return score
在计算Loss部分,采用的是MarginLoss,margin参数值设置为4.0
# define the loss function
model_r = NegativeSampling(
model = transr,
loss = MarginLoss(margin = 4.0),
batch_size = train_dataloader.get_batch_size()
)
简谈TransD
Title: Knowledge graph embedding via dynamic mapping matrix
Author:Ji G, He S, Xu L, et al.
Accepted:ACL 2015.
TransD 方法的提出是在 TransR 的基础之上,虽然 TransR 相对于前两种方法有显著的效果,但是也存在明显的缺点,如下:
(1) 在同一关系 r 下, 头尾实体共用相同的投影矩阵,然而,一个关系的头尾实体存在很大的差异,例如(美国,总统,奥巴马),美国是一个实体,代表国家,奥巴马是一个实体,代表的是人物。
(2) TransR 仅仅让给投影矩阵与关系有关是不合理的,因为投影矩阵是头尾实体与关系的交互过程,应该与实体和关系都相关。
(3) TransR 模型的参数急剧增加,计算的时间复杂度大大提高。
下面是 TransD 的模型图。
我们来看下 TransD 的模型思想,给定一个三元组(h, r, t),TransD 将头尾实体分别投影到关系空间得到投影矩阵 Mrh 和 Mrt ,这样得到的投影矩阵便与实体和关系都有关系。获取投影矩阵之后,和 TransR 一样,计算头尾实体的投影向量。
接下来,看一下 TransD 的代码。最开始是在初始化__init__中定义了四个 Embedding 矩阵,并且对其初始化。这里的 ent_transfer 和 rel_transfer 代表的是实体关系转换矩阵。
self.ent_embeddings = nn.Embedding(self.ent_tot, self.dim_e)
self.rel_embeddings = nn.Embedding(self.rel_tot, self.dim_r)
self.ent_transfer = nn.Embedding(self.ent_tot, self.dim_e)
self.rel_transfer = nn.Embedding(self.rel_tot, self.dim_r)
对其采用xavier_uniform_初始化或者uniform_初始化的方式
接下来我们看下 forward 中的实现。
def _transfer(self, e, e_transfer, r_transfer):
if e.shape[0] != r_transfer.shape[0]:
e = e.view(-1, r_transfer.shape[0], e.shape[-1])
e_transfer = e_transfer.view(-1, r_transfer.shape[0], e_transfer.shape[-1])
r_transfer = r_transfer.view(-1, r_transfer.shape[0], r_transfer.shape[-1])
e = F.normalize(
self._resize(e, -1, r_transfer.size()[-1]) + torch.sum(e * e_transfer, -1, True) * r_transfer,
p = 2,
dim = -1
)
return e.view(-1, e.shape[-1])
else:
return F.normalize(
self._resize(e, -1, r_transfer.size()[-1]) + torch.sum(e * e_transfer, -1, True) * r_transfer,
p = 2,
dim = -1
)
def forward(self, data):
batch_h = data['batch_h']
batch_t = data['batch_t']
batch_r = data['batch_r']
mode = data['mode']
h = self.ent_embeddings(batch_h)
t = self.ent_embeddings(batch_t)
r = self.rel_embeddings(batch_r)
# 实体和关系不同的空间表示
h_transfer = self.ent_transfer(batch_h)
t_transfer = self.ent_transfer(batch_t)
r_transfer = self.rel_transfer(batch_r)
# 计算投影矩阵和投影实体向量
h = self._transfer(h, h_transfer, r_transfer)
t = self._transfer(t, t_transfer, r_transfer)
score = self._calc(h, t, r, mode)
if self.margin_flag:
return self.margin - score
else:
return score
在计算Loss部分,采用的是MarginLoss,margin参数值设置为4.0
# define the loss function
model = NegativeSampling(
model = transd,
loss = MarginLoss(margin = 4.0),
batch_size = train_dataloader.get_batch_size()
)
简谈TransA
Title: TransA: An Adaptive Approach for Knowledge Graph Embedding
Author:Xiao H, Huang M, Hao Y, et al.
