被解救的诺特

2019 年 7 月 10 日 中国物理学会期刊网
作者:孟子杨(中科院物理所/香港大学) 本文献给一个受苦中的朋友


(上)

看过好莱坞鬼才昆汀.塔伦蒂诺的电影《被解救的姜戈》的朋友,可能都思考过这样一个问题,除了表面上暴力美学和废奴主题之外,这部电影到底想要表达什么意思?鬼才当然不愧是鬼才,离奇的故事 -- 狂野的西部片人设与弥漫着潮湿和神秘气息的南方奴隶庄园背景,姜戈在这个昆汀匠心设计的故事里,挣脱了时代强加在他身上的枷锁,经过生死的洗礼 ,邪恶的奴隶主坎迪(莱昂纳多·迪卡普里奥)死了,好心仗义的德国赏金猎人舒尔茨 (克里斯托弗·瓦尔兹) 也死了,姜戈在杀光所有坏人后最终救出了妻子,体会到了追求自由的滋味。但是,这只是姜戈个人的追求,在他那个时代,几乎所有的美国南方黑人还生活在奴隶制度的不公之下,哪怕是影片中庄园里的黑人,即使他们的主人和主人的帮凶们已经死在舒尔茨和姜戈复仇的枪口之下,仍然将会继续做奴隶。姜戈解救的只是他自己,或者说他只是品尝到了个人追求自由的苦涩与甜蜜,他改变不了整个环境。但是,对于一个个被环境压迫着的个体,对于艰难的人生,能够体会到这份属于个人的苦涩和甜蜜,或者起码知道存在这样的可能性,已经足够让人挣扎着追求下去了。

时代的变异,历史的演进,其实个人的不自由,个人的追求自由和自我救赎,即使在今天这个似乎要被人工智能和量子计算所颠覆的时代,这样人类生存中永恒的命题并没有改变,也不会改变。我想,这也许是塔伦蒂诺电影中,除了暴力、诡异和戏谑之外,还有的一层意思。

同样内涵的故事,可以从1850年代的美国南部转述到1915年的德国哥廷根,就是在这个高斯、黎曼、克莱恩、希尔伯特、马克斯玻恩等等科学的圣贤们工作和生活的地方。一个杰出但是被其所处的时代压迫着的人,也在挣扎着摆脱身上的枷锁追求自由,或者说,追求着追求自由的感觉,她就是埃米.诺特。在诺特生活的时代科学正突飞猛进,相对论、量子力学正在一步步成长为参天的大树,许多我们现在耳熟能详的名字正在被镌刻到人类文明群星的天幕上,然而就是这样一个时代,女性仍然在学术工作中受到歧视和压迫。在长达7年的时间里,诺特只能在研究所无偿地工作;而且她不能使用自己的名字,只能做为希尔伯特的无名助手进行教学;晚年更因为身为犹太人被赶出德国。诺特品尝到的压迫,虽然和姜戈生为黑人只能做奴隶那样的更加血腥的压迫表现形式不同,但实质是一样的。

姜戈追求自由的方式是杀死想置他于死地的奴隶主一家人,诺特追求自由的方式是证明了一个定理。他与她,都是时代中优秀的、受到压迫的个体,他和她都在挣扎着追求追求自由的感觉,他和她也都改变不了同伴们还在受着压迫的苦难现实,但是做为一代人中的先知先觉者,能够做到如此已然是成功的了。大多数时候,能够成功地追求到追求自由的感觉,就是值得过的人生了。

Fig.1 被解救的姜戈和被解救的诺特。不同的表达,相似的主题。


下面我们进入正题,讲讲诺特定理 [1],这条定理告诉我们:在物理系统中,连续对称性总是对应着守恒量 。


这句话看似简单,但其在经典物理学和量子物理学中都有深刻意义,它告诉人们可以从物理系统所具有的连续对称性中(比如系统哈密顿量所具有的连续对称性),看出如此系统存在的守恒量和守恒流。举几个常见的例子。具有空间平移不变性的系统,其动量是守恒的;具有转动不变性的系统,其角动量是守恒的;具有时间平移不变性的系统,其能量是守恒的;具有电势和向量势的规范不变性的系统,其电荷是守恒的;……。所以诺特定理可以让人们从对于物理问题的基本形式的观察之中,比如对于作用量或者哈密顿量的对称性分析之中,洞察问题将会具有的性质,即


