一文总览知识蒸馏概述

2019 年 12 月 28 日 AINLP

这是一篇关于【知识蒸馏】简述的文章,目的是想对自己对于知识蒸馏学习的内容和问题进行总结。笔者挑选了部分经典的paper详读,希望对于对KD有需求的同学提供一个概览和帮助。

作者:凉爽的安迪
来源:https://zhuanlan.zhihu.com/
p/92166184
整理:深度传送门


引子


昆虫记里写道:”蝴蝶以毛毛虫的形式吃树叶积攒能量逐渐成长,最后变换成蝴蝶这一终极形态来完成繁殖虽然蝴蝶和毛毛虫两者本质是同一种生物,但是面对不同环境和任务的时候,形态不同——毛毛虫形态下可以更方便地吃树叶,保护自己,积蓄能量;而蝴蝶能飞,可以扩大活动范围,提高繁殖几率。

图1,毛毛虫变成蝴蝶


在监督学习里也是这样的,在训练模型时,我们通常采用复杂模型或者Ensemble方式来获取最好的结果,导致参数冗余严重,像BERT里有3亿参数。因此在前向预测时,需要对模型进行复杂的计算(或多个模型加权),导致工程性能较差。


Hinton在NIPS 2014workshop中提出知识蒸馏(Knowledge Distillation,下面简称KD)概念:

把复杂模型或者多个模型Ensemble(Teacher)学到的知识 迁移到另一个轻量级模型( Student )上叫知识蒸馏。 使模型变轻量的同时(方便部署),尽量不损失性能。


从定义上来看KD属于模型压缩、加速的一类玩法。(后面的研究也会将KD应用于模型表现的提升)。在这里,知识应该宽泛和抽象地理解,模型参数,网络层的输出(网络提取的特征)、网络输出等都可以理解为知识。

图2,Knowledge in KD


Overview & Timeline


按照待迁移的知识类型,KD主要分为三个大类:

  • Output Transfer——将网络的输出(Soft-target,后面会介绍其含义)作为知识;

  • Feature Transfer——将网络学习的特征作为知识;

  • Relation Transfer——将网络或者样本的关系作为知识;

图3,知识蒸馏分类——从迁移知识类别的角度


从时间线上来看,KD的发展脉络大致如下(部分论文):

图4,Timeline of KD


在第二part中,对于Paper内容的概述也将大概按照KD的类别分别展开。


Papers


2-1 Output Transfer


Output Transfer——将网络的输出(Soft-target,后面会介绍其含义)作为知识。在该部分,将主要介绍以下几篇paper。

图5,输出迁移paper


2-1-1 《Distilling the Knowledge in a Neural Network 》

【Meta info】Hinton,NIPS 2014 workshop,Cites:2400


这篇paper是知识蒸馏的开山之作,由Hinton老爷子在NIPS 2014 workshop上提出,文章的思路非常简单、优雅。首先,我们对一些术语进行定义:

  • Teacher:原始较大的模型或模型Ensemble,用于获取知识

  • Student:新的较小的模型,接收teacher的知识,训练后用于前向预测

  • Hard target:样本原本的标签,One-hot

  • Soft target :Teacher输出的预测结果(一般是softmax之后的概率)


接下来,进入正题,介绍蒸馏的过程:

图6,知识蒸馏过程图示




图7,经典知识蒸馏过程


从模型效果上来看


  • 【Mnist】

图8,Mnist蒸馏结果对比


Teacher网络模型复杂,参数多,表征能力强,使用Hard Target作为训练目标,并且从直觉上来看,效果应该是好的(参数多),最终在测试集上错了67个。


Student网络模型简单,参数少,表征能力弱,在直接使用Hard target 作为训练目标时(不使用知识蒸馏),在测试集上错了146;使用Hard target + Soft target作为训练目标时,错了74个。


可以看出,加入了Soft target后,小网络从大网络中继承了大网络中学习的“知识”,但是这个实验中,最好的结果没有超过baseline。


  • 【一个语音数据集】


Teacher(baseline)网络准确率58.9%,10个Teacher集成的准确率为61.1%,而神奇的是,Student网络(简单模型蒸馏Ensemble网络)的效果居然超过了Teacher网络!