TransA模型认为前述的模型都存在以下两个问题,(1) 损失函数中的距离度量太过简单,不具备灵活性(2)由于损失函数过于简单,实体和关系向量的每一维都等同对待,但是不同维度的重要度不一样,有些维度效果好,有些维度可能是噪音。
具体看一下这两个问题:
下图是采用 PCA 降维呈现的向量可视化界面,是匹配演员提名奖的尾实体,蓝色可以看为正例,即匹配,红色圆点代表为匹配,即负例。a/b 分别呈现的是 TransE 和 TransA,TransE 采用类似欧氏距离度量方式,分错了7个点,而 TransA采用马氏距离分错了三个点,减少了四个错误划分。
上述方法中实体和关系向量的每一维都等同对待,但是不同维度的重要度不一样,有些维度效果好,有些维度可能是噪音,因此将其等同对待是不合理的。
来看下图,实点表示正确匹配,空心点表示错误匹配,箭头表示某种关系(HasPart),我们来看一个例子,在图(a)中采用欧式距离得到的结果中有一个三元组(Sleeping,HasPart, Appliance),但是它是错误的,正确的三元组是(Sleeping,HasPart, Dreaming)。TransA 为了不等同对待向量的每一维,对向量维度加权,赋予不同的权重,在图(b)中对 xy 轴进行了拆解,对 y 轴加权,对 x轴降权,这样x轴就有一个较小的loss,会向正确的三元组方向学习。
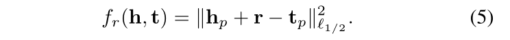
具体的来看一下:以往的TransE是公式(1),公式(2)是TransA的损失函数,其中增加了Wr权重矩阵,并且是与关系r相关的非负权值矩阵,除此之外,对于 h+r 和 t 采用了绝对值的方式。
简谈TransG
Title:TransG : A Generative Mixture Model for Knowledge Graph Embedding
Author:Xiao H, Huang M, Zhu X.
Accepted:ACL 2016.
TransD 模型的提出是为了解决关系的多种语义问题,和上面的 TransR 解决的问题类似,一种关系可能存在多种语义表达。
我们来看一个简单的实验,如下图。下图是对TransE关系向量聚类的可视化结果,从图中能够看出,每一种关系都聚类为不同的簇,每一个簇代表的是某种潜在的语义表示,说明关系存在多种潜在的语义表示,如图(d)的关系 Film Country,至少存在三个潜在的语义表示,分别为美国、欧洲、其他国家。
TransG具体是怎么来做的?TransG认为既然一种关系存在多种语义表达,那么将每种语义采用高斯分布来刻画。具体的公式定义如下,Mr代表的是潜在语义关系数量,
最后来看下传统模型和 TransG 模型的比较,如下图,其中三角形为正确的尾实体,圆点为错误的尾实体,不同颜色的三角代表不同的语义表达。(a) 为传统模型示例,由于将关系 r 的所有语义混为一谈,导致错误的实体无法被区分,(b) 中为 TransG的模型示例,TransG 利用高斯分布刻画不同语义关系,从而能够区分出错误实体。
简谈TranSparse
Title: Knowledge Graph Completion with Adaptive Sparse Transfer Matrix
Author:Ji G, Liu K, He S, et al
Accepted:AAAI 2016.
