基于强化学习的自动交易系统研究与发展综述

2019 年 12 月 4 日 深度强化学习实验室

深度强化学习实验室报道

作者:梁天新

编辑:DeepRL

近年来,强化学习在电子游戏、棋类、决策控制领域取得了巨大进展,也带动着金融交易系统的迅速发展,金融交易问题已经成为强化学习领域的研究热点,特别是股票、外汇和期货等方面具有广泛的应用需求和学术研究意义。本文以金融领域常用的强化学习模型的发展为脉络,对交易系统、自适应算法、交易策略等方面的诸多研究成果进行了综述。最后讨论了强化学习在金融领域应用中存在的困难和挑战,并对今后强化学习交易系统发展趋势进行展望。


1. RRL在金融交易系统中的应用

Moody 等人将循环强化学习算法模型(Recurrent Reinforcement Learning,RRL)应用在单一股票和资产投资组合等领域,测试了日内外汇市场(USD / GBP)、标准普尔500(S&P 500 Index)、美国短期国债等金融资产。以收益率为输入,微分夏普比率为目标函数,在交易成本为5‰的情况下进行实验。RRL 策略获得的回报超过Q 学习(Q-Learning)策略和买入持有策略,并在交易次数上明显小于Q 学习策略。


在交易领域中,最终利润或者基于风险的收益,代表交易模型的回报。通过专家标签和分析一定长度金融时间序列做出交易决策,这种监督方式交易系统存在以下弊端:首先,金融交易获得的回报不是即时的,回报是交易中止时的总回报,这导致每一步决策的回报不明确。这正是强化学习中的临时信用分配和结构信用难题,即“系统获得的奖赏如何分配到每个操作上[5]”;其次,标签数据是基于已知的金融时间序列,忽略了不断变化的市场风格对输入变量有效性的影响,导致交易系统不能及时调整策略。最后,随着交易价格的变化,交易成本也在不断变化,无法实时调整交易成本的模型,即便是预测准确,依然会由于交易成本失控导致交易亏损。实践证明,监督学习方式在金融自动交易系统中应用效果并不理想。


相比监督式的交易系统,Moody 等人提出的RRL 算法是一种在线模式,可以找到随机动态规划问题的近似解[7]。RRL 不需要标记信息,通过行动得到的环境反馈来调整内部参数,增加未来回报的期望值。基于RRL 建立的交易系统通过循环算法解决优化时间信用分配问题和结构信用分配问题[5],RRL 获得的交易利润是路径依赖决策的结果,既包含基于时间的反向传播算法(Back Propagation Through Time,BPTT),也包含在线自适应算法(Adaptive Algorithm)。RRL 既可以应用在单一金融资产交易领域,也可以应用到投资组合管理领域。它在金融领域的应用如图1所示。


2. RRL模型

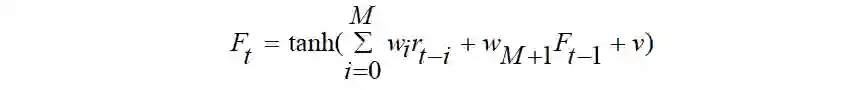
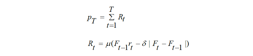
Moody 等人提出的RRL 模型把金融时间序列作为输入,以最大化微分夏普比率(Sharp Ratio)为目标函数,设计两类金融领域常见的操作:做空(short)、做多(long)。RRL将动作定义为,代表着在t 时刻的操作(空/多),RRL 单层神经网络的预测模型如公式(1.1)所示:

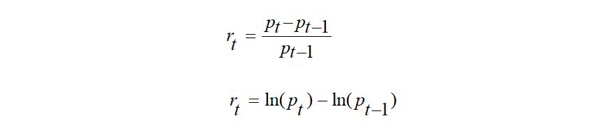
r_t代表收益率,有如下两种表示方法:

研究中常采用对数收益率,对数收益率比价格差值更容易体现价格的变动,也更容易计算夏普比率、最大回撤率(Max Drawdown) 等风险度量指标。当价格变化幅度


RRL 算法以最大化利润为目标,但通常不使用最高累计利润作为模型表现衡量指标,最高累计利润p_T ,表示为

3. RRL优化方式

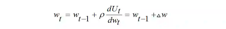
RRL 的目标是通过梯度上升的方式在一个循环神经网络中优化权重w_t 

4.  基于RRL 自适应交易系统

   自动交易系统架构

交易系统整体流程如下图所示:


5. 值函数与Q 学习的金融交易系统

6.  结论

本文认为上述研究中仍然存在着亟待解决的问题:

  • 金融市场具有不稳定性,趋势实时变化。从历史的训练数据中学到的知识可能不会在后续测试数据中有良好的效果,这对强化学习模型的适应性提出了更高的要求,不同市场条件下如何选择合适的强化学习模型和深度学习模型仍然是一个悬而未决的问题。

  • 构建基于强化学习的交易软件或系统,通常一种算法不能解决全部问题,针对不同的市场情况,需要设置不同的配置模块。风险层、策略轮动层、自适应层等层次结构的设计至今没有统一解决方案,业界仍然在探索中。

  • 大部分强化学习模型系统都是专攻某一类金融交易,单纯的做多、做空或空仓观望等,投资组合方式也仅是对各类金融资产的权重进行重新分配。但是,如股票中性、期货中性等策略需要对多种资产同时进行复杂的多空对冲操作时,仍缺少充分的研究。

  • 强化学习领域最近提出了确定性策略和蒙特卡罗树搜索结合的算法,并应用于围棋领域,获得了突破。如何将蒙特卡罗树搜索策略应用在交易系统中,值得深入研究。


更多内容请查看原paper《 基于强化学习的自动交易系统研究与发展》

http://www.jos.org.cn/jos/ch/reader/view_abstract.aspx?file_no=5689&flag=1




# 往期论文精彩回顾#

第37篇:从Paper到Coding, 一览DRL挑战34类游戏

第36篇:复现"深度强化学习"论文的经验之谈

第35篇:α-Rank算法之DeepMind及Huawei的改进

第34篇:DeepMind-102页深度强化学习PPT(2019)

第33篇:全网首发|| 最全深度强化学习资料(永久更新)

第32篇:腾讯AI Lab强化学习招聘(正式/实习)

第31篇:强化学习,路在何方?

第30篇:强化学习的三种范例

第29篇:框架ES-MAML:进化策略的元学习方法

第28篇:138页“策略优化”PPT--Pieter Abbeel

第27篇:迁移学习在强化学习中的应用及最新进展

第26篇:深入理解Hindsight Experience Replay

第25篇:10项【深度强化学习】赛事汇总

第24篇:DRL实验中到底需要多少个随机种子?

第23篇:142页"ICML会议"强化学习笔记

第22篇:通过深度强化学习实现通用量子控制

第21篇:《深度强化学习》面试题汇总

第20篇:《深度强化学习》招聘汇总(13家企业)

第19篇:解决反馈稀疏问题之HER原理与代码实现

第18篇:"DeepRacer" —顶级深度强化学习挑战赛

第17篇:AI Paper | 几个实用工具推荐

第16篇:AI领域:如何做优秀研究并写高水平论文?

第15篇: DeepMind开源三大新框架!
第14篇: 61篇NIPS2019深度强化学习论文及部分解读
第13篇: OpenSpiel(28种DRL环境+24种DRL算法)
第12篇: 模块化和快速原型设计的Huskarl DRL框架
第11篇: DRL在Unity自行车环境中配置与实践
第10篇: 解读72篇DeepMind深度强化学习论文
第9篇: 《AutoML》:一份自动化调参的指导
第8篇: ReinforceJS库(动态展示DP、TD、DQN)
第7篇: 10年NIPS顶会DRL论文(100多篇)汇总
第6篇: ICML2019-深度强化学习文章汇总
第5篇: 深度强化学习在阿里巴巴的技术演进
第4篇: 深度强化学习十大原则
第3篇: “超参数”自动化设置方法---DeepHyper
第2篇: 深度强化学习的加速方法
第1篇: 深入浅出解读"多巴胺(Dopamine)论文"、环境配置和实例分析


第9期论文:2019-12-4(3篇,1篇NIPS)

第8期论文:2019-11-18(5篇)

第7期论文:2019-11-15(6篇)

第6期论文:2019-11-08(2篇)

第5期论文:2019-11-07(5篇,一篇DeepMind发表)

第4期论文:2019-11-05(4篇)

第3期论文:2019-11-04(6篇)

第2期论文:2019-11-03(3篇)

第1期论文:2019-11-02(5篇)