连续对称性守恒律/守恒量/守恒流


这样的性质从经典力学系统到量子力学系统,再到量子多体系统都是适用的。也许正是因为定理本身所展现出的洞彻性,让诺特本人可以忘记身处的压迫性的环境,全心地投入到追求自由的创造性工作之中,追求着追求自由的感觉。

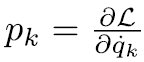
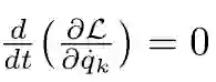
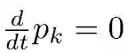
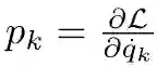
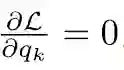
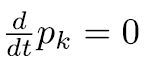
其实诺特定理在18,19世纪的经典力学中很容易解释。对于作用量,其中为广义坐标,为广义动量。欧拉—拉格朗日方程告诉我们,如果系统的拉式量中不显式地含有某一个广义坐标qk,也就是说系统对于广义坐标变换q'k  → qk + δqk  具有连续对称性。此时,那么显见,而,所以,即广义动量pk不随时间而改变,是为守恒量。这就是连续对称性给出守恒量的具体原因。


上面对于诺特定理的解读,在我们的时代已经进入大学物理甚至是中学物理教科书,大多数时候人们也不会想到在第一线的研究工作中还会有与之相关的惊喜。第一线的研究工作往往就像日常生活中的柴米油盐,真正阳春白雪般的美其实并不多见。但是,当第一线的科研工作者们在实际的困难中反复挣扎的时候,他们心中常常想到的,也和姜戈、诺特一样,是要挣脱困难和环境压力的束缚,是要去追求追求自由的感觉,而就是在这样的过程中,我们和诺特相遇了。

(中)

现代凝聚态物理学量子多体理论有几个核心的支柱。其中关于相变与临界现象的支柱就是朗道 — 金兹伯格 – 威尔逊理论框架 (Landau-Ginzburg-Wilson (LGW) paradigm),其基本的想法是物理系统的相都由对应的序参量来刻画,而系统发生相变的过程就是由序参量写成的作用量,在重整化群的流动中(renomalization group flow)到达不同的不动点(fixed point)的过程。在不同的不动点上,作用量中有的项变得相关,或者说变得重要,其他的项变得不重要。作用量中不同的相关项会对应不同形式的对称性自发破缺,一旦某种对称性发生了自发破缺,其对应的序参量就是有限值。序参量从零到有限值过程如果是连续的,则为连续相变;如果从零到有限值的过程是一个跳变,则为一级相变。在 LGW 的框架之下,系统可能发生的对称性自发破缺,都在作用量(或者微观哈密顿量)的掌握之下,不会有高于哈密顿量的对称性,不会有超越 LGW 框架的相变。比如,两种对称性自发破缺的序,在只调节一个参数的时候,不会在一个连续相变点相遇,此时的相变要么是一级,要么会在两个序中间还有个中间相。

上面这样基本的认识,随着凝聚态物理学量子多体问题的研究进展,正在逐渐地发生变化,笔者在之前文章 [3,4] 中提到的去禁闭量子临界点(deconfined quantum critical point, DQCP),就是 LGW框架所不能描述的例子。DQCP 的模型实现,如图2所示,就是在正方晶格自旋-1/2 模型中,从打破自旋旋转对称性的反铁磁有序态(antiferromagnetic – AFM)到打破晶格平移与转动对称性的共振价键态(valence bond solid – VBS)的相变。DQCP 的预言就是这两种不同的对称性自发破缺相,可以在一个连续相变点相遇,那时,分数化的自旋子激发,涌现量子电动力学规范场,以及和本文最相关的涌现连续对称性等等超越 LGW 的性质都会出现 [5]。DQCP 的模型计算(J-Q 模型)十几年来一直在热烈地进行着,通过凝聚态物理学家、高能物理学家们的共同努力,目前的认识凝练到了如下三个方面:

1)去禁闭量子临界点,做为一个连续相变,在J-Q 模型或者其他 designer-Hamiltonian 中是否真正存在,还是其实是弱的一级相变?

