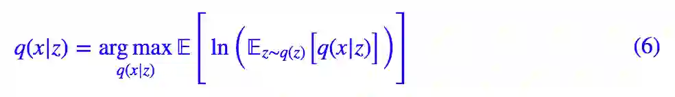
变分自编码器VAE:这样做为什么能成?

2018 年 4 月 10 日 PaperWeekly 苏剑林

作者丨苏剑林

单位丨广州火焰信息科技有限公司

研究方向丨NLP,神经网络

个人主页丨kexue.fm


话说我觉得我自己最近写文章都喜欢长篇大论了,而且扎堆地来。之前连续写了三篇关于 Capsule 的介绍,这次轮到 VAE 了。本文是 VAE 的第三篇探索,说不准还会有第四篇。不管怎么样,数量不重要,重要的是能把问题都想清楚。尤其是对于 VAE 这种新奇的建模思维来说,更加值得细细地抠。


这次我们要关心的一个问题是:VAE 为什么能成?


估计看 VAE 的读者都会经历这么几个阶段。第一个阶段是刚读了 VAE 的介绍,然后云里雾里的,感觉像自编码器又不像自编码器的,反复啃了几遍文字并看了源码之后才知道大概是怎么回事。


第二个阶段就是在第一个阶段的基础上,再去细读 VAE 的原理,诸如隐变量模型、KL 散度、变分推断等等,细细看下去,发现虽然折腾来折腾去,最终居然都能看明白了。


这时候读者可能就进入第三个阶段了。在这个阶段中,我们会有诸多疑问,尤其是可行性的疑问:为什么它这样反复折腾,最终出来模型是可行的?我也有很多想法呀,为什么我的想法就不行?


前文之要


让我们再不厌其烦地回顾一下前面关于 VAE 的一些原理。


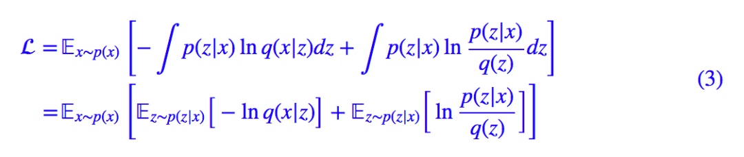
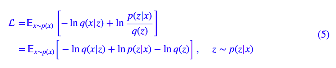
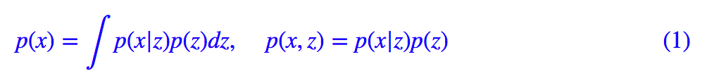
VAE 希望通过隐变量分解来描述数据 X 的分布。



然后对 p(x,z) 用模型 q(x|z) 拟合,p(z) 用模型 q(z) 拟合,为了使得模型具有生成能力,q(z) 定义为标准正态分布。


理论上,我们可以使用边缘概率的最大似然来求解模型:



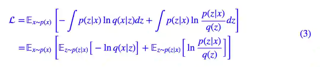
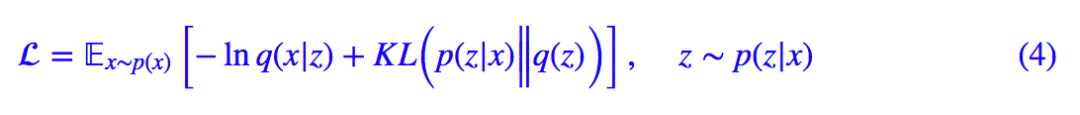
但是由于圆括号内的积分没法显式求出来,所以我们只好引入 KL 散度来观察联合分布的差距,最终目标函数变成了:



通过最小化 L 来分别找出 p(x|z) 和 q(x|z)。前一文再谈变分自编码器VAE:从贝叶斯观点出发也表明 L 有下界 −𝔼xp(x)[lnp(x)],所以比较 L  −𝔼xp(x)[lnp(x)] 的接近程度就可以比较生成器的相对质量。

