Graph Embedding方案之DeepWalk

2019 年 11 月 13 日 凡人机器学习

对于算法不太了解的同学,这是一个看上去很没吸引力的标题,预计点击量超不过200。最近非常迷恋一句话“万物皆可Embedding”,讲的是世间所有的事物都能通过某种方法被向量表示,一旦事物被向量表示了就可以通过乘法去做进一步逻辑处理。比如商品A被表示为向量m,商品B被表示为向量n,则m*n的结果就是AB的相似关系。把事物Embedding的方法有很多,今天就来介绍DeepWalk,一种把图关系向量化的方法。

 

 

DeepWalk有什么用呢?在推荐、文本分类等领域都有很多场景。比如用户观看视频这件事,所有用户的视频观看顺序组合到一起会构成一种图关系,每个节点是视频,边是观看次数。当有一个客户先后看了A->B->C三个视频,那么下个视频会看什么呢,就可以用DeepWalk将所有视频向量化,然后所有视频的向量分别与C视频的向量相乘,分数最高的就可以作为下一个推荐视频。

 

下面这张图直观展示了DeepWalk处理数据的过程:


 

具体DeepWalk做事物Embedding可以分两步,第一步是Random Walk,第二步是Word2Vector。为了大家更好的理解,我们先从Word2Vector开始讲。

 

Word2Vector

 

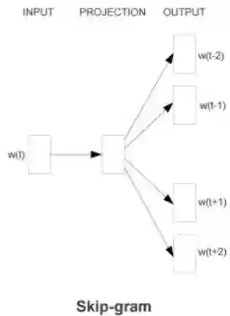
有的同学会奇怪,做Graph EmbeddingWord2Vector有什么关系,Word2Vector不是一个文本向量化的方法么?图像量化其实可以巧妙的转化成文本向量化。Word2Vector有一种模式叫做Skip-Gram,就是给定一个文章中的某个词,预测这个词的上下文,如下图展示:



比如我们输入一个文本“傲海是北京朝阳地区第一帅哥”,“朝阳”的上一个词是“北京”,下一个词是“地区”。当这种训练样本很多的时候,比如我们找到大量含“朝阳”的词的语句进行训练,就可以通过Skip-Gram得出“朝阳”这个词的向量形式,这就是Skip-Gram这个算法的功能,这里需要指定一个窗口的概念,就是训练的时候取每个词上下几个词作为输入。那么这种上下文关系如何映射到图向量化工作呢?我们接着看。

 

 

Random Walk


先来看看这个有向图,我们可以从图关系中找到几个序列,比如A->B->E->C,这是一个有向关系链。这个关系跟上文提到的“傲海是北京朝阳地区第一帅哥”是有一定相似性的,我们把“北京”看成A ,“朝阳”看成B,“地区”看成E,这种图的先后关系可以映射成文本的先后出现关系。Random Walk做的事就是设置一个窗口,然后顺着图关系去随机找到类似于A->B->E这样的先后关系。

 

比如我们设窗口为2,那么以B为定点,可以找到如B->EB->A这样的前后关联关系,这种关系放到Word2Vector里就能生成每个定点的向量表示。

 

Ok~讲的比较浅,希望大家可以理解哈,希望有帮助,谢谢


登录查看更多
5

相关内容

DeepWalk是最早提出的基于 Word2vec 的节点向量化模型。其主要思路,就是利用构造节点在网络上的随机游走路径,来模仿文本生成的过程,提供一个节点序列,然后用Skip-gram和Hierarchical Softmax模型对随机游走序列中每个局部窗口内的节点对进行概率建模,最大化随机游走序列的似然概率,并使用最终随机梯度下降学习参数。
最新《图神经网络知识图谱补全》综述论文
专知会员服务
158+阅读 · 2020年7月29日
【ACL2020】基于图神经网络的文本分类新方法
专知会员服务
69+阅读 · 2020年7月12日
【ICLR2020-】基于记忆的图网络,MEMORY-BASED GRAPH NETWORKS
专知会员服务
110+阅读 · 2020年2月22日
KGCN:使用TensorFlow进行知识图谱的机器学习
专知会员服务
83+阅读 · 2020年1月13日
基于知识图谱和图卷积神经网络的应用和开发
深度学习自然语言处理
4+阅读 · 2020年6月9日
一文读懂图卷积GCN
计算机视觉life
21+阅读 · 2019年12月21日
论文浅尝 | 一种嵌入效率极高的 node embedding 方式
开放知识图谱
13+阅读 · 2019年5月12日
图嵌入(Graph embedding)综述
人工智能前沿讲习班
449+阅读 · 2019年4月30日
图卷积网络介绍及进展【附PPT与视频资料】
人工智能前沿讲习班
24+阅读 · 2019年1月3日
网络表示学习介绍
人工智能前沿讲习班
18+阅读 · 2018年11月26日
论文|2017CIKM-Network Embedding专题论文分享
蚂蚁程序猿
8+阅读 · 2017年12月20日
Representation Learning on Network 网络表示学习笔记
全球人工智能
5+阅读 · 2017年9月30日
自然语言处理 (三) 之 word embedding
DeepLearning中文论坛
19+阅读 · 2015年8月3日
Domain Representation for Knowledge Graph Embedding
Arxiv
14+阅读 · 2019年9月11日
Signed Graph Attention Networks
Arxiv
7+阅读 · 2019年9月5日
Factor Graph Attention
Arxiv
6+阅读 · 2019年4月11日
Embedding Logical Queries on Knowledge Graphs
Arxiv
3+阅读 · 2019年2月19日
dynnode2vec: Scalable Dynamic Network Embedding
Arxiv
15+阅读 · 2018年12月6日
Arxiv
9+阅读 · 2018年10月18日
Arxiv
3+阅读 · 2018年2月7日
VIP会员
相关资讯
基于知识图谱和图卷积神经网络的应用和开发
深度学习自然语言处理
4+阅读 · 2020年6月9日
一文读懂图卷积GCN
计算机视觉life
21+阅读 · 2019年12月21日
论文浅尝 | 一种嵌入效率极高的 node embedding 方式
开放知识图谱
13+阅读 · 2019年5月12日
图嵌入(Graph embedding)综述
人工智能前沿讲习班
449+阅读 · 2019年4月30日
图卷积网络介绍及进展【附PPT与视频资料】
人工智能前沿讲习班
24+阅读 · 2019年1月3日
网络表示学习介绍
人工智能前沿讲习班
18+阅读 · 2018年11月26日
论文|2017CIKM-Network Embedding专题论文分享
蚂蚁程序猿
8+阅读 · 2017年12月20日
Representation Learning on Network 网络表示学习笔记
全球人工智能
5+阅读 · 2017年9月30日
自然语言处理 (三) 之 word embedding
DeepLearning中文论坛
19+阅读 · 2015年8月3日
相关论文
Domain Representation for Knowledge Graph Embedding
Arxiv
14+阅读 · 2019年9月11日
Signed Graph Attention Networks
Arxiv
7+阅读 · 2019年9月5日
Factor Graph Attention
Arxiv
6+阅读 · 2019年4月11日
Embedding Logical Queries on Knowledge Graphs
Arxiv
3+阅读 · 2019年2月19日
dynnode2vec: Scalable Dynamic Network Embedding
Arxiv
15+阅读 · 2018年12月6日
Arxiv
9+阅读 · 2018年10月18日
Arxiv
3+阅读 · 2018年2月7日
Top
微信扫码咨询专知VIP会员