BAT机器学习面试1000题(636~640题)

2018 年 11 月 22 日 七月在线实验室

点击上方     蓝字关注七月在线实验室




BAT机器学习面试1000题(636~640题)


636题

逻辑回归的以下模型:P(y = 1 | x,w)= g(w0 + w1x)其中g(z)是逻辑函数。在上述等式中,通过改变参数w可以得到的P(y = 1 | x; w)被视为x的函数。在上面的问题中,你认为哪个函数会产生(0,1)之间的p?


A、逻辑函数


B、对数似然函数


C、两者的复合函数


D、都不会



点击下方空白区域查看答案

正确答案是:A


解析:

对于从-∞到+∞的实数范围内的x的值。逻辑函数将给出(0,1)的输出。




637题

下面是三个散点图(A,B,C,从左到右)和和手绘的逻辑回归决策边界。



根据可视化后的结果,能得出什么结论?


1.与第二和第三图相比,第一幅图中的训练误差最大

2.该回归问题的最佳模型是最后(第三个)图,因为它具有最小的训练误差(零)

3.第二个模型比第一个和第三个更强,它在不可见数据中表现最好

4.与第一种和第二种相比,第三种模型过度拟合了

5.所有的模型执行起来都一样,因为没有看到测试数据。


A、1和3


B、1和3


C、1,3和4


D、5



点击下方空白区域查看答案

正确答案是:C


解析:

图中趋势像是自变量X的二次趋势。更高次方的多项式(右图)可能对训练中的数据群具有超高的精度,但预计在测试数据集上将会严重失败。但是在左图中可以测试最大错误值,因为适合训练数据




638题

下面是三个散点图(A,B,C,从左到右)和和手绘的逻辑回归决策边界。

假设上述决策边界是针对不同的正则化(regularization)值生成的。那么其中哪一个显示最大正则化?


A、A


B、B


C、C


D、都具有相同的正则化



点击下方空白区域查看答案

正确答案是:A


解析:

因为正则化意味着更多的罚值和图A所示的较简单的决策界限。





639题

下图显示了三个逻辑回归模型的AUC-ROC曲线。不同的颜色表示不同超参数值的曲线。以下哪个AUC-ROC会给出最佳结果?

A、黄色


B、粉红色


C、黑色


D、都相同



点击下方空白区域查看答案

正确答案是:A


解析:

最佳分类是曲线下区域面积最大者,而黄线在曲线下面积最大。





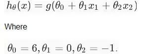
640题

假设你在测试逻辑回归分类器,设函数H为



下图中的哪一个代表上述分类器给出的决策边界?


A

B

C


点击下方空白区域查看答案

正确答案是: B


解析:

选项B正确。虽然我们的式子由选项A和选项B所示的y = g(-6 + x2)表示,但是选项B才是正确的答案,因为当将x2 = 6的值放在等式中时,要使y = g(0)就意味着y = 0.5将在线上,如果你将x2的值增加到大于6,你会得到负值,所以输出将是区域y = 0。




题目来源:七月在线官网(https://www.julyedu.com/)——面试题库——笔试练习——机器学习




今日学习推荐

【Python基础入门 第三期】

带你零基础快速入门Python

四大应用场景

五大课程特色

九大项目实战

提高实战技能   巩固学习效果



咨询/报名/组团可添加微信客服

julyedukefu_02

👇

长按识别二维码


 更多资讯

 请戳一戳

   往期推荐

32岁程序员面试,因年龄太大被拒!网友:是领导能力差怕被超越

GitHub上25个最受欢迎的开源机器学习库

干货 | 手把手教你数据不足时如何做深度学习NLP

统治世界的十大算法,你都了解多少?