采样之惑


在这部分内容中,我们试图对 VAE 的原理做细致的追问,以求能回答 VAE 为什么这样做,最关键的问题是,为什么这样做就可行。 


采样一个点就够


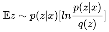
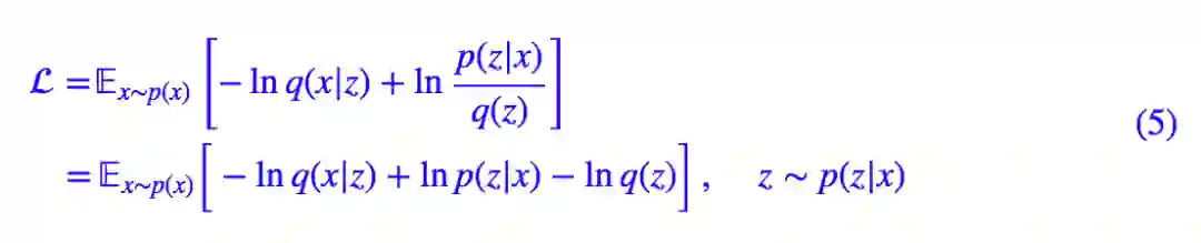
对于 (3) 式,我们后面是这样处理的:


1. 留意到正好是 p(z|x) 和 q(z) 的散度 KL(p(z|x)q(z)),而它们俩都被我们都假设为正态分布,所以这一项可以算出来;


2. 𝔼zp(z|x)[−lnq(x|z)] 这一项我们认为只采样一个就够代表性了,所以这一项变成了 lnq(x|z),zp(z|x)。


经过这样的处理,整个 loss 就可以明确写出来了:



等等,可能有读者看不过眼了:KL(p(z|x)‖q(z)) 事先算出来,相当于是采样了无穷多个点来估算这一项;而 𝔼zp(z|x)[−lnq(x|z)] 却又只采样一个点,大家都是 loss 的一部分,这样不公平待遇真的好么?


事实上,也可以只采样一个点来算,也就是说,可以通过全体都只采样一个点,将 (3) 式变为:



这个 loss 虽然跟标准的 VAE 有所不同,但事实上也能收敛到相似的结果。


为什么一个点就够?


那么,为什么采样一个点就够了呢?什么情况下才是采样一个点就够?


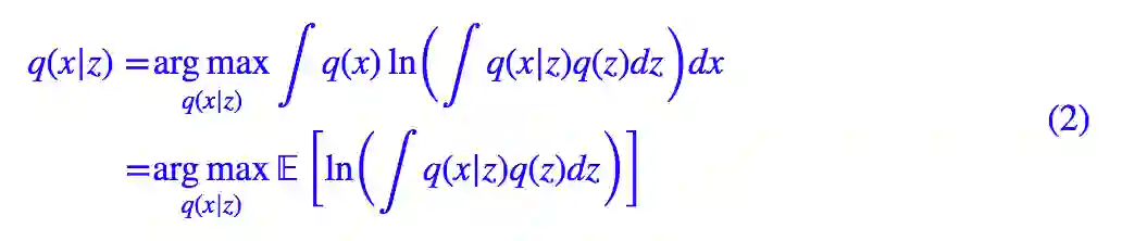
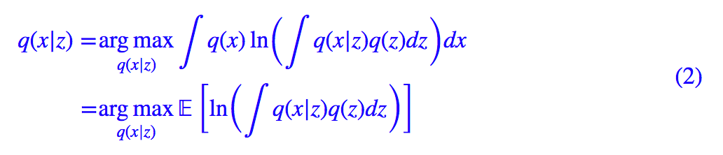
首先,我举一个“采样一个点不够”的例子,让我们回头看 (2) 式,它其实可以改写成:



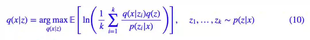
如果采样一个点就够了,不,这里还是谨慎一点,采样 k 个点吧,那么我们可以写出:



然后就可以梯度下降训练了。


然而,这样的策略是不成功的。实际中我们能采样的数目 k,一般要比每个 batch 的大小要小,这时候最大化就会陷入一个“资源争夺战”的境地。


每次迭代时,一个 batch 中的各个 xi 都在争夺 z1,z2,…,zk,谁争夺成功了,q(x|z) 就大。说白了,哪个 xi 能找到专属于它的 zj,这意味着 zj 只能生成 xi,不能生成其它的,那么 z(xi|zj) 就大),但是每个样本都是平等的,采样又是随机的,我们无法预估每次“资源争夺战”的战况。这完全就是一片混战


