干货|MIT线性代数课程精细笔记1

2017 年 8 月 22 日 算法与数学之美 坤博

干货|MIT线性代数课程精细笔记[第一课]

 

1
知识概要



本节开始,我们一起来学习线性代数的有关知识,首节我们从解方程谈起,学习线性代数的应用之一就是求解复杂方程问题,本节核心之一即为从行图像与列图像的角度解方程


2
方程组的几何解释基础 



2.1 二维的行图像


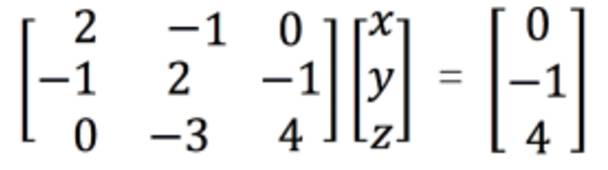
我们首先通过一个例子来从行图像角度求解方程:

我们首先按行将方程写为矩阵形式:


系数矩阵(A):将方程系数按行提取出来,构成一个矩阵。

未知向量(x):将方程未知数提取出来,按列构成一个向量。

向量(b):将等号右侧结果按列提取,构成一个向量。


接下来我们通过行图像来求解这个方程:

所谓行图像,就是在系数矩阵上,一次取一行构成方程,在坐标系上作图。和我们在初等数学中学习的作图求解方程的过程无异。



2.2 二维的列图像


接下来我们使用列图像求解此方程:

即寻找合适的 x,y 使得 x 倍的(2,-1) + y 倍的(-1,2)得到最终的向量(0,3)。很明显能看出来,1 倍(2,-1) + 2 倍(-1,2)即满足条件。


反映在图像上,明显结果正确。



3
方程组的几何解释推广 


3.1 高维行图像 



如果绘制行图像,很明显这是一个三个平面相交得到一点,我们想直接看出这个点的性质可谓是难上加难。


比较靠谱的思路是先联立其中两个平面,使其相 交于一条直线,在研究这条直线与平面相交于哪个点,最后得到点坐标即为方程 的解。


这个求解过程对于三维来说或许还算合理,那四维呢?五维甚至更高维数呢?直观上很难直接绘制更高维数的图像,这种行图像受到的限制也越来越多。



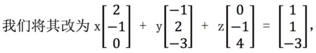
3.2 高维列图像 


左侧是线性组合,右侧是合适的线性组合组成的结果,这样一来思路就清晰多了,“寻找线性组合”成为了解题关键。

很明显这道题是一个特例,我们只需要取 x = 0,y = 0,z = 1。就得到了结果,这在行图像之中并不明显。


当然,之所以我们更推荐使用列图像求解方程, 是因为这是一种更系统的求解方法,即寻找线性组合,而不用绘制每个行方程的图像之后寻找那个很难看出来的点。


另外一个优势在于,如果我们改变最后的结果 b,例如本题中,



那么我们 2 −1 1 0 −3 4 −3 就重新寻找一个线性组合就够了,但是如果我们使用的是行图像呢?那意味着我 们要完全重画三个平面图像,就简便性来讲,两种方法高下立判。


另外,还要注意的一点是对任意的 b 是不是都能求解 Ax = b 这个矩阵方程呢? 也就是对 3*3 的系数矩阵 A,其列的线性组合是不是都可以覆盖整个三维空间呢?


 对于我们举的这个例子来说,一定可以,还有我们上面 2*2 的那个例子,也可以 覆盖整个平面,但是有一些矩阵就是不行的。


比如三个列向量本身就构成了一个 平面,那么这样的三个向量组合成的向量只能活动在这个平面上,肯定无法覆盖 2 −1 1 一个三维空间,

这三个向量就构成了一个平面。



3.3 矩阵乘法



4
 学习感悟
这部分内容是对线性代数概念的初涉,从解方程谈起,引进列空间的概念,可以发现从列空间角度将求解方程变化为求列向量的线性组合,这个方式更加科学。 介绍了矩阵乘法,这部分内容重在理解。


希望对大家有帮助~





☞  哈尔莫斯:怎样做数学研究

☞  扎克伯格2017年哈佛大学毕业演讲

☞  线性代数在组合数学中的应用

☞  你见过真的菲利普曲线吗?