我们考虑下起主要效果的因子:


以Mnist数据集为例,对于数字9而言,数字9与数字4和7长得比较像。网络在进行训练时,我们如果能够将数字之间的相似关系传递给模型,则网络可能学习到更好的结果。

图9,Mnist数据集


而对于Hard target和Soft target,

图10,Hard target和Soft target对比


我们可以看出,软目标的优势在于:

  • 弥补了简单分类中监督信号不足(信息熵比较少)的问题,增加了信息量;

  • 提供了训练数据中类别之间的关系(数据增强);

  • 可能增强了模型泛化能力。


What's more,关于软目标相关的思考,还有Label smoothing Regularization(LSR),即“标签平滑归一化”。LSR也是对“硬目标”的优化:

图11,LSR算法


具体推导可以参考

Müller R, Kornblith S, Hinton G. When Does Label Smoothing Help?[J]. arXiv preprint arXiv:1906.02629, 2019.


在经典的蒸馏网络中,参数T是一个超参数——温度。T表示软目标要soft的程度:

  • T = 1,公式同softmax输出后的结果;

  • T越接近0,公式越同One-hot编码,最大值趋向于1,最小值趋向于0;

  • 提升T,则保留更多类别关系信息。


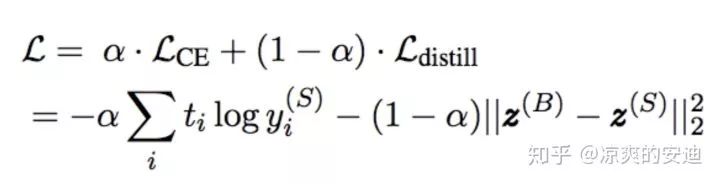
2-1-2 《Distilling Task-Specific Knowledge from BERT into Simple Neural Networks》

【Meta info】:2019, Cites:12


本文是对Bert网络进行蒸馏,其思想与经典蒸馏网络并无区别。


【背景】:

  • 18年底,Bert在很多NLP任务上取得了STOA,但线上运算时,算力是“瓶颈”, 使用单核B70 CPU,Seq length=128时,QPS只有几十

  • KD在NLP应用较少

  • 本文希望用Bi-LSTM网络蒸馏Bert网络


【网络Loss】:同经典KD,Loss分为两部分:


【网络结构】:

图12,Bi-LSTM蒸馏Bert


【效果】:可以看出蒸馏的结果弱于Bert但是比原始的双向LSTM效果好很多。


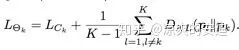
2-1-3 《Deep Mutual Learning》

【Meta info】:CVPR 2018,Cites:409


【背景】:

  • 在经典的蒸馏过程中,teacher网络固定,只用来输出soft-target,难以学习student网络中反馈的信息,进而对训练过程进行优化

  • 本文提出深度互学习,多个学生网络同时训练,通过真值和多个网络的输出结果“相互借鉴,共同进步”

  • 本文不已模型压缩为主要目的,更多为了提升模型表现


【网络结构】(以两个网络为例):

图13,DML网络结构


【网络Loss】:


思路比较简单,Lc1是经典的交叉熵,Dkl是KL散度。


【实施】:

图14,DML训练过程


当存在多个子网络时:


【效果】:


可以看出,在DML思路下,网络效果比单个网络有了明显的提升;效果比经典的蒸馏网络也提升较大。


【有效因子】:

  • 类别概率中包含了更多信息(同经典KD)

  • 深度互学习的方法可能找到了更平缓的极值点(意味着泛化能力更强,小的波动不会对预测产生较大的影响),如下图所示,DML网络的Loss和单独训练网络Loss接近,但是,当对参数添加噪声时,DML的Loss小于单独训练的Loss(当网络输出对于输入噪声的敏感程度比较差的时候,可以认为网络输出处于一个比较平缓的局部最优点)。