2)理论上预言的,在去禁闭量子临界点上涌现出的连续对称性是否存在?

3)想要在关联电子材料实验中观察到去禁闭量子临界现象,应该寻找怎样的实验信号?

可以看到对于1), 2), 3) 的理解,都用了问号结尾,可见目前其实并没有定论。如笔者在之前的文字中所描述的 [4],对于问题1),有持一级相变论者,有持连续相变论者;对于问题2),有持连续相变且具有涌现连续对称性论者,也有持连续相变但是没有涌现连续对称性论者,一时的争论还没有会平息的迹象。而笔者之前撰文介绍的工作 [6],尝试回答了问题3),就是如果 DQCP 在凝聚态物理材料中存在的话,实验上应该看到什么现象,有什么与遵从 LGW 的普通量子相变不同的现象。文献 [6] 告诉人们,如图2所示的自旋动力学谱函数,对于 DQCP和普通量子相变,是十分不同的。在DQCP 的谱中,可以看到由于自旋子存在而产生的连续谱,可以看到自旋子与规范场耦合所导致的自旋谱权重特别的能量—动量分布。

Fig. 2:  Emmy Noether looks at the DQCP。具有去禁闭量子临界点的 easy-plane J-Q (EPJQ) 模型。q=Q/(J+Q) 为相变的调控参数。q < DQCP,系统具有破缺自旋旋转对称性的 easy-plane 反铁磁长程序 (antiferromagnetic XY order, AFXY);q > DQCP,系统具有破缺晶格旋转对称性的共振价键长程序 (valence bond solid, VBS)。两者之间是去禁闭量子临界点,临界点上的自旋能谱为能量 – 动量上的连续谱,展现出去禁闭的自旋子以及自旋子的涌现规范场耦合的效应。能谱中在X=(π, 0)处的自旋算符,就是DQCP O(4) 涌现连续对称性的守恒流。

但是,始终困扰着人们的问题2) 涌现连续对称性,多年以来领域中很多同行都进行了努力,仍然还是没有明确结论。比如人们用了很大的精力去讨论如何得到准确的AFM 和VBS 序参量的临界指数。这是因为如果两种序参量的临界指数相等,那么这两个序参量其实就是一个具有更高对称性的序参量的分量,即系统在相变点上具有比其哈密顿量更高的对称性。然而,临界指数的准确计算十分困难,DQCP尤甚。这是因为临界指数一般都不是整数,以AFM 和VBS序参量的 anomalous dimension ηAFM ηVBS为例,此处它们的 errorbar 强烈地受制于有限尺度效应,对于误差的估计很难做到完全客观,所以很难说计算得到的临界指数是否在客观的误差估计下相等。后来,人们又发现 J-Q 模型的有限尺度标度方式与一般的量子相变不同,一般的连续相变只有一个长度尺度是发散的,而 J-Q 的 DQCP有两个发散的长度尺度,这个发现本身就是一篇 Science 文章 [7],但是这个发现又使得 J-Q 模型相变点上临界指数的数值分析更加困难,所以这样的努力一时也没有完结的迹象。

就是在这样一个一团乱麻的情况下:问题本身的困难程度;为了解决问题所需要的理论修养;为了得到可靠数据而对于大规模量子蒙特卡洛所进行的计算资源调配;得到数据后如何进行可靠的有限尺度标度分析;…..。我们就是在反复追问解决方案的过程中与诺特相遇 [8]。诺特定理告诉我们,物理系统的连续对称性对应着守恒流,反之亦然,重要就重要在这个反之亦然。本文(上)中举出的诺特定理在教科书中的应用,都是正向的,而现在对于 DQCP,需要反过来思考,这事看来显而易见,却着实困扰了我们很长时间。