☞  支持向量机(SVM)的故事是这样子的

☞  深度神经网络中的数学,对你来说会不会太难?

☞  编程需要知道多少数学知识?

☞  陈省身——什么是几何学

☞  模式识别研究的回顾与展望

☞  曲面论

☞  曲面论(第二讲)

☞  曲面论(第三讲)

☞  自然底数e的意义是什么?

☞  如何向5岁小孩解释什么是支持向量机(SVM)?

☞  华裔天才数学家陶哲轩自述

☞  代数,分析,几何与拓扑,现代数学的三大方法论


算法数学之美微信公众号欢迎赐稿

稿件涉及数学、物理、算法、计算机、编程等相关领域。

稿件一经采用,我们将奉上稿酬。

投稿邮箱:math_alg@163.com


登录查看更多
1

相关内容

线性代数(Linear Algebra)是数学的一个分支,它的研究对象是向量,向量空间(或称线性空间),线性变换和有限维的线性方程组。向量空间是现代数学的一个重要课题;因而,线性代数被广泛地应用于抽象代数和泛函分析中;通过解析几何,线性代数得以被具体表示。线性代数的理论已被泛化为算子理论。由于科学研究中的非线性模型通常可以被近似为线性模型,使得线性代数被广泛地应用于自然科学和社会科学中。 - 题图来自「维基百科」。
专知会员服务
43+阅读 · 2020年7月7日
【纽约大学】最新《离散数学》笔记,451页pdf
专知会员服务
131+阅读 · 2020年5月26日
干货书《数据科学数学系基础》2020最新版,266页pdf
专知会员服务
325+阅读 · 2020年3月23日
2019->2020必看的十篇「深度学习领域综述」论文
专知会员服务
275+阅读 · 2020年1月1日
最全综述 | 图像分割算法
计算机视觉life
14+阅读 · 2019年6月20日
特征方程的物理意义
算法与数学之美
6+阅读 · 2019年5月13日
干货 | 图像分割概述 & ENet 实例
AI科技评论
22+阅读 · 2019年2月24日
博客 | MIT—线性代数(下)
AI研习社
6+阅读 · 2018年12月20日
博客 | MIT—线性代数(上)
AI研习社
9+阅读 · 2018年12月18日
BAT机器学习面试题1000题(331~335题)
七月在线实验室
12+阅读 · 2018年8月13日
入门 | 这是一份文科生都能看懂的线性代数简介
机器之心
14+阅读 · 2018年3月31日
【干货】​深度学习中的线性代数
专知
21+阅读 · 2018年3月30日
BAT机器学习面试1000题系列(第51~55题)
七月在线实验室
10+阅读 · 2017年10月8日
BAT机器学习面试1000题系列(第46~50题)
七月在线实验室
7+阅读 · 2017年10月7日
Question Generation by Transformers
Arxiv
5+阅读 · 2019年9月14日
Arxiv
11+阅读 · 2018年3月23日
Arxiv
3+阅读 · 2018年3月14日
VIP会员
相关资讯
最全综述 | 图像分割算法
计算机视觉life
14+阅读 · 2019年6月20日
特征方程的物理意义
算法与数学之美
6+阅读 · 2019年5月13日
干货 | 图像分割概述 & ENet 实例
AI科技评论
22+阅读 · 2019年2月24日
博客 | MIT—线性代数(下)
AI研习社
6+阅读 · 2018年12月20日
博客 | MIT—线性代数(上)
AI研习社
9+阅读 · 2018年12月18日
BAT机器学习面试题1000题(331~335题)
七月在线实验室
12+阅读 · 2018年8月13日
入门 | 这是一份文科生都能看懂的线性代数简介
机器之心
14+阅读 · 2018年3月31日
【干货】​深度学习中的线性代数
专知
21+阅读 · 2018年3月30日
BAT机器学习面试1000题系列(第51~55题)
七月在线实验室
10+阅读 · 2017年10月8日
BAT机器学习面试1000题系列(第46~50题)
七月在线实验室
7+阅读 · 2017年10月7日
Top
微信扫码咨询专知VIP会员