论文浅尝 | 多标签分类中的元学习

2019 年 9 月 25 日 开放知识图谱

论文笔记整理:叶群,浙江大学计算机学院,知识图谱、NLP方向。


会议:EMNLP 2019

链接:https://arxiv.org/abs/1909.04176


Abstract

这篇论文首次在多标签分类问题中提出了 meta-learning 的方法,学习weight policy decision policy,分别指代训练时损失函数中不同标签的权重和预测时不同标签的阈值,从而更好地建模不同标签之间的依赖和复杂性。在实验表明在 entity typingtext classification 两个任务中都取得了更好的实验结果。


Introduction

     传统的多标签分类模型,在训练时采用标准的交叉熵损失函数,即每个类别的权重一致;在测试时,每个类别的阈值一般都取0.5。这种简单的设定忽略了标签之间的依赖关系,忽略了不同标签的重要性。实际中很多标签之间存在着关系,比如/organization/company, /urban/economics。本文利用meta learning的方法学习weight policydecision policy,分别指代训练时损失函数中不同标签的权重和预测时不同标签的阈值。实际上权重和阈值可以被看做两个超参数,meta-learning学习到这两个超参数之后,传递给下游模型进行训练,所以本文的meta-learning方法是模型无关的。


Method

模型图如图1所示,基本结构分为两部分:meta-learner classification modelMeta-learner的任务是学习 weight policy decision policy,即权重和阈值两个超参;Classification model 根据学习到的两个超参,训练一个 Batch,并进行测试得到测试结果,并以测试结果作为 reward 去更新 meta-learner classification model的参数。

1 模型结构示意图

Meta-learner

    Meta-learner 的结构采用了 GRU,采用了强化学习的方法去进行weight policydecision policy的学习。其中,强化学习的stateGRU的隐层表示:

Weight policydecision policy的定义:

Reward的定义:

Classification Model

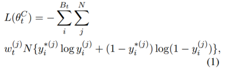
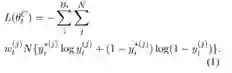
分类模型可以是任何形式的,只要损失函数是交叉熵形式即可,这里采用的损失函数为:

其中类别数为Nw为不同类别的权重。只训练一个Batch就进行测试,这样可以减轻训练的开销。

Experiments

      实验在entity typingtext classification两个任务上进行了评测。在entity typing上选取的数据集为FIGEROntoNotesBBN,分类模型采用了entity typing中的SOTA模型,其结构如下:

2 entity typing模型结构示意图

实验结果如表1所示,加入weight policydecision policy,模型的结果可以有2~3个百分点的提升。

1 entity typing实验结果

      由于本文中 meta-learning 的方法是基于强化学习的框架,而强化学习通常缺乏鲁棒性和对初始化敏感。实验采用不同的初始化方法进行多次实验,结果如表2所示。

2 模型鲁棒性实验

    文本分类任务模型选取了经典的 text CNN 模型,数据集有 Reuters-21578RCV1-V2,实验结果如表3所示。

3 文本分类实验结果

          模型的鲁棒性分析如表4所示。

4 模型鲁棒性实验

 

Conclusion

       本文在多标签分类任务中,利用 meta-learning 的方法学习 weight policydecision policy,从而为不同标签学习到不同的权重和阈值,在entity typing 和文本分类两个任务上效果有所提升。但是针对作者所说的,可以建模不同标签之间的 dependency,我觉得这一点上模型并没有显式地体现这一点。



OpenKG


开放知识图谱(简称 OpenKG)旨在促进中文知识图谱数据的开放与互联,促进知识图谱和语义技术的普及和广泛应用。

点击阅读原文,进入 OpenKG 博客。




登录查看更多
6

相关内容

【元图(Meta-Graph):元学习小样本连接预测】
专知会员服务
65+阅读 · 2020年5月31日
【IJCAI2020-华为诺亚】面向深度强化学习的策略迁移框架
专知会员服务
28+阅读 · 2020年5月25日
基于深度神经网络的少样本学习综述
专知会员服务
173+阅读 · 2020年4月22日
【浙江大学】使用MAML元学习的少样本图分类
专知会员服务
63+阅读 · 2020年3月22日
专知会员服务
88+阅读 · 2020年1月20日
论文浅尝 | 利用问题生成提升知识图谱问答
开放知识图谱
20+阅读 · 2019年11月5日
论文浅尝 | 基于知识库的神经网络问题生成方法
开放知识图谱
19+阅读 · 2019年6月21日
标签间相关性在多标签分类问题中的应用
人工智能前沿讲习班
23+阅读 · 2019年6月5日
论文浅尝 | 面向知识图谱补全的共享嵌入神经网络模型
开放知识图谱
31+阅读 · 2019年4月7日
论文浅尝 | 基于深度强化学习的远程监督数据集的降噪
开放知识图谱
29+阅读 · 2019年1月17日
论文浅尝 | 基于局内去噪和迁移学习的关系抽取
开放知识图谱
16+阅读 · 2018年12月2日
论文浅尝 | 用可微的逻辑规则学习完成知识库推理
开放知识图谱
14+阅读 · 2018年7月5日
论文浅尝 | 用图网络做小样本学习
开放知识图谱
66+阅读 · 2018年6月30日
论文浅尝 | Reinforcement Learning for Relation Classification
开放知识图谱
9+阅读 · 2017年12月10日
Arxiv
4+阅读 · 2020年3月27日
Arxiv
26+阅读 · 2020年2月21日
Arxiv
14+阅读 · 2019年9月11日
Arxiv
9+阅读 · 2018年10月18日
Meta-Learning with Latent Embedding Optimization
Arxiv
6+阅读 · 2018年7月16日
VIP会员
相关资讯
论文浅尝 | 利用问题生成提升知识图谱问答
开放知识图谱
20+阅读 · 2019年11月5日
论文浅尝 | 基于知识库的神经网络问题生成方法
开放知识图谱
19+阅读 · 2019年6月21日
标签间相关性在多标签分类问题中的应用
人工智能前沿讲习班
23+阅读 · 2019年6月5日
论文浅尝 | 面向知识图谱补全的共享嵌入神经网络模型
开放知识图谱
31+阅读 · 2019年4月7日
论文浅尝 | 基于深度强化学习的远程监督数据集的降噪
开放知识图谱
29+阅读 · 2019年1月17日
论文浅尝 | 基于局内去噪和迁移学习的关系抽取
开放知识图谱
16+阅读 · 2018年12月2日
论文浅尝 | 用可微的逻辑规则学习完成知识库推理
开放知识图谱
14+阅读 · 2018年7月5日
论文浅尝 | 用图网络做小样本学习
开放知识图谱
66+阅读 · 2018年6月30日
论文浅尝 | Reinforcement Learning for Relation Classification
开放知识图谱
9+阅读 · 2017年12月10日
Top
微信扫码咨询专知VIP会员