如图2所示,在 J-Q 模型的 DQCP,理论预言VBS序参量具有的(n1, n2)分量(即自旋单态算符和 AFXY 序参量具有的(n3, n4)分量(即自旋算符),在 DQCP 上演生成为一个更高序参量的四个等价分量,即n=(n1, n2,n3, n4),也就是说系统在 DQCP 具有n所具备的 O(4) 连续对称性,高于 J-Q 模型本身所具有的连续 O(2) (AFXY) 和离散 Z4 (VBS) 对称性。系统所对应的态(或者说波函数)具有高于其微观模型的对称性,即涌现连续对称性。

为了验证此事,如上文所述的对比临界指数、运用两个长度尺度的标度方法等等努力都已付诸实践,但是结果仍然不能让人满意。我们就是在一起反复追问这样的问题的过程中,意识到了诺特定理和它的反向应用。如果体系果然具有涌现O(4) 对称性,就应该可以找到这个对称性对应的守恒流,即。而守恒流之为守恒流,就是其关联函数在时空中按照整数幂律衰减,

衰减的幂指数4是空间的维度(d=2)的两倍,是一个整数。而不像普通的相变点上的关联函数的衰减形式,

需要考虑一个由重整化流所赋予的不为零、非整数的 anomalous dimension  ,比如上文中提到的ηAFMηVBS。所以,如果我们可以找到 O(4) 守恒流的算符表达式,在大规模数值计算中计算其关联函数,然后通过逐步增大系统的尺度,观察其关联函数的衰减形式是否按照整数的幂律,即η=0,那么就可以反用诺特定理,证明我们的 DQCP 的确具有涌现 O(4) 对称性。

在文献 [8] 中,我们也的确是这样做的。首先在涌现作用量中推导出守恒流的场论表达形式,如表1中第3列。而我们可以严格计算的,是原本的晶格模型中的种种自旋关联函数,于是还需要近一步把场论算符推导至晶格模型中的微观算符,这就是表1中第1列和2列。此时就可以看到场论模型中的守恒流算符其实是晶格模型中自旋算符在动量空间中 (π,0) 点上的关联。这里其实也可以看出为什么人们之前没有关注这个关联函数,如上文所说,反铁磁相的序参量是算符在 (π,π) 点上的关联函数,而 (π,0) 点上的关联函数,如果不是通过这里的分析,是看不出其明确的物理意义的。同样的,表1还告诉我们,另一个被人们忽略的关联函数,自旋算符在动量 (0, 0) 处的关联,亦是守恒流的关联。

表1: 去禁闭量子临界点处不同流算符在微观晶格模型和场论模型之间的对应关系。

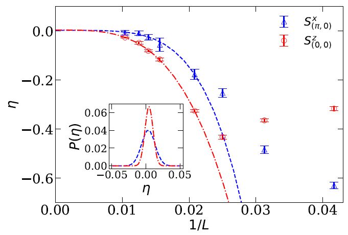
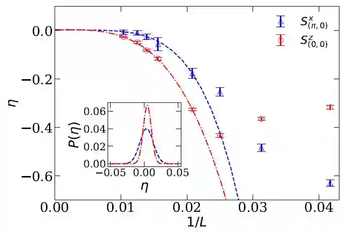
有了这样的分析,下面就可以在 DQCP 点上进行量子蒙特卡洛计算,测量在动量 (π, 0) 在动量(0, 0) 处的关联函数,探测其 anomalous dimension 是不是η=0。在计算的过程中,我们发现对于路径积分下的蒙特卡洛数值信号,关联函数在虚时上的衰减比其在空间或者松原频率维度上的衰减更加容易分析,但是上面 Eq. (8) 优雅的形式在傅里叶变换到虚时之上的时候,需要动用到特殊函数,所以需要对虚时的守恒流关联函数进行含有特殊函数的数据拟合,才能从数值上得到可靠的η随着系统有限尺度L变化的估计。