如果数据集仅仅是 mnist,那还好一点,因为 mnist 的样本具有比较明显的聚类倾向,所以采样数母 k 超过 10,那么就够各个 xi 分了。


但如果像人脸、imagenet 这些没有明显聚类倾向、类内方差比较大的数据集,各个 z 完全是不够分的,一会 xi 抢到了 zj,一会 xi+1 抢到了 zj,训练就直接失败了。


因此,正是这种“僧多粥少”的情况导致上述模型 (7) 训练不成功。可是,为什么 VAE 那里采样一个点就成功了呢?


一个点确实够了


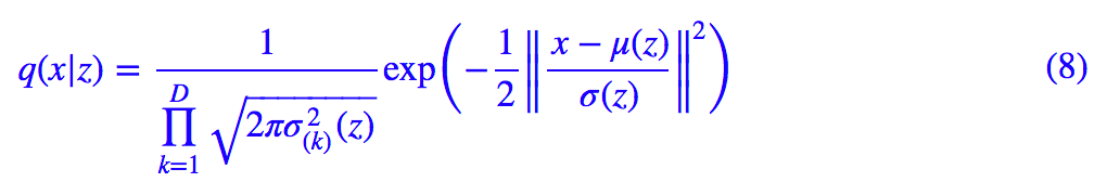
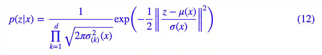
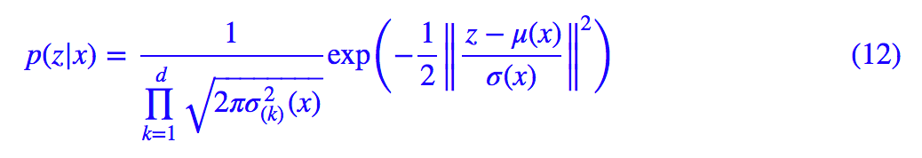
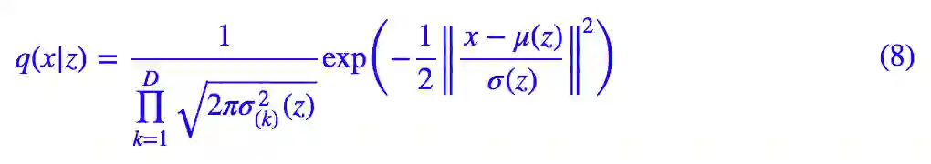
这就得再分析一下我们对 q(x|z) 的想法了,我们称 q(x|z为生成模型部分,一般情况下我们假设它为伯努利分布或高斯分布,考虑到伯努利分布应用场景有限,这里只假设它是正态分布,那么:



其中 μ(z) 是用来计算均值的网络,σ^2(z)是用来计算方差的网络,很多时候我们会固定方差,那就只剩一个计算均值的网络了。


注意,q(x|z) 只是一个概率分布,我们从q(z)中采样出 z 后,代入 q(x|z后得到 q(x|z) 的具体形式,理论上我们还要从 q(x|z) 中再采样一次才得到 x。但是,我们并没有这样做,我们直接把均值网络 μ(z的结果就当成 x


而能这样做,表明 q(x|z是一个方差很小的正态分布(如果是固定方差的话,则训练前需要调低方差,如果不是正态分布而是伯努利分布的话,则不需要考虑这个问题,它只有一组参数),每次采样的结果几乎都是相同的(都是均值 μ(z)),此时 xz 之间“几乎”具有一一对应关系,接近确定的函数 x=μ(z)


▲ 标准正态分布(蓝)和小方差正态分布(橙)


而对于后验分布 p(z|x) 中,我们假设了它也是一个正态分布。既然前面说 zx 几乎是一一对应的,那么这个性质同样也适用验分布 p(z|x),这就表明后验分布也会是一个方差很小的正态分布(读者也可以自行从 mnist 的 encoder 结果来验证这一点),这也就意味着每次从 p(z|x) 中采样的结果几乎都是相同的。


既然如此,采样一次跟采样多次也就没有什么差别了,因为每次采样的结果都基本一样。所以我们就解释了为什么可以从 (3) 式出发,只采样一个点计算而变成 (4) 式或 (5) 式了。


