ELK跳不过的ES,图解助你掌握内部模型及数据结构

2019 年 1 月 10 日 DBAplus社群


本文我们将会先自上而下,后自底向上地介绍ElasticSearch的底层工作原理,试图回答以下问题:


  • 为什么我的搜索*foo-bar*无法匹配*foo-bar*?

  • 为什么增加更多的文件会压缩索引(Index)?

  • 为什么ElasticSearch占用很多内存?


ElasticSearch版本:ElasticSearch-2.2.0


1、图解ElasticSearch


云上的集群



集群里的盒子


云里面的每个白色正方形的盒子代表一个节点——Node。




节点之间


在一个或者多个节点直接,多个绿色小方块组合在一起形成一个ElasticSearch的索引。



索引里的小方块


在一个索引下,分布在多个节点里的绿色小方块称为分片——Shard。



Shard=Lucene Index


一个ElasticSearch的Shard本质上是一个Lucene Index。



Lucene是一个Full Text搜索库(也有很多其他形式的搜索库),ElasticSearch是建立在Lucene之上的。接下来的故事要说的大部分内容实际上是ElasticSearch如何基于Lucene工作的。


2、图解Lucene


Mini索引——segment


在Lucene里面有很多小的segment,我们可以把它们看成Lucene内部的mini-index。



Segment内部


有着许多数据结构


  • Inverted Index

  • Stored Fields

  • Document Values

  • Cache



最最重要的Inverted Index



Inverted Index主要包括两部分:


  • 一个有序的数据字典Dictionary(包括单词Term和它出现的频率)。

  • 与单词Term对应的Postings(即存在这个单词的文件)。


当我们搜索的时候,首先将搜索的内容分解,然后在字典里找到对应Term,从而查找到与搜索相关的文件内容。



查询“the fury”



自动补全(AutoCompletion-Prefix)


如果想要查找以字母“c”开头的字母,可以简单的通过二分查找(Binary Search)在Inverted Index表中找到例如“choice”、“coming”这样的词(Term)。



昂贵的查找


如果想要查找所有包含“our”字母的单词,那么系统会扫描整个Inverted Index,这是非常昂贵的。



在此种情况下,如果想要做优化,那么我们面对的问题是如何生成合适的Term。


问题的转化



对于以上诸如此类的问题,我们可能会有几种可行的解决方案:


  • * suffix -> xiffus *:如果我们想以后缀作为搜索条件,可以为Term做反向处理。

  • (60.6384, 6.5017) -> u4u8gyykk:对于GEO位置信息,可以将它转换为GEO Hash。

  • 123 -> {1-hundreds, 12-tens, 123}:对于简单的数字,可以为它生成多重形式的Term。


解决拼写错误


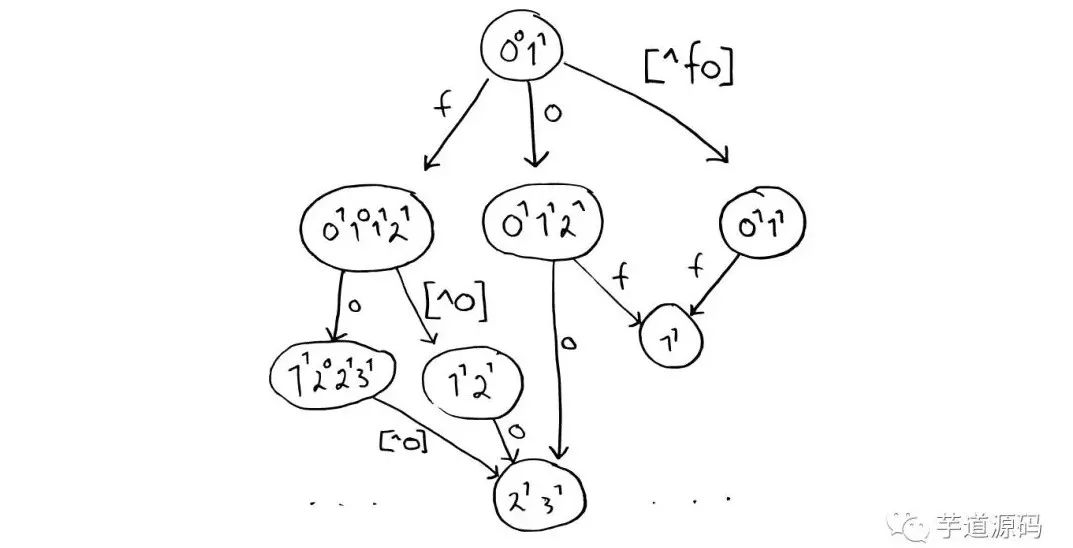
一个Python库:为单词生成了一个包含错误拼写信息的树形状态机,解决拼写错误的问题。