Fig.3: 量子蒙特卡洛模拟得到的守恒流结果。x轴为1/L ,即外推到系统线性尺度无穷大的热力学极限;y轴为关联函数幂律的重整化修正指数η,修正指数在热力学极限下外推到η=0,说明此处的关联函数是守恒流算符的关联函数,没有重整化修正。


上面所提到的理论推导和数据分析的困难都在我们的追问之下被一一克服,最后的结果就是图3中所示的 DQCP 的 O(4) 连续对称性守恒流关联函数,其 anomalous dimension  η随着系统尺度L逐步增大时逐步收敛到η=0的行为,也就是说在热力学极限下(L→∞),系统确实具有O(4) 连续对称性所以需要的守恒流,也就是说 DQCP 确实具有涌现 O(4) 对称性,也就是说百年前的诺特定理对于超过 LGW 框架的量子多体系统仍然具有振聋发聩的穿透力。

(下)

所有这些想法和实践,都是合作者和笔者反复追问的结果,在计算的过程中大家也都付出了艰辛的努力。但就笔者来说,真正从自己的角度把故事理清楚头绪是在一个清冷的下着雨的初秋的早晨,其时笔者正和学生在东京大学参加一个计算物理学的会议。清晨在无人的校园中散步的时候,平日里横亘在心中的繁琐的日常工作,生活中的各种困难和束缚都暂时地被东京湾秋日的冷雨洗刷干净,追求着追求自由的感觉短暂地回到心中,一时看透了J-Q 模型诺特守恒流的计算结果的合适的表达方式,遂直奔东大朋友给安排的办公室,会议也不参加了(后来想起实在有愧日本朋友热情的邀约),开始倾泻心中的故事。一个上午,就在那座老旧的日本帝国时期的教学楼里,大家都去开会了,一个人藏在拥挤的小房间里开始满心虔诚地向诺特、向姜戈表达自己的敬意,满心虔诚地追求着虽然渺小但是却自视为珍宝的追求自由的感觉:

    Emmy Noether looks at the deconfined quantum critical point ,

这里写下的其实不是 DQCP 和涌现连续对称性,不是运用诺特定理找到了对于其他方法难以获得确定性答案的新型量子相变的技术突破,写下的其实是自己在事业中最珍视的,却又每每被自身禀赋的缺乏,被学生、家庭、同事、单位等重重网络所紧紧束缚着的,个人拼尽了力想要去挣脱去自由创造的尝试。虽然在艰难的人生中这样的尝试终究会失败,但是就算会失败,能够像诺特和姜戈那样,追究着追求自由的感觉,也就够了。

一位笔者十分尊敬的前辈,曾经十分形象地向笔者描述过类似我们这样的人的身心状态。从事创造性工作的人,其实真正需要的不是资源,而是自由,其实连自由也不需要,只需要能够保持着追求自由的感觉。那么在哪里可以找到这样的感觉呢?往往不是在风口浪尖,不是在时代的弄潮儿们呼风唤雨的地方,而是在不同利益,不同的社会资源交叉甚至是冲突的地方,在那里有足够的阴影可以让我们躲藏,也有足够的养分可以让我们生长,有着看似重重限制实际遍布着岔路的宽松生态,让我们这类时时感受到压迫的人们,可以最低限度地维持着追求自由的感觉。就像姜戈和诺特,其实大家都改变不了环境,大多数人都会选择顺从,只有少数人能解放自己,甚至可能只是自己觉得可以解放自己,但是对于艰难的人生来说,能做到如此已然成功了。

生命的亮色,往往是在那一个个清冷的早晨,片刻之间仿佛看透了重重的困境,得到了真理的短暂照耀。诺特定理在去禁闭量子临界点上的运用,是为一例。


· 参考文献 ·


[1] Invariante Variationsprobleme,

Nachr. d. K¨onig. Gesellsch. d. Wiss. zu G¨ottingen, Math-phys. Klasse, 235–257 (1918), E. Noether