CNN与RNN中文文本分类-基于TensorFlow 实现

拼团,咨询,查看课程,请点击 “ 阅读原文 

↓↓↓ 
登录查看更多
1

相关内容

逻辑回归(也称“对数几率回归”)(英语:Logistic regression 或logit regression),即逻辑模型(英语:Logit model,也译作“评定模型”、“分类评定模型”)是离散选择法模型之一,属于多重变量分析范畴,是社会学、生物统计学、临床、数量心理学、计量经济学、市场营销等统计实证分析的常用方法。在统计学中,logistic模型(或logit模型)用于对存在的某个类或事件的概率建模,例如通过/失败、赢/输、活着/死了或健康/生病。这可以扩展到建模若干类事件,如确定一个图像是否包含猫、狗、狮子等。图像中检测到的每个物体的概率都在0到1之间,其和为1。
【2020新书】监督机器学习,156页pdf,剑桥大学出版社
专知会员服务
154+阅读 · 2020年6月27日
【伯克利】再思考 Transformer中的Batch Normalization
专知会员服务
41+阅读 · 2020年3月21日
机器学习速查手册,135页pdf
专知会员服务
345+阅读 · 2020年3月15日
【经典书】精通机器学习特征工程,中文版,178页pdf
专知会员服务
360+阅读 · 2020年2月15日
谷歌机器学习速成课程中文版pdf
专知会员服务
147+阅读 · 2019年12月4日
【机器学习课程】Google机器学习速成课程
专知会员服务
170+阅读 · 2019年12月2日
BAT机器学习面试1000题(721~725题)
七月在线实验室
11+阅读 · 2018年12月18日
BAT机器学习面试1000题(716~720题)
七月在线实验室
19+阅读 · 2018年12月17日
BAT机器学习面试题1000题(376~380题)
七月在线实验室
9+阅读 · 2018年8月27日
BAT机器学习面试题1000题(331~335题)
七月在线实验室
12+阅读 · 2018年8月13日
BAT机器学习面试题及解析(266-270题)
七月在线实验室
6+阅读 · 2017年12月13日
BAT题库 | 机器学习面试1000题系列(第196~200题)
七月在线实验室
17+阅读 · 2017年11月16日
BAT题库 | 机器学习面试1000题系列(第191~195题)
七月在线实验室
6+阅读 · 2017年11月15日
BAT机器学习面试1000题系列(第116~120题)
七月在线实验室
16+阅读 · 2017年10月24日
BAT机器学习面试1000题系列(第76~80题)
七月在线实验室
5+阅读 · 2017年10月13日
BAT机器学习面试1000题系列(第51~55题)
七月在线实验室
10+阅读 · 2017年10月8日
Reasoning on Knowledge Graphs with Debate Dynamics
Arxiv
14+阅读 · 2020年1月2日
Arxiv
15+阅读 · 2019年3月16日
Arxiv
9+阅读 · 2018年3月23日
Arxiv
7+阅读 · 2018年3月22日
Arxiv
4+阅读 · 2018年3月19日
VIP会员
相关VIP内容
【2020新书】监督机器学习,156页pdf,剑桥大学出版社
专知会员服务
154+阅读 · 2020年6月27日
【伯克利】再思考 Transformer中的Batch Normalization
专知会员服务
41+阅读 · 2020年3月21日
机器学习速查手册,135页pdf
专知会员服务
345+阅读 · 2020年3月15日
【经典书】精通机器学习特征工程,中文版,178页pdf
专知会员服务
360+阅读 · 2020年2月15日
谷歌机器学习速成课程中文版pdf
专知会员服务
147+阅读 · 2019年12月4日
【机器学习课程】Google机器学习速成课程
专知会员服务
170+阅读 · 2019年12月2日
相关资讯
BAT机器学习面试1000题(721~725题)
七月在线实验室
11+阅读 · 2018年12月18日
BAT机器学习面试1000题(716~720题)
七月在线实验室
19+阅读 · 2018年12月17日
BAT机器学习面试题1000题(376~380题)
七月在线实验室
9+阅读 · 2018年8月27日
BAT机器学习面试题1000题(331~335题)
七月在线实验室
12+阅读 · 2018年8月13日
BAT机器学习面试题及解析(266-270题)
七月在线实验室
6+阅读 · 2017年12月13日
BAT题库 | 机器学习面试1000题系列(第196~200题)
七月在线实验室
17+阅读 · 2017年11月16日
BAT题库 | 机器学习面试1000题系列(第191~195题)
七月在线实验室
6+阅读 · 2017年11月15日
BAT机器学习面试1000题系列(第116~120题)
七月在线实验室
16+阅读 · 2017年10月24日
BAT机器学习面试1000题系列(第76~80题)
七月在线实验室
5+阅读 · 2017年10月13日
BAT机器学习面试1000题系列(第51~55题)
七月在线实验室
10+阅读 · 2017年10月8日
Top
微信扫码咨询专知VIP会员