Stored Field字段查找


当我们想要查找包含某个特定标题内容的文件时,Inverted Index就不能很好的解决这个问题,所以Lucene提供了另外一种数据结构Stored Fields来解决这个问题。本质上,Stored Fields是一个简单的键值对key-value。默认情况下,ElasticSearch会存储整个文件的JSON source。



Document Values为了排序,聚合


即使这样,我们发现以上结构仍然无法解决诸如:排序、聚合、facet,因为我们可能会要读取大量不需要的信息。


所以,另一种数据结构解决了此种问题:Document Values。这种结构本质上就是一个列式的存储,它高度优化了具有相同类型的数据的存储结构。



为了提高效率,ElasticSearch可以将索引下某一个Document Value全部读取到内存中进行操作,这大大提升访问速度,但是也同时会消耗掉大量的内存空间。


总之,这些数据结构Inverted Index、Stored Fields、Document Values及其缓存,都在segment内部。


3、搜索发生时


搜索时,Lucene会搜索所有的segment然后将每个segment的搜索结果返回,最后合并呈现给客户。


Lucene的一些特性使得这个过程非常重要:


  • Segments是不可变的(immutable)。

  • Delete?当删除发生时,Lucene做的只是将其标志位置删除,但是文件还是会在它原来的地方,不会发生改变。

  • Update? 所以对于更新来说,本质上它做的工作是:先删除,然后重新索引(Re-index)。

  • 随处可见的压缩:Lucene非常擅长压缩数据,基本上所有教科书上的压缩方式,都能在Lucene中找到。

  • 缓存所有的所有:Lucene也会将所有的信息做缓存,这大大提高了它的查询效率。


4、缓存的故事


当ElasticSearch索引一个文件的时候,会为文件建立相应的缓存,并且会定期(每秒)刷新这些数据,然后这些文件就可以被搜索到。



随着时间的增加,我们会有很多segments:



所以ElasticSearch会将这些segment合并,在这个过程中,segment会最终被删除掉:



这就是为什么增加文件可能会使索引所占空间变小,它会引起merge,从而可能会有更多的压缩。


举个例子


有两个segment将会merge:



这两个segment最终会被删除,然后合并成一个新的segment:



这时这个新的segment在缓存中处于cold状态,但是大多数segment仍然保持不变,处于warm状态。


以上场景经常在Lucene Index内部发生的。



5、在Shard中搜索


ElasticSearch从Shard中搜索的过程与Lucene Segment中搜索的过程类似。



与在Lucene Segment中搜索不同的是,Shard可能是分布在不同Node上的,所以在搜索与返回结果时,所有的信息都会通过网络传输。


需要注意的是:1次搜索查找2个Shard=2次分别搜索Shard。



对于日志文件的处理


当我们想搜索特定日期产生的日志时,通过根据时间戳对日志文件进行分块与索引,会极大提高搜索效率。


当我们想要删除旧的数据时也非常方便,只需删除老的索引即可。



在上种情况下,每个Index有两个shards。


6、如何Scale



Shard不会进行更进一步的拆分,但是Shard可能会被转移到不同节点上:



所以,如果当集群节点压力增长到一定的程度,我们可能会考虑增加新的节点,这就会要求我们对所有数据进行重新索引,这是我们不太希望看到的,所以我们需要在规划的时候就考虑清楚,如何去平衡足够多的节点与不足节点之间的关系。


节点分配与Shard优化


  • 为更重要的数据索引节点,分配性能更好的机器。

  • 确保每个Shard都有副本信息replica。



路由Routing


每个节点,每个都存留一份路由表,所以当请求到任何一个节点时,ElasticSearch都有能力将请求转发到期望节点的Shard进一步处理。



7、一个真实的请求


Query



Query有一个类型filtered,以及一个multi_match的查询。


Aggregation



根据作者进行聚合,得到top10的hits的top10作者的信息。


请求分发


这个请求可能被分发到集群里的任意一个节点。



上帝节点



这时这个节点就成为当前请求的协调者(Coordinator),它决定:


  • 根据索引信息,判断请求会被路由到哪个核心节点。

  • 以及哪个副本是可用的。

  • 等等。


路由



在真实搜索之前


ElasticSearch会将Query转换成Lucene Query:



然后在所有的segment中执行计算:



对于Filter条件本身也会有缓存:



但Queries不会被缓存,所以如果相同的Query重复执行,应用程序自己需要做缓存:



所以,


  • Filters可以在任何时候使用;

  • Query只有在需要score的时候才使用。


返回


搜索结束之后,结果会沿着下行的路径向上逐层返回。







以上是我关于ElasticSearch的底层工作原理的介绍和分享,欢迎留言交流!

