离子运动还是铁电压电?揭开钙钛矿光伏结构神秘面纱

2018 年 8 月 8 日 知社学术圈

海归学者发起的公益学术平台

分享信息,整合资源

交流学术,偶尔风月

画 心


世事纷繁道短长

心思幕幕九机张

画得铁性桑畴景

不信行人不断肠


0
导言


偏还是直?这真的是一个问题!这里的“偏”、“直”,物理上表达了晶体空间对称性的破缺、极性的有无。在强有力的结构分析技术也感到英雄迟暮而难以分辨那些极性的真伪时,扫描探针闪亮登场。钙钛矿太阳能电池,到底有没有极性?面对起初貌似矛盾的数据,苦思不得其解。山穷水尽之际,突然有灵光一现,并在随后一系列分析中得到证实。这一过程的幸福感不言而喻。


1
引子


钙钛矿结构不愧是功能材料的十项全能选手,在铁电压电、高温超导、巨磁阻以及固态离子导体中都有亮丽表现。最近十年,钙钛矿结构最耀眼的明星,无疑是以CH3NH3PbI3 为代表的有机无机杂化钙钛矿。她在光伏转换方面的应用极具潜力。自2009 年日本人Miyasaka 研究组首次报道以来,钙钛矿太阳能电池的转换效率,在短短十年不到的时间从约3 % 大幅度增长至22 % 以上,刺激了全球范围内激烈竞争。最近,中科院半导体所游经碧研究组,更是将其认证效率超越23 %,创造最新世界纪录。

 

如图所示,这样一个增长速度前所未有,其它光伏技术经过几十年卓绝努力才达到。如此反差,以至于常常有too good to be true 之疑问。要澄清那些疑惑,很自然有一个问题:有机无机杂化钙钛矿到底有何过人之处?!


 图1. 各类太阳能电池转换效率发展沿革。


2
结构与相变


这一问题,学界已做大量研究,揭示其优异光电性能背后的物理根源。例如,黄劲松研究组的Science 论文报道了超长的光生载流子扩散距离与寿命,这是输运机理。材料结构-性能关系则是回答这一问题更基本、关键的基础。然而,对有机无机杂化钙钛矿的晶体对称性和结构,至今仍然存在广泛争议。目前普遍接受的是CH3NH3PbI在高温下是立方结构 (2)、在室温下是四方结构。四方结构的空间群又有两种可能性:一种是 I4/mcm 结构 (2),属中心对称的非极性结构;另一种是 I4cm 结构 (2),属非中心对称的极性结构。

 

遗憾的是,这两种晶格结构差别细微,非常难以分辨。过去几年,各路学者采取各种手段,包括光衍射 (XRD)、中子衍射、光学二次谐波激发 (SHG)、宏观电滞回线测试和热释电测试、微观压电原子力显微镜 (PFM)、透射电镜 (TEM)、乃至密度泛函理论 (DFT) 第一性原理计算和分子动力学模拟 (MD) 等,对此进行解析,发表了大量论文。不过,目前尚无确定结果,众说纷纭。有些研究认为体系归属极性结构,有些工作则认为结构是非极性的。这些争议给有机无机杂化钙钛矿结构蒙上更加神秘的面纱。


图2. 有机无机杂化钙钛矿晶体结构。


在材料研究的哲学范畴中,我们的认识是:如果一个材料所期待的性能对结构不那么敏感,则这是一个好材料,因为这样对材料制备的要求不会太苛刻。反之,如果其性能对结构高度敏感,则此类材料可能蕴含更优异的性能,虽然走向应用的机会也比较小。不过,在现代材料科学研究中,此类哲学正在走向没落,越来越多人宣称他们可以精细控制制备过程。

 

这里的 CH3NH3PbI属于后者:结构上的细微差别会在其功能响应上有显著体现。结构有无极性,乃是知微卓著之事,非常重要!非中心对称的极性结构通常具有压电效应,即电场激发一阶线性应变;也可能存在外电场可翻转的极化、即铁电性。然而,有机无机杂化钙钛矿的光生载流子丰富、漏电显著,而且存在显著的离子运动。因此,像传统铁电压电材料那样,施加宏观电场进行压电或铁电测试,通常难以实现。由此,微纳尺度的局域测试,比如借助 PFM 通过扫描探针施加局域电场来测量其应变响应,就成为不二选择。这一思路很早就被曾开阳研究组等用于钙钛矿太阳能电池研究,虽然多晶结构响应复杂、难有定论。

 

2017 年,两篇高影响力的论文分别发表于Energy & Environmental Science Science Advances。两项工作都在 CH3NH3PbI中看到非常清晰而典型的畴结构,如图所示。然而作者对其诠释截然不同。德国Colsmann 组认为这是铁电畴,而黄劲松组则认为其是铁弹畴、是非铁电的。