后验之妙


前面我们初步解释了为什么直接在先验分布 q(z) 中采样训练不好,而在后验分布中 p(z|x) 中采样的话一个点就够了。


事实上,利用 KL 散度在隐变量模型中引入后验分布是一个非常神奇的招数。在这部分内容中,我们再整理一下相关内容,并且给出一个运用这个思想的新例子。 


后验的先验 


可能读者会有点逻辑混乱:你说 q(x|z) 和 p(z|x最终都是方差很小的正态分布,可那是最终的训练结果而已,在建模的时候,理论上我们不能事先知道  q(x|z) 和 p(z|x的方差有多大,那怎么就先去采样一个点了? 


我觉得这也是我们对问题的先验认识。当我们决定用某个数据集 X 做 VAE 时,这个数据集本身就带了很强的约束。


比如 mnist 数据集具有 784 个像素,事实上它的独立维度远少于 784,最明显的,有些边缘像素一直都是 0,mnist 相对于所有 28*28 的图像来说,是一个非常小的子集.


再比如笔者前几天写的作诗机器人,“唐诗”这个语料集相对于一般的语句来说是一个非常小的子集;甚至我们拿上千个分类的 imagenet 数据集来看,它也是无穷尽的图像中的一个小子集而已。 


这样一来,我们就想着这个数据集 X 是可以投影到一个低维空间(隐变量空间)中,然后让低维空间中的隐变量跟原来的 X 集一一对应


读者或许看出来了:这不就是普通的自编码器吗?


是的,其实意思就是说,在普通的自编码器情况下,我们可以做到隐变量跟原数据集的一一对应(完全一一对应意味着 p(z|xq(x|z的方差为 0),那么再引入高斯形式的先验分布 q(z) 后,粗略地看,这只是对隐变量空间做了平移和缩放,所以方差也可以不大。 


所以,我们应该是事先猜测出 p(z|x和 q(x|z的方差很小,并且让模型实现这个估计。说白了,“采样一个”这个操作,是我们对数据和模型的先验认识,是对后验分布的先验,并且我们通过这个先验认识来希望模型能靠近这个先验认识去。 


整个思路应该是:


  • 有了原始语料集

  • 观察原始语料集,推测可以一一对应某个隐变量空间

  • 通过采样一个的方式,让模型去学会这个对应


这部分内容说得有点凌乱,其实也有种多此一举的感觉,希望读者不要被我搞糊涂了。如果觉得混乱的话,忽视这部分吧。


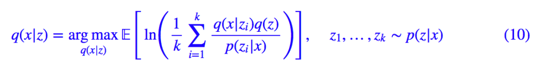
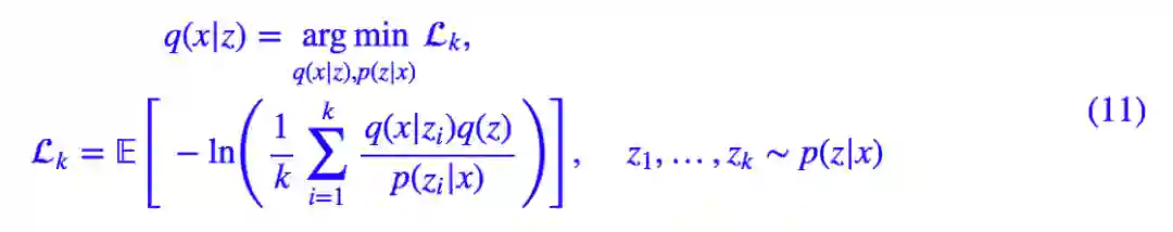
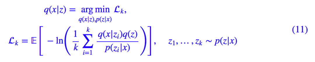
耿直的IWAE


接下来的例子称为“重要性加权自编码器(Importance Weighted Autoencoders)”,简写为“IWAE”,它更加干脆、直接地体现出后验分布的妙用,它在某种程度上它还可以看成是 VAE 的升级版。 