深度强化学习实验室

算法、框架、资料、前沿信息等


GitHub仓库

https://github.com/NeuronDance/DeepRL

欢迎Fork,Star,Pull Reques

登录查看更多
0

相关内容

强化学习(RL)是机器学习的一个领域,与软件代理应如何在环境中采取行动以最大化累积奖励的概念有关。除了监督学习和非监督学习外,强化学习是三种基本的机器学习范式之一。 强化学习与监督学习的不同之处在于,不需要呈现带标签的输入/输出对,也不需要显式纠正次优动作。相反,重点是在探索(未知领域)和利用(当前知识)之间找到平衡。 该环境通常以马尔可夫决策过程(MDP)的形式陈述,因为针对这种情况的许多强化学习算法都使用动态编程技术。经典动态规划方法和强化学习算法之间的主要区别在于,后者不假设MDP的确切数学模型,并且针对无法采用精确方法的大型MDP。

知识荟萃

精品入门和进阶教程、论文和代码整理等

更多

查看相关VIP内容、论文、资讯等
基于深度学习的表面缺陷检测方法综述
专知会员服务
89+阅读 · 2020年5月31日
最新《智能交通系统的深度强化学习》综述论文,22页pdf
《强化学习》简介小册,24页pdf
专知会员服务
280+阅读 · 2020年4月19日
最新《经济学中的强化学习》2020大综述,42页pdf128篇文献
【综述】金融领域中的深度学习,附52页论文下载
专知会员服务
165+阅读 · 2020年2月27日
【综述】自动驾驶领域中的强化学习,附18页论文下载
专知会员服务
176+阅读 · 2020年2月8日
专知会员服务
239+阅读 · 2020年1月23日
智能交通大数据最新论文综述-附PDF下载
专知会员服务
106+阅读 · 2019年12月25日
[综述]基于深度学习的开放领域对话系统研究综述
专知会员服务
80+阅读 · 2019年10月12日
近期强化学习领域论文导读(附源码)
人工智能前沿讲习班
7+阅读 · 2019年6月15日
金融风控背后的技术综述
七月在线实验室
45+阅读 · 2019年2月28日
一文学习基于蒙特卡罗的强化学习方法(送书)
人工智能头条
7+阅读 · 2018年3月13日
【强化学习】强化学习/增强学习/再励学习介绍
产业智能官
10+阅读 · 2018年2月23日
基于强化学习的量化交易框架
机器学习研究会
30+阅读 · 2018年2月22日
人工智能时代的量化投资策略
七月在线实验室
8+阅读 · 2017年12月19日
【强化学习】强化学习+深度学习=人工智能
产业智能官
55+阅读 · 2017年8月11日
A Survey on Bayesian Deep Learning
Arxiv
64+阅读 · 2020年7月2日
Image Segmentation Using Deep Learning: A Survey
Arxiv
47+阅读 · 2020年1月15日
Revisiting CycleGAN for semi-supervised segmentation
Arxiv
3+阅读 · 2019年8月30日
Arxiv
5+阅读 · 2018年9月11日
Large-Scale Study of Curiosity-Driven Learning
Arxiv
8+阅读 · 2018年8月13日
Arxiv
3+阅读 · 2018年6月24日
VIP会员
相关VIP内容
基于深度学习的表面缺陷检测方法综述
专知会员服务
89+阅读 · 2020年5月31日
最新《智能交通系统的深度强化学习》综述论文,22页pdf
《强化学习》简介小册,24页pdf
专知会员服务
280+阅读 · 2020年4月19日
最新《经济学中的强化学习》2020大综述,42页pdf128篇文献
【综述】金融领域中的深度学习,附52页论文下载
专知会员服务
165+阅读 · 2020年2月27日
【综述】自动驾驶领域中的强化学习,附18页论文下载
专知会员服务
176+阅读 · 2020年2月8日
专知会员服务
239+阅读 · 2020年1月23日
智能交通大数据最新论文综述-附PDF下载
专知会员服务
106+阅读 · 2019年12月25日
[综述]基于深度学习的开放领域对话系统研究综述
专知会员服务
80+阅读 · 2019年10月12日
相关资讯
近期强化学习领域论文导读(附源码)
人工智能前沿讲习班
7+阅读 · 2019年6月15日
金融风控背后的技术综述
七月在线实验室
45+阅读 · 2019年2月28日
一文学习基于蒙特卡罗的强化学习方法(送书)
人工智能头条
7+阅读 · 2018年3月13日
【强化学习】强化学习/增强学习/再励学习介绍
产业智能官
10+阅读 · 2018年2月23日
基于强化学习的量化交易框架
机器学习研究会
30+阅读 · 2018年2月22日
人工智能时代的量化投资策略
七月在线实验室
8+阅读 · 2017年12月19日
【强化学习】强化学习+深度学习=人工智能
产业智能官
55+阅读 · 2017年8月11日
Top
微信扫码咨询专知VIP会员