实体库中实体和关系的 异质性(heterogeneous) 和 不平衡性(unbalanced) 是知识表示学习的两个难题。
异质性(heterogeneous):关系链接实体的数量不一致,有的很多,有的很少。
不平衡性(unbalanced):某些关系头尾实体的种类和数量可能差别巨大。
如下图是两种问题在FB15k的关系统计
在以前的方法中,简单或者复杂关系都有相同数量参数的矩阵。然而,复杂的关系连接更多的头尾实体,比简单的关系更有意义。因此,复杂的关系需要更多的参数来充分学习,而简单的关系需要更少的参数来适当地学习,这就可以防止模型不完全拟合或过度拟合。TranSparse 认为关系的复杂性链接三元组(或实体)的数量成正比,因为链接的数据越多,它包含的知识就越多。
TranSparse 模型是在 TransR 的模型基础之上,采用稀疏矩阵代替了 TransR 中的稠密矩阵,因为采用稀疏矩阵 Mr,所以命名为 TranSparse,针对异质性问题提出TranSparse(share),针对不平衡性提出 TranSparse(separate)。
TranSparse(share):对于每一个关系,有翻译向量 r 和稀疏矩阵 Mr,稀疏矩阵的稀疏度由关系链接的实体对数量决定,稀疏度 θr 的定义如下,其中 Nr 表示关系链接的实体对的数量,Nr* 表示最大实体对的数量(关系链接最多的实体对),θmin 为稀疏度超参数,取值在 [0, 1] 之间,根据下面的公式(2)可以得到头尾实体的投影矩阵。
TranSparse(separate):对于每一个关系,设置两个投影矩阵,分别为头实体 Mrh 和尾实体 Mrt,两者的稀疏度 θrl 和上面的有所改动,具体如下,其中 Nrl 表示关系 r 在位置 l 处链接的实体的数量,Nr*l 表示 Nrl 中最大的数,θmin 为稀疏度超参数,取值在 [0, 1] 之间,根据下面的公式(4)可以得到头尾实体的投影矩阵。
以上两个方法的损失函数均为如下定义:
简谈KG2E
Title: Learning to Represent Knowledge Graphs with Gaussian Embedding
Author:He S, Liu K, Ji G, et al.
Accepted:ACM 2015.
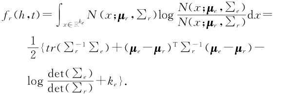
作者认为以前的方法都是将实体和关系嵌入到点向量空间中,这些模型总是以同样的方式看待所有的实体和关系,而作者认为实体库中的实体和关系本身就就存在不确定性,以前的方法模型忽略了这一不确定性。
针对这种不确定性,文中给出了图示,如下图所示,带有下划线的表示关系,每个圆圈代表不同实体和关系的表示,他们分别于 Bill Clinton构成了三元组,圆圈越大代表其不确定性越大,从图中我们能够看出 nationality这个关系的不确定性是最大的。
基于上述不确定性问题,本文提出 KG2E,与以往不同的是不再采用点空间,而是基于密度,采用高斯分布表示实体和关系,其中均值表示其所处的中心位置,而协方差可以恰当的表示其不确定度。
KG2E使用 h-t 表示头尾实体之间的关系,实体可以用一个概率分布表示,如下:
关系 r 也同样是一个高斯分布:
可以根据上述两个概率分布估算三元组的得分。
KG2E考虑了两种计算概率相似度的方法:KL-距离(KL-divergence)和期望概率(expected likelihood)。
KL距离是一种不对称相似度,得分函数定义如下:
期望概率是一种对称相似度,得分函数如下:
结束语
小白用几天的时间学习了知识表示学习的8篇典型论文,包含TransE、TransH、TransR、TransD、TransA、TransG、TranSparse以及KG2E,并简单看了下Github 的开源代码 OpenKE,每种方法都有各自的优势与劣势,有的适合研究却不适合业界应用,有的在业界也可以大胆尝试,看完之后,收获不小,整理为这一篇文章,分享给大家,文章篇幅较长,可能存在书写错误之处,还请见谅。
参考资料
Xiao H, Huang M, Hao Y, et al. TransA: An Adaptive Approach for Knowledge Graph Embedding[J]. arXiv: Computation and Language, 2015.
Xiao H, Huang M, Hao Y, et al. TransG : A Generative Mixture Model for Knowledge Graph Embedding[J]. arXiv: Computation and Language, 2015.
Ji G, Liu K, He S, et al. Knowledge graph completion with adaptive sparse transfer matrix[C]. national conference on artificial intelligence, 2016: 985-991.
He S, Liu K, Ji G, et al. Learning to represent knowledge graphs with gaussian embedding[C]//Proceedings of the 24th ACM International on Conference on Information and Knowledge Management. 2015: 623-632.
相关注明
上述图片均来自于上述参考论文。
上述代码来源于Github: OpenKE。