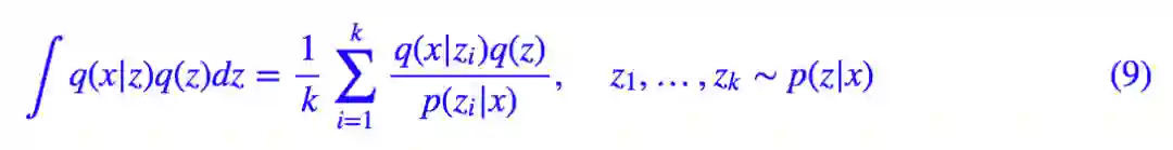
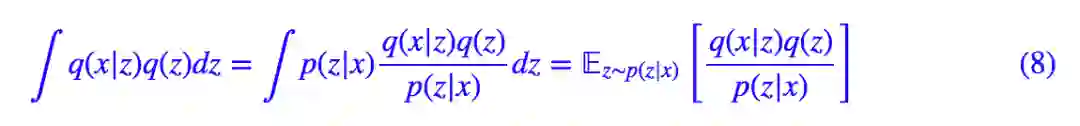
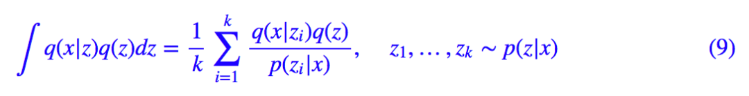
IWAE 的出发点是 (2) 式,它引入了后验分布对 (2) 式进行了改写:



这样一来,问题由从 q(z) 采样变成了从 p(z|x) 中采样。我们前面已经论述了 p(z|x) 方差较小,因此采样几个点就够了:



代入 (2) 式得到:



这就是 IWAE。为了对齐 (4),(5) 式,可以将它等价地写成:



k=1 时,上式正好跟 (5) 式一样,所以从这个角度来看,IWAE 是 VAE 的升级版。 


从构造过程来看,在 (8) 式中将 p(z|x) 替换为 z 的任意分布都是可以的,选择 p(z|x只是因为它有聚焦性,便于采样。而当 k 足够大时,事实上 p(z|x的具体形式已经不重要了。


这也就表明,在 IWAE 中削弱了 encoder 模型 p(z|x的作用,换来了生成模型 q(x|z) 的提升


因为在 VAE 中,我们假设 p(z|x) 是正态分布,这只是一种容易算的近似,这个近似的合理性,同时也会影响生成模型 q(x|z) 的质量。可以证明,Lk能比 更接近下界 −𝔼xp(x)[lnp(x)],所以生成模型的质量会更优。 


直觉来讲,就是在 IWAE 中,p(z|x的近似程度已经不是那么重要了,所以能得到更好的生成模型。


不过代价是生成模型的质量就降低了,这也是因为 p(z|x的重要性降低了,模型就不会太集中精力训练 p(z|x了。所以如果我们是希望获得好的 encoder 的话,IWAE 是不可取的。 


还有一个工作 Tighter Variational Bounds are Not Necessarily Better,据说同时了提高了 encoder 和 decoder 的质量,不过我还没看懂。


重参之神


如果说后验分布的引入成功勾画了 VAE 的整个蓝图,那么重参数技巧就是那“画龙点睛”的“神来之笔”。


前面我们说,VAE 引入后验分布使得采样从宽松的标准正态分布 q(z) 转移到了紧凑的正态分布 p(z|x)。然而,尽管它们都是正态分布,但是含义却大不一样。我们先写出:



也就是说,p(z|x) 的均值和方差都是要训练的模型。


让我们想象一下,当模型跑到这一步,然后算出了 μ(x) 和 σ(x),接着呢,就可以构建正态分布然后采样了。


可采样出来的是什么东西?是一个向量,并且这个向量我们看不出它跟 μ(x) 和 σ(x的关系,所以相当于一个常向量,这个向量一求导就没了,从而在梯度下降中,我们无法得到任何反馈来更新 μ(x) 和 σ(x)


这时候重参数技巧就闪亮登场了,它直截了当地告诉我们:



▲ 重参数技巧


没有比这更简洁了,看起来只是一个微小的变换,但它明确地告诉了我们 zμ(x) 和 σ(x的关系。于是 z 求导就不再是 0,μ(x), σ(x终于可以获得属于它们的反馈了。至此,模型一切就绪,接下来就是写代码的时间了。