参考


  • SlideShare: Elasticsearch From the Bottom Up

  • Youtube: Elasticsearch from the bottom up

  • Wiki: Document-term matrix

  • Wiki: Search engine indexing

  • Skip list

  • Standford Edu: Faster postings list intersection via skip pointers

  • StackOverflow: how an search index works when querying many words?

  • StackOverflow: how does lucene calculate intersection of documents so fast?

  • Lucene and its magical indexes

  • misspellings 2.0c: A tool to detect misspellings


作者:芋道源码

来源:芋道源码订阅号(ID:YunaiV)

dbaplus社群欢迎广大技术人员投稿,投稿邮箱:editor@dbaplus.cn



近期热文

滴滴实时计算发展之路及平台架构实践

不改一行代码定位线上性能问题,可能吗?

大牛是怎么思考设计MySQL优化方案的?

Redis存储心里没底?你大概漏了这些数据结构原理

NoSQL没落了?NewSQL有机会挑大梁吗?


登录查看更多
76

相关内容

【经典书】数据结构与算法C++,第二版,738页pdf
专知会员服务
170+阅读 · 2020年3月27日
【电子书】大数据挖掘,Mining of Massive Datasets,附513页PDF
专知会员服务
105+阅读 · 2020年3月22日
【图神经网络(GNN)结构化数据分析】
专知会员服务
117+阅读 · 2020年3月22日
Sklearn 与 TensorFlow 机器学习实用指南,385页pdf
专知会员服务
131+阅读 · 2020年3月15日
【经典书】Python数据数据分析第二版,541页pdf
专知会员服务
197+阅读 · 2020年3月12日
【新书】Python中的经典计算机科学问题,224页PDF
专知会员服务
57+阅读 · 2019年12月31日
知识图谱本体结构构建论文合集
专知会员服务
110+阅读 · 2019年10月9日
使用 Canal 实现数据异构
性能与架构
20+阅读 · 2019年3月4日
FastText的内部机制
黑龙江大学自然语言处理实验室
5+阅读 · 2018年7月25日
深度学习面试100题(第31-35题)
七月在线实验室
8+阅读 · 2018年7月16日
比xgboost强大的LightGBM:调参指南(带贝叶斯优化代码)
数据挖掘入门与实战
23+阅读 · 2018年4月9日
谷歌Jeff Dean团队发文,探讨「学习模型」如何替代传统索引结构
北京思腾合力科技有限公司
5+阅读 · 2017年12月15日
一文解读聚类中的两种流行算法
量子位
6+阅读 · 2017年11月20日
RNN | RNN实践指南(3)
KingsGarden
7+阅读 · 2017年6月5日
Arxiv
4+阅读 · 2018年11月6日
Knowledge Based Machine Reading Comprehension
Arxiv
4+阅读 · 2018年9月12日
VIP会员
相关VIP内容
【经典书】数据结构与算法C++,第二版,738页pdf
专知会员服务
170+阅读 · 2020年3月27日
【电子书】大数据挖掘,Mining of Massive Datasets,附513页PDF
专知会员服务
105+阅读 · 2020年3月22日
【图神经网络(GNN)结构化数据分析】
专知会员服务
117+阅读 · 2020年3月22日
Sklearn 与 TensorFlow 机器学习实用指南,385页pdf
专知会员服务
131+阅读 · 2020年3月15日
【经典书】Python数据数据分析第二版,541页pdf
专知会员服务
197+阅读 · 2020年3月12日
【新书】Python中的经典计算机科学问题,224页PDF
专知会员服务
57+阅读 · 2019年12月31日
知识图谱本体结构构建论文合集
专知会员服务
110+阅读 · 2019年10月9日
相关资讯
使用 Canal 实现数据异构
性能与架构
20+阅读 · 2019年3月4日
FastText的内部机制
黑龙江大学自然语言处理实验室
5+阅读 · 2018年7月25日
深度学习面试100题(第31-35题)
七月在线实验室
8+阅读 · 2018年7月16日
比xgboost强大的LightGBM:调参指南(带贝叶斯优化代码)
数据挖掘入门与实战
23+阅读 · 2018年4月9日
谷歌Jeff Dean团队发文,探讨「学习模型」如何替代传统索引结构
北京思腾合力科技有限公司
5+阅读 · 2017年12月15日
一文解读聚类中的两种流行算法
量子位
6+阅读 · 2017年11月20日
RNN | RNN实践指南(3)
KingsGarden
7+阅读 · 2017年6月5日
Top
微信扫码咨询专知VIP会员