为什么月球表面是真空的?| No.85

2017 年 12 月 15 日 中科院物理所 Frions



自从人类第一次登上月球

就停止了对月球的想象

满目荒凉、毫无生气

没有水 没有大气 没有生命

为什么同样有引力

月球却吸引不了大气

表面是真空的呢 


1
Q

为什么人不会飞?

By 灰麒

A

与其回答为什么人不会飞,不如回答鸟为什么会飞。鸟类的身体结构为飞翔提供了可能性:宽大的翅膀覆盖了羽毛,保证了鸟类可以通过扇动翅膀获得足够的升力;中空的骨骼减少了鸟类自身的重量,使飞行更加容易;鸟类强大的胸肌(鸡胸吃起来很糙对不对?)和高效的呼吸循环系统为飞行提供了强大的动力;相比上半身的强壮,鸟类的下肢大多很纤细,这进一步减轻了鸟类自身的体重。这种种因素才保证了鸟类可以飞起来。对比人类自身的生理条件(特别地:比如你的大粗腿),是不是明白了为什么人类不会飞?

2
Q

水、雪、冰之间的关系是怎样的?雪花是怎么形成的?湖水结冰的原理是怎样的?

By 紫依未央

A  

首先,水、冰、雪是水的三种不同的形态。它们都是由很小很小的水分子(大概是头发直径的百万分之一)凝聚在一起形成的,它们的区别在于:水分子之间的间距和水分子堆积的取向。雪花一般形成于过冷水蒸气中。我们都知道天空中的云是凝聚在一起的小水滴,那么当云遇到过冷(比如说低于零度)的空气(这些冷空气在我国冬季一般来自于北极、俄罗斯和蒙古的冷高压)的时候,蒸汽就会在空气中的小的凝结核上形成冰晶结构,同时这个过程又促进了小水滴变成冷的水蒸汽,从而形成大量的雪花。当凝结形成的雪花到达一定重量就会在引力作用下下落,落到地面就是我们所说的雪花。雪花为什么经常是六角的呢,这是因为水分子是由两个氢原子和一个氧原子构成的,形成雪花的时候他们主要靠氢键凝聚在一起,相对最稳定的结构就是六个水分子用氢键固定在一起。湖水结冰也是因为当气温低于水的冰点的时候,由于向空气传热,表面的水分子会倾向于凝聚在一起形成小的冰晶结构,很多这样的冰晶结构凝结在一起就是我们看到的结冰的水面了。


3
Q

验钞机发出的是紫光,但此光并不是紫外线,那么验钞机发出的究竟是什么光? 

A

相信这里的验钞机一定是这一种,能够明显地看到紫光。

首先我们强调,验钞机确实发出了紫外光,它辐射的光的能量主要集中在紫外波段(波长约了365nm。我们在这里将其验钞的原理简单说一下。我国的人民币采用专用纸张,该纸张在紫外线照射下是不会有荧光反应的。而市面上能买到的纸张都会有荧光反应,在紫外线的照射下发出蓝光。因此直接测量纸张有无荧光反应即可辨别纸币的真伪。另外,纸币上也用特定的荧光黑水写了一些标记,这些标记在紫外光照射下也会显现出来,帮助我们用肉眼识别真伪。

紫外线是在可见波段之外的,那我们又是怎么看见紫光的呢?!

其实对于光源来说,其发出的光都不会只发出某一个波长的光,其发出的光的光谱都会有一定的展宽。而验钞机光源发出的紫外光,正好"展宽"到了紫色可见光波段。当然我们可以通过技术手段在"压缩"展宽,去消除紫色可见光,不过那样的代价会比较高,我们也就得不偿失了。再说有紫光,我们也能更好地去判断验钞机是不是在正常工作呀。就对它的存在宽容些吧。


4
Q

月球能够用万有引力吸引它地面上的尘土,那么为什么它不能吸引空气分子,反而是真空呢?

By  LOVE 梦丽

A

因为月球质量太小了,产生不了足够将气体分子束缚在月球周围的引力。所以月球上几乎没有空气,那为什么它能束缚表面的尘土呢?因为尘土的运动速度远远小于气体分子。当然,行星表面能否形成大气层不仅与行星的质量有关,跟行星表面的温度也有很大关系,我们都知道气体的速度分布是遵守麦克斯韦分布,有相当一部分气体分子的运动速度非常快,而且相对分子质量越小的气体高速的分子越多,就越容易逃逸,所以地球大气层中氢气和氦气量非常少。当气体接近行星表层的时候频繁的碰撞使得分子难以逃逸,但是在更高的地方,分子的碰撞很少,速度高于行星逃逸速度(对于月球大概是2.5km/s,很明显很少有尘土会到达这个速度)。而逃逸速度主要跟行星的质量有关,对于地球这个速度是11.2km/s。那为什么一些其他的质量跟月球接近的卫星(比如说土卫六,质量大约为月球的两倍)表面也有大气层呢,主要是因为土卫六距离太阳的距离更远,表面温度更低,表面的气体分子更不容易逃逸也更不容易被太阳风吹走。


5
Q

为什么冰块只有一小部分在海面上,大部分在海面下?

