【连续和可导性】图解普林斯顿微积分04

2017 年 9 月 21 日 遇见数学 遇见数学

第5 章连续性和可导性

来看看函数的两种类型的光滑性: 连续性和可导性.

5.1 连续性

比如对于  y= 1 x  这样的函数在 x=0 处有一条垂直渐近线, 把函数图像分成了两部分.

5.1.1 在一点处连续

5.1.2 在一个区间上连续

清楚了函数在一个单点上连续的定义, 再看函数在区间 (a,b) 上的每一点都连续, 那么它在该区间上连续.

对于形如 [a, b] 的区间, 这里对于点 x=a 和 b 需要函数的单侧连续性.

5.1.3 连续函数的一些例子

很多的常见函数都是连续的. 例如, 每一个多项式都是连续的(证明见书)

5.1.4 介值定理

知道一个函数是连续的会有很多好处. 我们将看看其中两个好处. 第一个介值定理(intermediate value theorem)就是用到了连续函数在两点之间的连续性.

书中给出的介值定理其实是零点定理, 如下所示:


5.1.6 连续函数的最大值和最小值

数是连续的所带来的第二个好处给出了最大值和最小值定理:

5.2 可导性

连续性意味着函数光滑, 另一种表示光滑的特性就是可导性, 这实质上就表示函数有导数. 发展微积分的最初灵感之一来自试图去理解运动物体的速度、距离和时间的关系.

5.2.1 平均速率(Average speed)

位移= 终点位置 - 初始位置.

速度可以是负的, 而速率必定是非负的.

5.2.3 瞬时速度(Instantaneous velocity)

5.2.4 速度的图像阐释(The graphical interpretation of velocity)

当 t+h 趋于 t 时, Q 点就越来越接近点 P 点. 由于瞬时速度是割线在 h 趋于 0 时的极限. 于是瞬时速度就等于通过点 P 的切线的斜率.

5.2.5 切线(Tangent lines)

首先需要注意的一点, 可能在一个图像上给定的一点没有切线. 例如, 考虑 y = |x| 的图像, 在 (0,0) 处没有切线, 因为原点处是尖点, 不能在那里同时顾及两边的图像.

如果通过(x, f (x)) 的切线存在, 你又该如何找到它?


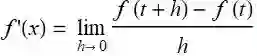
5.2.6 导函数

对f 关于变量x 求导得到函数 f' , 也即是

如果对于某个特定的 x, 极限不存在, 那么x 的值就没有在导函数 f' 的定义域里, 即 f 在 x 点不可导.

5.2.7 作为极限比的导数

在导函数 f' (x) 的公式中, f (x + h) - f(x) 其实为 y 的增量.

该公式的一个阐释是, x 中的一个小的变化产生了大约 f' (x) 倍的 y 中的变化. 用 dx 表示x 中的十分微小的变化". 对y 也有类似的表示方法, 可以用一种不同的且更方便的方法来写导数:用  dx dy 来代替 f'(x).


5.2.9 二阶导数和更高阶导数

函数 f 取其导数得到一个新的函数 f', 实际上可以采用这个新的函数, 再次求导. 最终得到导数的导数, 这被称为二阶导, 写作 f'', 可以用  d 2 y dx 2 来代替.

5.2.10 何时导数不存在

右导数和左导数的思想定义分别为:

跟在极限的情况一样, 如果左导数和右导数存在且相等, 那么实际的导数存在且有相同的值. 同时, 如果导数存在, 那么左右导数都存在且都等于导数值.

函数 |x| 就是在其定义域内不是处处可导的连续函数, 不过除了 x=0 点外函数可导. 也存在着连续但处处不可导的函数, 如下面所示的魏尔斯特拉斯函数.

5.2.11 可导性和连续性(Differentiability and Continuity)

可导函数必连续. 不过从上面 |x| 例子, 就可以知道连续函数并不总是可导的!

(本章完)



这里 [遇见数学] 设计整理了一张A4大小PDF, 可联系小编"公理"(WeChat ID: meetmath_axiom) 获取. 

上面高清大图电子海报, 请扫描 [遇见数学] 助手: 公理二维码, 联系获取. 

[遇见数学] 下期预告

9 月 23 日

抗日战争时期的新中国数学会


在艰难的抗日战争时期, 中国数学界通过自身的努力, 使中国数学继续向世界先进水平前行

......

「予人玫瑰, 手留余香」

您能帮助[遇见数学]更快发展吗?感谢支持! 

登录查看更多
1

相关内容

二阶导数,是原函数导数的导数,将原函数进行二次求导。一般的,函数y=f(x)的导数y'=f'(x)仍然是x的函数,则y'=f'(x)的导数叫做函数y=f(x)的二阶导数。
机器学习速查手册,135页pdf
专知会员服务
345+阅读 · 2020年3月15日
专知会员服务
63+阅读 · 2020年3月4日
普林斯顿大学经典书《在线凸优化导论》,178页pdf
专知会员服务
185+阅读 · 2020年2月3日
一文读懂线性回归、岭回归和Lasso回归
CSDN
34+阅读 · 2019年10月13日
特征方程的物理意义
算法与数学之美
6+阅读 · 2019年5月13日
机器学习中的最优化算法总结
人工智能前沿讲习班
22+阅读 · 2019年3月22日
从零开始深度学习:dropout与正则化
数萃大数据
7+阅读 · 2018年7月22日
条件概率和贝叶斯公式 - 图解概率 03
遇见数学
10+阅读 · 2018年6月5日
图解机器学习
深度学习世界
3+阅读 · 2017年11月24日
图解高等数学|线性代数
遇见数学
39+阅读 · 2017年10月18日
Bivariate Beta LSTM
Arxiv
6+阅读 · 2019年10月7日
Arxiv
6+阅读 · 2018年11月29日
Implicit Maximum Likelihood Estimation
Arxiv
7+阅读 · 2018年9月24日
Arxiv
4+阅读 · 2018年4月10日
Arxiv
6+阅读 · 2018年4月4日
VIP会员
相关资讯
一文读懂线性回归、岭回归和Lasso回归
CSDN
34+阅读 · 2019年10月13日
特征方程的物理意义
算法与数学之美
6+阅读 · 2019年5月13日
机器学习中的最优化算法总结
人工智能前沿讲习班
22+阅读 · 2019年3月22日
从零开始深度学习:dropout与正则化
数萃大数据
7+阅读 · 2018年7月22日
条件概率和贝叶斯公式 - 图解概率 03
遇见数学
10+阅读 · 2018年6月5日
图解机器学习
深度学习世界
3+阅读 · 2017年11月24日
图解高等数学|线性代数
遇见数学
39+阅读 · 2017年10月18日
相关论文
Bivariate Beta LSTM
Arxiv
6+阅读 · 2019年10月7日
Arxiv
6+阅读 · 2018年11月29日
Implicit Maximum Likelihood Estimation
Arxiv
7+阅读 · 2018年9月24日
Arxiv
4+阅读 · 2018年4月10日
Arxiv
6+阅读 · 2018年4月4日
Top
微信扫码咨询专知VIP会员