图15,DML与单独网络Loss


【2-1-4】《Born Again Neural Networks》再生网络

【Meta info】:CVPR 2018,Cites:409


【思路】:

  • 再生网络也不已模型压缩为主要目的,更多为了提升模型表现

  • 再生网络基于蒸馏的理念,提供了一种Esemble的思路

  • 教师、学生网络结构相同,第n个学生目标训练第n+1个学生,“口口相传”

  • 最后进行集成


【网络结构】:

图16,再生网络


【效果】:


2-2 Feature Transfer


Feature Transfer——将网络学习的特征作为知识。在深度学习中,一般将隐藏层的输出看作是网络学习的特征,下面两篇paper中:第一篇paper以MLP为基础框架,则网络提取的特征为每个隐藏层的输出向量;第二篇paper以CNN为基础框架,则网络提出的特征为每层的Feature Map。

图1,特征迁移


2-2-1 《FitNets: Hints for Thin Deep Nets》

【Meta info】:ICLR 2015,Cites: 780


[背景]:

  • Deep可能是DNN主要的拟合能力的重要来源,之前的KD工作都是用较浅的网络作为student net,拟合能力可能较弱

  • 这篇文章把“宽”且“深”的网络蒸馏成“瘦”且“更深”的网络


[思路]:

  • 学生网络不仅仅拟合教师网络的soft-target,而且拟合隐藏层的输出(教师抽取的特征);

  • 第一阶段让学生网络去学习教师网络的隐藏层输出(特征迁移);

  • 第二阶段使用soft targets来训练学生网络(输出迁移)。


【网络结构】:

图2,FitNet网络结构


【实施】:


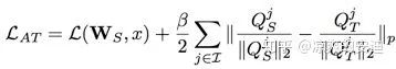
2-2-2 《Paying More Attention to Attention: Improving the Performance of Convolutional Neural Networks via Attention Transfer》

【Meta info】:ICLR 2017, Cites: 222


【思路】:

  • 思路一:对卷积网络隐藏层输出的特征图——feature map(特征 & 知识)进行迁移(Attention transfer),让学生网络的feature map与教师网络的feature map尽可能相似

  • 思路二:Loss对输入X求导,得到梯度更大的像素点,表明”更重要”,需要pay more attention

  • 该特征迁移的方法也可以与soft-target的方式结合


【网络结构】:

图3,《Paying More Attention to Attention》网络结构


【思路1——Actication-based attention transfer】:

  • 对卷积网络隐藏层输出的特征图——feature map(特征 & 知识)进行迁移(Attention transfer),让学生网络的feature map与教师网络的feature map尽可能相似;

  • 该特征迁移的方法也可以与soft-target的方式结合。


【实施】:

  • 首先将Teacher网络和Student网络都分成n个part(两者分part的数量相同),每个part内包含几个卷积核池化层都是可以的,不过为了提升预估的效率,一般学生网络每个part的网络结构比教师网络简单。同时,保证学生网络和教师网络每个part的最后一个卷积层得到的feature map的size大小相同,都是W * H(数量可以不同);

  • 接下来,为了计算loss,每个part的最后一个卷积层C个W * H的特征图变换为1个W* H的的二维张量,原文提供了以下三种方式(比较简单可以回原paper详读):

    • 特征图张量各通道绝对值相加;

    • 特征图张量各通道绝对值p次幂相加;

    • 取特征图张量各通道绝对值p次幂最大值

  • 然后,计算教师网络和学生网络的特征图差异,并使其变小。


【网络Loss】:




【思路2——Gradient-based attention transfer】:

Loss对输入X求导, 判断损失函数对于输入X的敏感性,pay more attnetion to值得注意的像素(梯度大的像素)


【网络Loss】:


2-3 Relation Transfer


Relation Transfer——将网络或者样本的关系作为知识。该部分将主要介绍以下一篇paper:

图5,关系迁移


2-3-1 《A Gift from Knowledge Distillation: Fast Optimization, Network Minimization and Transfer Learning》

【Meta info】:CVPR 2017,Cites: 144


【思路】:学生网络学习教师网络层与层之间的关系(特征关系),“授之以渔”。


【网络结构】:

图6,FSP matrix网络结构


【实施】:

  • 首先将Teacher网络和Student网络都分成n个part(两者分part的数量相同),每个part内包含几个卷积核池化层都是可以的,不过为了提升预估的效率,一般学生网络每个part的网络结构比教师网络简单。同时,保证学生网络和教师网络每个part的最后一个卷积层feature map的数量与下一个part第一个卷积层feature map的数量的数量相等;

  • 定义”FSP matrix“用于衡量两层特征之间的关系,用前一层的特征图与下一层的特征图element-wise相乘并求和:

  • 该步骤计算完毕后,可以得到一个m * n的 FSP matrix;

  • 网络被分为了n个part,可以获取n-1个FSP matrix(上图中,分为了3个part,可以获取两个FSP matrix);

  • 训练分为两个阶段:

    • 第一个阶段,用FSP预训练学生网络的参数;

    • 第二个阶段,用正常的分类loss优化学生网络。


【效果】:

在多个数据集上学生网络在参数减少很多的情况下,效果接近教师网络,且优于FitNets


2-4 Others


该部分将主要介绍以下的paper:

图8,其他paper


2-4-1 《KDGAN: Knowledge Distillation with Generative Adversarial Networks》

【Meta info】:NIPS 2018, Cites: 15


【背景】:

  • 原始蒸馏网络中,学生网络难以学习到教师网络的所有“知识”,效果可能略差于教师网络

  • 用对抗生成的方式模拟蒸馏的过程:生成器(学生网络,参数少、简单)负责基于输入X输出X的标签Y,判别器(教师网络,参数多、复杂)判断标签来自于学生网络还是真实的数据

  • 前向计算时,只使用生成器,实现蒸馏的目的


【GAN】回顾:

  • GAN常用于图像生成:

  • 经典GAN中,生成器G基于随机噪声生成图像;判别器D是一个分类器,判断图像是真实图像还是生成的。

  • 最大-最小迭代训练:

    • 固定G,用G的生成结果和真实数据优化D,使得V(D,G)尽可能大;

    • 固定D,基于D的结果优化G,使得V(D,G)尽可能小;

KDGAN里作者提出了两种网络:NaGAN,KDGAN


思路1:【NaGAN】


【网络结构】(红框部分):

图9,NaGAN网络结构



【实施】:


【优劣】:

  • KD需要样本少,但是通常不能保证学生网络的效果达到教师网络的程度;

  • NaGAN需要样本大于KD,但是通常可以使得学生网络效果和教师网络差不多。


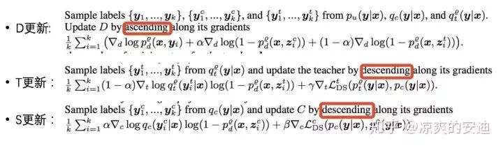
思路2:【KDGAN】:


【网络结构】:

图10,KDGAN网络结构


【实施】:


【训练过程】:

  • 训练D:固定T和S,最大化似然函数。D更新时,希望将真实样本的标签判别为1;将C和T生成的标签判别为0,因此最大化D更新的损失函数;

  • 训练T:固定D和S,最小化损失函数。损失函数分为两部分,第一部分为判别器D对于T生成的标签真实性的判别,T希望D判别的概率越小越好;第二部分为蒸馏Loss,T网络去拟合S网络输出的软目标;

  • 训练S:固定D和T,最小化损失函数。损失函数分为两部分,第一部分为判别器D对于S生成的标签真实性的判别,S希望D判别的概率越小越好;第二部分为蒸馏Loss,S网络去拟合T网络输出的软目标。

迭代对抗训练。


2-4-2 《Ranking Distillation: Learning Compact Ranking Models With High Performance for Recommender System》

【Meta info】:KDD 2018,Cites: 12


【背景】:

  • 检索系统或者推荐系统中模型庞大,可以用蒸馏网络的方式提升工程效率;

  • 目标是给一个query,预测检索系统的Top K相关的doc。


【思路】:

  • 第一阶段训练教师网络,对于每个query预测Top K相关doc,补充为学生网络的Ground truth信息;

  • 第二阶段教师网络的Top K作为正例加到学生网络中一起进行训练,使得学生网络和教师网络的预测结果更像。


【Loss】:


w_r为每条教师网络中预测的样本的权重,有两种方式生成:

  • 对位置进行加权(即,Top 1到K的顺序);

  • 对排序相关性进行加权(考虑教师网络预测的的Item与query的相关性程度)。


【网络结构】:

图11,Ranking Distillation网络结构



Discussion


简单回顾一下,把复杂模型或者多个模型Ensemble(Teacher)学到的知识→ 迁移到另一个轻量级模型( Student )上叫知识蒸馏;。知识蒸馏属于模型压缩、加速的一类,要求在模型变轻量的同时(方便部署),尽量不损失性能;后来也应用于模型表现的提升。


按照迁移知识的类型大致可以分为三大类:

  • Output Transfer——将网络的输出——Soft-target作为知识;

  • Feature Transfer——将网络学习的特征作为知识;

  • Relation Transfer——将网络或者样本的关系作为知识。



知识蒸馏提升了模型的工程表现,相对于其他模型压缩方式,如模型Int8而言,KD给了我们更多的想象空间,毕竟如DML等训练方式,可能在一定程度上提升模型的效果。


最后是一些Take Home Messages~


以上就是《知识蒸馏简述》的全部内容如果大家觉得有帮助,可以帮忙点个赞或者收藏一下,这将是我继续分享的动力~


参考文献


1. Hinton G, Vinyals O, Dean J. Distilling the Knowledge in a Neural Network[J]. Computer Science, 2015, 14(7):38-39.

2. Tang R, Lu Y, Liu L, et al. Distilling Task-Specific Knowledge from BERT into Simple Neural Networks[J]. arXiv preprint arXiv:1903.12136, 2019.

3. Müller R, Kornblith S, Hinton G. When Does Label Smoothing Help?[J]. arXiv preprint

4. Zhang Y, Xiang T, Hospedales T M, et al. Deep mutual learning[C] // Proceedings of the IEEE Conference on Computer Vision and Pattern Recognition. 2018: 4320-4328

5. Furlanello T, Lipton Z C, Tschannen M, et al. Born again neural networks[J]. arXiv preprint arXiv:1805.04770, 2018.

6. Romero A , Ballas N , Kahou S E , et al. FitNets: Hints for Thin Deep Nets[J]. Computer Science, 2014.

7. Zagoruyko S, Komodakis N. Paying more attention to attention: Improving the performance of convolutional neural networks via attention transfer[J]. arXiv preprint arXiv:1612.03928, 2016.

8. Yim J, Joo D, Bae J, et al. A gift from knowledge distillation: Fast optimization, network minimization and transfer learning[C] // Proceedings of the IEEE Conference on Computer Vision and Pattern Recognition.

9. Wang X, Zhang R, Sun Y, et al. KDGAN: knowledge distillation with generative adversarial networks[C]//Advances in Neural Information Processing Systems. 2018: 775-786.

10. Tang J, Wang K. Ranking distillation: Learning compact ranking models with high performance for recommender system[C]

11. Cheng Y, Wang D, Zhou P, et al. A survey of model compression and acceleration for deep neural networks[J]. arXiv preprint arXiv:1710.09282, 2017.



本文转载自公众号:深度传送门,作者:凉爽的安迪 


推荐阅读


动手学深度学习 + TF2.0开源项目,不容错过


神奇的Embedding

征稿启示| 让更多的NLPer看到你的文章

AINLP-DBC GPU 云服务器租用平台建立,价格足够便宜

AINLP-DBC GPU 使用体验指南

我们建了一个免费的知识星球:AINLP芝麻街,欢迎来玩,期待一个高质量的NLP问答社区


关于AINLP


AINLP 是一个有趣有AI的自然语言处理社区,专注于 AI、NLP、机器学习、深度学习、推荐算法等相关技术的分享,主题包括文本摘要、智能问答、聊天机器人、机器翻译、自动生成、知识图谱、预训练模型、推荐系统、计算广告、招聘信息、求职经验分享等,欢迎关注!加技术交流群请添加AINLP君微信(id:AINLP2),备注工作/研究方向+加群目的。