[2]Noether’s theorem in Wikipedia, https://en.wikipedia.org/wiki/Noether%27s_theorem

[3] 海森堡模型的谱,到底有多靠谱,孟子杨

https://mp.weixin.qq.com/s/XQJus0EXgGclJ8_Y6lrERA

[4] 寂静春天里的动力学(二),孟子杨

https://mp.weixin.qq.com/s/bYx2gZGEeguZpOYrGNs9Gg

[5] Quantum criticality beyond the Landau-Ginzburg-Wilson paradigm,

T. Senthil, Leon Balents, Subir Sachdev, Ashvin Vishwanath, and Matthew P. A. Fisher, Phys. Rev. B 70, 144407 (2004)

[6] Dynamical signature of fractionalization at a deconfined quantum critical point,

Nvsen Ma, Guang-Yu Sun, Yi-Zhuang You, Cenke Xu, Ashvin Vishwanath, Anders W. Sandvik, and Zi Yang Meng, Phys. Rev. B 98, 174421 (2018) Editors' Suggestion

[7] Quantum criticality with two length scales, H. Shao, W. Guo, and A. W. Sandvik,Science 352, 213 (2016)

[8] Emmy Noether looks at the deconfined quantum critical point,

Nvsen Ma, Yi-Zhuang You, Zi Yang Meng, Phys. Rev. Lett. 122, 175701 (2019)


本文经授权转载自《中科院物理所》微信公众号



往期精彩回顾

1.大型强子对撞机上的实验进展

2.认识黑洞的首个直接“视觉”证据

3.现实中的“降维攻击”导致二维拓扑量子物态 | 文小刚点评

4.物理学的忧伤

5.特别二的物理学——节选自《物理学咬文嚼字》彩色四卷本全集

6.晶体几何系列之三:准晶是高维晶体投影的证明

7.物理学交流的语言

8.建好2年多了,FAST干了啥?

9.一场学习革命

10.周光召先生与开放的中科院理论物理所 | 贺周光召先生从事科学事业65周年


登录查看更多
0

相关内容

动量方法 (Polyak, 1964) 旨在加速学习,特别是处理高曲率、小但一致的梯度,或是带噪声的梯度。 动量算法积累了之前梯度指数级衰减的移动平均,并且继续沿该方向移动。
【WWW2020-UIUC】为新闻故事生成具有代表性的标题
专知会员服务
27+阅读 · 2020年3月18日
Python数据分析:过去、现在和未来,52页ppt
专知会员服务
103+阅读 · 2020年3月9日
阿里巴巴达摩院发布「2020十大科技趋势」
专知会员服务
108+阅读 · 2020年1月2日
【BAAI|2019】用深度学习模拟原子间势,王涵  (附pdf)
专知会员服务
18+阅读 · 2019年11月21日
听完了1000+首古风歌曲,我发现自己也能火
PingWest品玩
4+阅读 · 2019年6月2日
郭台铭的王权之路
君临
3+阅读 · 2019年4月29日
知乎破8万赞回答:那些厉害的人,思维方式比你强在哪儿?
【财富空间】一个人真正的资本是什么
产业智能官
6+阅读 · 2018年3月16日
“我今年36岁了,除了收费啥也不会!”
创业邦杂志
4+阅读 · 2018年1月14日
Self-Attention Graph Pooling
Arxiv
13+阅读 · 2019年6月13日
Arxiv
5+阅读 · 2016年12月29日
VIP会员
相关VIP内容
【WWW2020-UIUC】为新闻故事生成具有代表性的标题
专知会员服务
27+阅读 · 2020年3月18日
Python数据分析:过去、现在和未来,52页ppt
专知会员服务
103+阅读 · 2020年3月9日
阿里巴巴达摩院发布「2020十大科技趋势」
专知会员服务
108+阅读 · 2020年1月2日
【BAAI|2019】用深度学习模拟原子间势,王涵  (附pdf)
专知会员服务
18+阅读 · 2019年11月21日
Top
微信扫码咨询专知VIP会员