白话异常检测算法Isolation Forest

2018 年 9 月 28 日 凡人机器学习

点击蓝字关注这个神奇的公众号~


前言


好久没讲算法了,今天分享一个异常点检测算法Isolation Forest。之前也是没听说过这个算法,中文名叫孤立森林,听客户讲了就顺便查了下这个算法的论文,感觉还是非常有用滴。

论文地址:http://cs.nju.edu.cn/zhouzh/zhouzh.files/publication/icdm08b.pdf


异常检测的概念


首先聊下什么是异常检测,异常检测就是发现一堆数据中的异常点。可以应用到很多领域,比如:

  • 噪声数据的排查

  • 新的天体的发现

  • 异常的网络攻击的发现

  • 异常的信用卡购物记录的发现


异常点在数据分析领域非常有用途,目前常用的异常点检测有以下几种:

  1. 基于距离的异常检测:遍历所有的数据点之间的距离,与大部分数据的距离都比较远的点,就是异常点。这么算的结果比较准,但是基于距离的计算复杂度高,计算开销大。

  2. 基于密度的异常点检测:基于密度也比较好理解,就是normal数据一定是处于密度集中的区域,anormal数据一定是在相对稀疏的领域。同样有计算开销的问题,密度本质上也是一种距离计算。

  3. Isolation Forest算法,本质上是一种平面切分的理念,计算成本比较小,下面我们详细介绍下。


Isolation Forest


理解它概念可能需要一些空间几何的背景,我们可以想象所有的数据点都是在一个n维空间分布的,n取决于数据的字段个数,理论上可以通过平面切分的方式将任意一个点与其它点隔离开。


Isolation Forest的思路就是,如果是normal数据,你需要更多地切割平面才能区分这条数据。如果是anormal数据,就可以用较少的平面切割。如下图所示:

如果要区分(a)图中的点,这个点显然是个normal数据,需要非常多的切割平面,而(b)中的anormal数据需要的切割面就比较少。



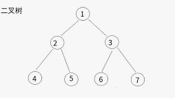
于是基于这样的理论,需要一种数学模型来表示切割平面个数以及数据的关系,二叉树就是一种合适的方式。

可以用树的深度表示切割平面数,每条数据对应二叉树中的一个节点。数据的切割面越多,数据在二叉树中的纵深越深。


这样建模有一个很大的好处,如果目的是找出异常点,那么不需要每一个二叉树都完整创建,也就是不需要每次都遍历所有数据,因为要找的异常点是每棵树比较靠近父节点的节点,非常的节约计算资源。


ok~关于Isolation Forest就介绍这么多,希望对大家有帮助,提前预祝大家十一玩的愉快。


珍惜每一刻每一秒

去充实自己

 

微信号:凡人机器学习

长按二维码关注

登录查看更多
3

相关内容

【2020新书】社交媒体挖掘,212pdf,Mining Social Media
专知会员服务
63+阅读 · 2020年7月30日
最新《深度半监督学习》综述论文,43页pdf
专知会员服务
156+阅读 · 2020年6月12日
最新《医学图像深度语义分割》综述论文
专知会员服务
97+阅读 · 2020年6月7日
商业数据分析,39页ppt
专知会员服务
165+阅读 · 2020年6月2日
【经典书】精通机器学习特征工程,中文版,178页pdf
专知会员服务
360+阅读 · 2020年2月15日
无监督学习:决策树AI异常检测
AI前线
15+阅读 · 2018年1月14日
算法|随机森林(Random Forest)
全球人工智能
3+阅读 · 2018年1月8日
动手写机器学习算法:异常检测 Anomaly Detection
七月在线实验室
11+阅读 · 2017年12月8日
机器学习(30)之线性判别分析(LDA)原理详解
机器学习算法与Python学习
11+阅读 · 2017年12月6日
机器学习(28)【降维】之sklearn中PCA库讲解与实战
机器学习算法与Python学习
8+阅读 · 2017年11月27日
机器学习(27)【降维】之主成分分析(PCA)详解
机器学习算法与Python学习
9+阅读 · 2017年11月22日
机器学习(23)之GBDT详解
机器学习算法与Python学习
12+阅读 · 2017年10月25日
机器学习(16)之支持向量机原理(二)软间隔最大化
机器学习算法与Python学习
6+阅读 · 2017年9月8日
机器学习实战:Python信用卡欺诈检测
引力空间站
6+阅读 · 2017年9月6日
DPOD: Dense 6D Pose Object Detector in RGB images
Arxiv
5+阅读 · 2019年2月28日
Learning From Positive and Unlabeled Data: A Survey
Arxiv
5+阅读 · 2018年11月12日
q-Space Novelty Detection with Variational Autoencoders
Arxiv
9+阅读 · 2018年4月12日
Arxiv
5+阅读 · 2018年2月26日
Arxiv
5+阅读 · 2017年12月14日
VIP会员
相关VIP内容
相关资讯
无监督学习:决策树AI异常检测
AI前线
15+阅读 · 2018年1月14日
算法|随机森林(Random Forest)
全球人工智能
3+阅读 · 2018年1月8日
动手写机器学习算法:异常检测 Anomaly Detection
七月在线实验室
11+阅读 · 2017年12月8日
机器学习(30)之线性判别分析(LDA)原理详解
机器学习算法与Python学习
11+阅读 · 2017年12月6日
机器学习(28)【降维】之sklearn中PCA库讲解与实战
机器学习算法与Python学习
8+阅读 · 2017年11月27日
机器学习(27)【降维】之主成分分析(PCA)详解
机器学习算法与Python学习
9+阅读 · 2017年11月22日
机器学习(23)之GBDT详解
机器学习算法与Python学习
12+阅读 · 2017年10月25日
机器学习(16)之支持向量机原理(二)软间隔最大化
机器学习算法与Python学习
6+阅读 · 2017年9月8日
机器学习实战:Python信用卡欺诈检测
引力空间站
6+阅读 · 2017年9月6日
相关论文
DPOD: Dense 6D Pose Object Detector in RGB images
Arxiv
5+阅读 · 2019年2月28日
Learning From Positive and Unlabeled Data: A Survey
Arxiv
5+阅读 · 2018年11月12日
q-Space Novelty Detection with Variational Autoencoders
Arxiv
9+阅读 · 2018年4月12日
Arxiv
5+阅读 · 2018年2月26日
Arxiv
5+阅读 · 2017年12月14日
Top
微信扫码咨询专知VIP会员