【微积分基本定理】图解普林斯顿微积分 14

2017 年 10 月 23 日 遇见数学 遇见数学

第 17 章 微积分基本定理(The Fundamental Theorems of Calculus)

17.1 用其他函数的积分来表示的函数

考虑积分  0 x t 2 dt  实际上是一个以积分上线 x 为变量的函数, 这就有

观看下面的动画:

17.2 微积分的第一基本定理(The First Fundamental Theorem)

观察下面的图形:

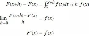
上图淡红色的阴影部分, 当 h 很小的时候几乎为小竖条, 所以可以用计算长方形面积的方法来估算该竖条的面积, 它的底从x 到x+h, 高从0 到f(x), 所以面积是 h*f(x) , 也就是:

微积分的第一基本定理:如果函数f 在闭区间 [a,b] 上是连续的, 定义F 为

则 F 在开区间 (a,b) 内是可导函数, 而且 F'(x)=f(x)

反导数的引入(Introduction to antiderivatives)

假设  f(t)= t 2 , a=0  所以有

微积分的第一基本定理告诉我们 F'(x) = f(x). 因为f(t) =  t 2 , 所以有f(x) = x 2 ; 也就是说, F'(x) =  x 2 . 换一种说法, 函数 F 的导数为  x 2 . 我们说 F 是  x 2  的反导数(关于x).

17.3 微积分的第二基本定理

微积分的第二基本定理:如果函数 f 在闭区间[a, b] 上是连续的, F 是 f 的任意一个反导数(关于x), 那么有

17.4 不定积分(Indefinite Integrals)

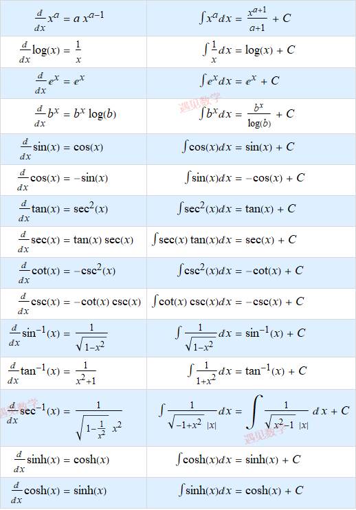
到目前为止, 我们使用两种不同的方法计算定积分:黎曼和的极限和反导数.

如果你知道一个函数的导数, 那么就会很快求出这个导数的反导数. 具体情况是:

不定积分没有积分上下限, 而定积分有.

定积分是一个数, 它表示由曲线 y=f(x), x 轴以垂线 x=a 和 x=b 所围成的面积;不定积分是一个函数的集合. 这个集合由函数 f 的所有反导数(关于 x)组成. 例如:

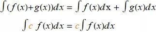
不定积分的两个性质:

17.6 怎样解决问题:微积分的第二基本定理




(End)

「予人玫瑰, 手留余香」

和自己最好的朋友们一起来遇见数学!


登录查看更多
1

相关内容

【纽约大学】最新《离散数学》笔记,451页pdf
专知会员服务
131+阅读 · 2020年5月26日
【经典书】机器学习高斯过程,266页pdf
专知会员服务
200+阅读 · 2020年5月2日
干货书《数据科学数学系基础》2020最新版,266页pdf
专知会员服务
324+阅读 · 2020年3月23日
条件概率和贝叶斯公式 - 图解概率 03
遇见数学
10+阅读 · 2018年6月5日
【干货】​深度学习中的线性代数
专知
21+阅读 · 2018年3月30日
【机器学习数学基础】动图解释泰勒级数(一)
机器学习研究会
6+阅读 · 2018年2月25日
机器学习(29)之奇异值分解SVD原理与应用详解
机器学习算法与Python学习
6+阅读 · 2017年11月30日
图解机器学习
深度学习世界
3+阅读 · 2017年11月24日
图解高等数学|线性代数
遇见数学
39+阅读 · 2017年10月18日
机器学习(13)之最大熵模型详解
机器学习算法与Python学习
7+阅读 · 2017年8月24日
Learning Implicit Fields for Generative Shape Modeling
Arxiv
11+阅读 · 2018年12月6日
Arxiv
7+阅读 · 2018年11月6日
Arxiv
4+阅读 · 2018年9月6日
Arxiv
3+阅读 · 2018年3月14日
VIP会员
相关VIP内容
【纽约大学】最新《离散数学》笔记,451页pdf
专知会员服务
131+阅读 · 2020年5月26日
【经典书】机器学习高斯过程,266页pdf
专知会员服务
200+阅读 · 2020年5月2日
干货书《数据科学数学系基础》2020最新版,266页pdf
专知会员服务
324+阅读 · 2020年3月23日
相关资讯
条件概率和贝叶斯公式 - 图解概率 03
遇见数学
10+阅读 · 2018年6月5日
【干货】​深度学习中的线性代数
专知
21+阅读 · 2018年3月30日
【机器学习数学基础】动图解释泰勒级数(一)
机器学习研究会
6+阅读 · 2018年2月25日
机器学习(29)之奇异值分解SVD原理与应用详解
机器学习算法与Python学习
6+阅读 · 2017年11月30日
图解机器学习
深度学习世界
3+阅读 · 2017年11月24日
图解高等数学|线性代数
遇见数学
39+阅读 · 2017年10月18日
机器学习(13)之最大熵模型详解
机器学习算法与Python学习
7+阅读 · 2017年8月24日
Top
微信扫码咨询专知VIP会员