登录查看更多
4

相关内容

对抗样本生成技术综述
专知会员服务
65+阅读 · 2020年7月21日
最新《多任务学习》综述,39页pdf
专知会员服务
266+阅读 · 2020年7月10日
深度学习目标检测方法及其主流框架综述
专知会员服务
148+阅读 · 2020年6月26日
专知会员服务
74+阅读 · 2020年5月21日
深度学习自然语言处理概述,216页ppt,Jindřich Helcl
专知会员服务
216+阅读 · 2020年4月26日
【浙江大学】对抗样本生成技术综述
专知会员服务
92+阅读 · 2020年1月6日
【上海交大】半监督学习理论及其研究进展概述
专知会员服务
71+阅读 · 2019年10月18日
基于知识蒸馏的BERT模型压缩
大数据文摘
18+阅读 · 2019年10月14日
用Attention玩转CV,一文总览自注意力语义分割进展
超详细干货 | 三维语义分割概述及总结
计算机视觉life
32+阅读 · 2019年3月19日
深度学习中Attention Mechanism详细介绍:原理、分类及应用
深度学习与NLP
10+阅读 · 2019年2月18日
CVPR2018 目标检测算法总览(最新的目标检测论文)
极市平台
21+阅读 · 2018年12月21日
[学习] 这些深度学习网络调参技巧,你了解吗?
菜鸟的机器学习
7+阅读 · 2017年7月30日
Arxiv
19+阅读 · 2020年7月13日
已删除
Arxiv
32+阅读 · 2020年3月23日
Knowledge Distillation from Internal Representations
Arxiv
4+阅读 · 2019年10月8日
Arxiv
26+阅读 · 2019年3月5日
Physical Primitive Decomposition
Arxiv
4+阅读 · 2018年9月13日
Arxiv
22+阅读 · 2018年2月14日
Arxiv
5+阅读 · 2018年1月16日
VIP会员
相关VIP内容
对抗样本生成技术综述
专知会员服务
65+阅读 · 2020年7月21日
最新《多任务学习》综述,39页pdf
专知会员服务
266+阅读 · 2020年7月10日
深度学习目标检测方法及其主流框架综述
专知会员服务
148+阅读 · 2020年6月26日
专知会员服务
74+阅读 · 2020年5月21日
深度学习自然语言处理概述,216页ppt,Jindřich Helcl
专知会员服务
216+阅读 · 2020年4月26日
【浙江大学】对抗样本生成技术综述
专知会员服务
92+阅读 · 2020年1月6日
【上海交大】半监督学习理论及其研究进展概述
专知会员服务
71+阅读 · 2019年10月18日
相关资讯
基于知识蒸馏的BERT模型压缩
大数据文摘
18+阅读 · 2019年10月14日
用Attention玩转CV,一文总览自注意力语义分割进展
超详细干货 | 三维语义分割概述及总结
计算机视觉life
32+阅读 · 2019年3月19日
深度学习中Attention Mechanism详细介绍:原理、分类及应用
深度学习与NLP
10+阅读 · 2019年2月18日
CVPR2018 目标检测算法总览(最新的目标检测论文)
极市平台
21+阅读 · 2018年12月21日
[学习] 这些深度学习网络调参技巧,你了解吗?
菜鸟的机器学习
7+阅读 · 2017年7月30日
相关论文
Arxiv
19+阅读 · 2020年7月13日
已删除
Arxiv
32+阅读 · 2020年3月23日
Knowledge Distillation from Internal Representations
Arxiv
4+阅读 · 2019年10月8日
Arxiv
26+阅读 · 2019年3月5日
Physical Primitive Decomposition
Arxiv
4+阅读 · 2018年9月13日
Arxiv
22+阅读 · 2018年2月14日
Arxiv
5+阅读 · 2018年1月16日
Top
微信扫码咨询专知VIP会员