By YZW

A

人们常用冰山一角来形容所暴露出来的只是事物的一小部分,那么为什么冰块只有一小部分在海面上,大部分在海面下呢?

这与冰和水的密度有关,我们首先两种考虑极端情况。假设冰和水的密度相同,那么当冰块全部没入水下时冰所受的浮力与重力平衡,这种情况下,冰全部隐藏在液面以下;由于冰的密度比水小,并才会漂浮在水面上,如果冰的密度为零,那么冰就会完全浮在水面上了。

下面对冰浮在水面上的情况进行计算,如图,假设冰在水面下的体积是V1,冰总体积为V0,冰和水的密度分别为ρ冰和ρ水,有:

一般情况下,冰的密度是水密度的0.9倍,因此冰块隐藏在水下的体积大约是总体积的90%,这也是冰山一角的物理原因。


6
Q

普朗克常量是怎么得出的?

By 莱布尼茨熊

A

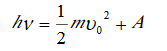
1900年普朗克研究黑体辐射问题时,因需引入了普朗克常量。普朗克假设光场能量是分立的,每份能量的大小是普朗克常量和光频率的乘积,在这个假设下,普朗克一举解决了“紫外灾难”问题。现在,只要和量子有关的场合,都可以看到普朗克常量,它已经成为最基本的物理量之一。普朗克常量具体数值可以通过光电效应实验测得,光电效应中的能量关系如下:

公式左侧是普朗克常量和频率的乘积也就是光子能量,右侧第一项是电子出射动能,A是金属逸出功。可以看出只要找到电子出射动能关于入射光频率变化的斜率就可以测得普朗克常量的数值。现在公认的普朗克常量数值是h=6.6260755(40)×10^-34J·s

7
Q

灯泡中钨丝发光是因为电子能级提升后下降释放光子还是因为电子受热碰撞释放光子?

By BoundinAbyss

A

生活中白炽灯的工作原理是:将灯丝通电加热到白炽状态,利用热辐射发出可见光。热辐射是指物体由于具有温度而辐射电磁波的现象,一切温度高于绝对零度的物体都能产生热辐射。根据热辐射定律,温度愈高,辐射出的总能量就愈大,短波成分也愈多,温度较低时,主要以不可见的红外光进行辐射,当温度为300℃时热辐射中最强的波长在红外区。当物体的温度在500℃以上至800℃时,热辐射中最强的波长成分在可见光区。因此可以通过调节灯丝的温度来控制辐射波长范围。

根据量子力学理论,一般认为热辐射的机制是辐射跃迁。考虑最简单的原子体系,当其处于热平衡状态时,从玻尔兹曼分布可以得到高能级上的电子数密度会小于低能级上的电子数密度,当能级差较大时,绝大多数粒子处于低能级。升温能使原子中的部分电子吸收能量,从低能级跃迁到高能级,不满足玻尔兹曼分布,不处于热平衡态。当电子从高能级跃迁到低能级时发生辐射跃迁,就会释放光子,以电磁波的形式传播,并且在传播过程中不需要介质。希望能回答你的问题。


8
Q

「大珠小珠落玉盘」真的可以有不同的音调吗?

A

声音的三个主要的主观属性包括响度、音调、音色,其中音调主要取决于声音的频率,物体振动的越快,频率越高,发出声音的音调越高;振动的越慢,频率越低,音调越低。“嘈嘈切切错杂弹,大珠小珠落玉盘”。这里所说的“嘈嘈”和“切切”主要描述了声音的频率。下面就是推导(数学)了。

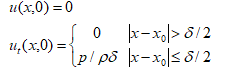
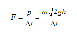
珠子落到玉盘上,给玉盘一个瞬间的冲击力,玉盘振动发声。假设珠子从同一高度h落下,其到达圆盘时的动量为:

假设珠子与玉盘碰撞后速度为零,小球施加给玉盘的冲量为P,根据冲量定律,得到冲击力的大小为:

将上述问题简化为一维弦振动问题,如图,冲力F作用在x=x0处使玉盘发生振动,冲力作用使的盘子在x0处在开始振动时有一个瞬间的速度,大小为:ρ为玉盘一维线密度。

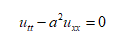
波动方程写为:

假设玉盘被固定在环上,边界条件为:

在冲力作用下的初始条件为:

利用分离变量法解得:

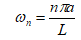
分析以上结果,振动的本征频率为:

只与波速a和玉盘尺寸L有关,而这些因素只与玉盘的材质有关,在讨论过程中认为是不变的,与小珠施加的冲力无关,即小珠落到玉盘上引起玉盘发出的声音并不会发生音调的改变。然后我们发现冲量P影响的其实是最前面的系数,体现的应该是振动的振幅,即在此过程中由于珠子的质量不同导致从同一高度落下冲量不同,能使发声声音的响度有所不同。

最后说一下个人理解,从数学上讲,我们可以把这个振动问题看成是一个三维波动方程的求解,本来施加外力会得到非齐次的波动方程,但由于施加的外力是瞬时力,我们可以将其引起的变化写到初始条件里,简化为三维齐次波动方程的求解,进而简化到一维。然后考虑边界条件,在讨论中我们采用最简单的第一类齐次边界条件,但其实不管我们取那个边界条件,都不会影响本征频率的形式,只会使求解过程中的积分常数有些不同,最终影响的是振动的相位。最后,本次讨论未考虑阻尼,但如果考虑阻尼振动,其欠阻尼振动下振动频率也只与玉盘的固有频率和阻尼系数有关,而两者都只与玉盘的材质有关,即同一玉盘在不同珠子的作用下发声不会出现音调的改变,只有响度的变化。

但如果我们换个角度来想想,我们会发现更有趣的事情!如果我们假设发声的物体不是玉盘而是珠子,根据以上分析我们得到振动的频率与该物体波速和尺寸有关,即如果我们认为发声的是小珠子,那么大小尺寸不同的小珠在振动时的本征频率确有不同,的确会发出音调不同的声音。看来白居易先生是故意为难我们这些学物理的后人哪,一句诗里竟然蕴含了如此深刻的物理!



本期答题团队:

物理所 螳吉呵呵、勿用、可爱的你、望江楼




写下您的问题,下周五同一时间哦~

↓识别下方二维码快速提问↓



上期也精彩

为什么踮起脚尖旋转起来更轻松?| No.84

编辑:Fi、J.C.


近期热门文章Top10

↓ 点击标题即可查看 ↓

1. 美哭了!原来诺贝尔的获奖证书,每张都是一幅画!

2. 45组超炫数学动图!让你看的目不转睛!目不暇接!

3. 第一个也是唯一一个葬在月亮的人

4. 换头手术真的成功了吗?

5. 9个让你夜不能寐的思想实验

6. 十大不可思议的自然奇观,绝大多数人恐怕一个都没见过!

7. 大吉大利,今晚吃……好晕!这鸡有毒!

8. 别去赌场了,你永远赢不了“凯利公式”

9. 这是一件占据你三分之一人生的大事,然而大多数人却对其背后的故事一无所知

10. 作死小能手再开脑洞:如果一个硬币大小的黑洞在你面前,会发生什么现象?

点此查看以往全部热门文章


登录查看更多
0

相关内容

专知会员服务
45+阅读 · 2020年3月6日
2019必读的十大深度强化学习论文
专知会员服务
59+阅读 · 2020年1月16日
深度解读 | 美国打压华为这事水很深——什么是华为?(1)
混沌研习社广州分社
21+阅读 · 2019年6月27日
为什么大家都不戳破深度学习的本质?
36大数据
4+阅读 · 2017年12月7日
谈谈用户画像
caoz的梦呓
10+阅读 · 2017年8月17日
人工神经网络是否模拟了人类大脑?
数说工作室
10+阅读 · 2017年7月19日
嘿,这是本应属于你的“红包”!
腾讯
3+阅读 · 2017年7月13日
Arxiv
5+阅读 · 2019年10月31日
Question Generation by Transformers
Arxiv
5+阅读 · 2019年9月14日
Universal Transformers
Arxiv
5+阅读 · 2019年3月5日
Arxiv
7+阅读 · 2018年3月19日
VIP会员
相关资讯
深度解读 | 美国打压华为这事水很深——什么是华为?(1)
混沌研习社广州分社
21+阅读 · 2019年6月27日
为什么大家都不戳破深度学习的本质?
36大数据
4+阅读 · 2017年12月7日
谈谈用户画像
caoz的梦呓
10+阅读 · 2017年8月17日
人工神经网络是否模拟了人类大脑?
数说工作室
10+阅读 · 2017年7月19日
嘿,这是本应属于你的“红包”!
腾讯
3+阅读 · 2017年7月13日
Top
微信扫码咨询专知VIP会员