可见,“重参数”简直堪称绝杀。


本文之水


本文大概是希望把 VAE 后续的一些小细节说清楚,特别是 VAE 如何通过巧妙地引入后验分布来解决采样难题(从而解决了训练难题),并且顺道介绍了一下 IWAE。


要求直观理解就难免会失去一点严谨性,这是二者不可兼得的事情。所以,对于文章中的毛病,望高手读者多多海涵,也欢迎批评建议。



点击以下标题查看相关内容: 





#作 者 招 募#


让你的文字被很多很多人看到,喜欢我们不如加入我们


          

 我是彩蛋

 解锁新功能:热门职位推荐!


PaperWeekly小程序升级啦


今日arXiv√猜你喜欢√热门职位


找全职找实习都不是问题

 

 解锁方式 

1. 识别下方二维码打开小程序

2. 用PaperWeekly社区账号进行登陆

3. 登陆后即可解锁所有功能


 职位发布 

请添加小助手微信(pwbot02)进行咨询

 

长按识别二维码,使用小程序

*点击阅读原文即可注册





关于PaperWeekly


PaperWeekly 是一个推荐、解读、讨论、报道人工智能前沿论文成果的学术平台。如果你研究或从事 AI 领域,欢迎在公众号后台点击「交流群」,小助手将把你带入 PaperWeekly 的交流群里。


▽ 点击 | 阅读原文 | 进入作者博客

登录查看更多
2

相关内容

自回归模型:PixelCNN
专知会员服务
27+阅读 · 2020年3月21日
模型压缩究竟在做什么?我们真的需要模型压缩么?
专知会员服务
28+阅读 · 2020年1月16日
GANs最新综述论文: 生成式对抗网络及其变种如何有用
专知会员服务
72+阅读 · 2019年10月19日
GAN 为什么需要如此多的噪声?
AI科技评论
14+阅读 · 2020年3月17日
vae学习笔记
CreateAMind
22+阅读 · 2019年6月18日
变分自编码器VAE:一步到位的聚类方案
PaperWeekly
25+阅读 · 2018年9月18日
再谈变分自编码器VAE:从贝叶斯观点出发
PaperWeekly
13+阅读 · 2018年4月2日
【干货】深入理解变分自编码器
专知
21+阅读 · 2018年3月22日
深度 | 变分自编码器VAE面临的挑战与发展方向
机器之心
16+阅读 · 2018年3月21日
【干货】一文读懂什么是变分自编码器
专知
12+阅读 · 2018年2月11日
VAE、GAN、Info-GAN:全解深度学习三大生成模型
数据派THU
20+阅读 · 2017年9月23日
Music Transformer
Arxiv
5+阅读 · 2018年12月12日
Arxiv
4+阅读 · 2018年4月10日
Arxiv
4+阅读 · 2018年4月9日
Arxiv
3+阅读 · 2017年7月6日
VIP会员
相关VIP内容
自回归模型:PixelCNN
专知会员服务
27+阅读 · 2020年3月21日
模型压缩究竟在做什么?我们真的需要模型压缩么?
专知会员服务
28+阅读 · 2020年1月16日
GANs最新综述论文: 生成式对抗网络及其变种如何有用
专知会员服务
72+阅读 · 2019年10月19日
相关资讯
GAN 为什么需要如此多的噪声?
AI科技评论
14+阅读 · 2020年3月17日
vae学习笔记
CreateAMind
22+阅读 · 2019年6月18日
变分自编码器VAE:一步到位的聚类方案
PaperWeekly
25+阅读 · 2018年9月18日
再谈变分自编码器VAE:从贝叶斯观点出发
PaperWeekly
13+阅读 · 2018年4月2日
【干货】深入理解变分自编码器
专知
21+阅读 · 2018年3月22日
深度 | 变分自编码器VAE面临的挑战与发展方向
机器之心
16+阅读 · 2018年3月21日
【干货】一文读懂什么是变分自编码器
专知
12+阅读 · 2018年2月11日
VAE、GAN、Info-GAN:全解深度学习三大生成模型
数据派THU
20+阅读 · 2017年9月23日
Top
微信扫码咨询专知VIP会员