图3. CH3NH3PbI3 畴结构及其不同的诠释。


对于从事太阳能电池研究、不熟悉铁性材料的读者,可能有必要解释一下铁弹和铁电在结构上的差别。首先,铁性材料未必都含铁。铁性这个术语源于铁磁,来自铁电铁弹宏观迟滞行为与磁滞回线的唯象类似。而多铁性材料,过去二十年是材料科学和凝聚态物理最活跃的领域之一。当铁性材料发生立方结构向四方结构转变时,相变应变随之产生,如图所示。因为对称性,立方结构可以沿a b c 三个等效晶轴形变,产生三个等效变体。为应付边界条件约束、降低系统自由能,这些变体通常自组装为典型的铁弹畴结构。畴结构在外应力场作用下会发生演化,引起宏观性能强烈非线性响应,这就是所谓的铁弹性。如果四方结构同时具有极性,则在相变应变的基础上会同时产生极化。这样的畴结构则是铁电畴。也就是说,铁弹畴也可能是铁电畴,但铁电畴未必一定是铁弹的。比如,极化方向相反的铁电畴组合,并不具有相变应变。


图4. 铁弹非极性畴 (上) 与铁电极性畴 (下) 的二维展示。


3
电致应变


看君也许会说:极性与否、铁电还是铁弹,who cares?太阳能电池效率才是王道。的确如此!不过,早期研究认为,铁电极化所产生的退极化场,有助于光生电子与空穴的分离,是有利于光伏转换的。也有DFT 第一性原理计算表明,铁电电荷畴界可以为光生载流子提供一个高速输运通道。此外,还有研究认为,铁电极性与钙钛矿太阳能电池 J-V 曲线的迟滞有关,虽然目前普遍认为这一迟滞主要是由离子运动引起的。因此,有机无机杂化钙钛矿是否具有极性,与太阳能电池的性能还是密切相关的。光伏研究的法则是:只要能上效率,巴人和白雪都重要!

 

那么,为什么这两篇高影响力论文,运用同样的PFM 方法、研究同样的钙钛矿材料、看到非常类似的畴结构,却会得出截然不同的结论呢?要回答这个问题,我们先复习一下力-电耦合响应的机理。

 

电介质中的力-电耦合,本质是二阶电致伸缩效应 (电致应变),这在绝缘体中普遍存在。这一效应正比于极化强度的平方。我们知道,极化有自发的,如热释电和铁电材料;也有外场诱导的,如介电材料或者电化学偶极子。因此,电致应变可以简单表述为以下方程:



由此可见:如果结构是极性的,存在较大自发极化 (P),则电致应变是线性主导的,也就是压电性。而对非极性材料而言,极化是电场诱导的,电致应变则是二阶主导。2014 年,华盛顿大学 Nataly Chen 等利用这一现象发展了一倍频 (first harmonic) 和二倍频 (second harmonic) PFM 技术,来分辨扫描探针测定的力-电耦合响应所对应的微观机理,如图所示。细节可见其发表在 APL 上的那篇著名论文。简而言之,一倍频通过交流电压激励,并在相同频率处测量其电致应变,体现的是线性效应。二倍频是在激励频率的二倍频率处测量,体现的是二阶效应。湘潭大学与中科院深圳先进技术研究院余俊熹等人,利用这一方法,比较了经典铁电材料铁酸铋 (BFO) 与硅 (Si) 的电致应变,如图所示。结果清晰表明:极性铁电材料以一阶线性效应主导,而非极性介电材料则以二阶非线性效应主导。这也证明一倍频与二倍频PFM 的确可用于分辨材料极性与否。后一工作发表于JAP 123, 155104 (2018)上,作者也开源发布了计算机控制与数据处理程序,大家有兴趣可以下载使用。


图5. 一倍频和二倍频PFM。

 

图6. 硅 (上图) 与铁酸铋 (下图) 一阶二阶电致应变比较。


对于好的绝缘体,前面提及的 PFM 技术可以很好地发挥作用。不过,对有机无机杂化这类体系,普遍存在的电致离子运动会产生电化学偶极子。这也是一类电致极化、且还是动力学的,从而给问题增加了额外的复杂性和困难。辨认这一效应也有一些办法。比如,这种电化学局域离子运动会引起能量损耗,这一耗散远大于压电应变所引起的损耗。测量这种耗散似乎为区分极性和非极性材料提供了一个准则。原子力显微镜中的悬臂梁振动,可以用带阻尼的谐振子模型 (SHO) 予以描述。湘潭大学谢淑红等人在 2012 年的一篇 Nanoscale 论文中提出,通过双频跟踪法 (DART) 结合 SHO,可以确定振动的品质因子 Q,如图所示,其倒数与能量损耗正相关。因此,也可借助的比较,来分辨材料结构的极性和非极性。此外,Nataly Chen 等人也发现:压电材料对称性较低,在合适的晶体取向下,体系还具有电致剪切应变。电化学偶极子对称性高,通常不具备电致剪切应变。余俊熹等通过BFO 和Si 的对比,的确证实了这一结论。


图7. 带阻尼的谐振子模型(SHO) 确定能量损耗。


到此,我们已经至少拥有三项相对独立的指标,来分辨材料极性与非极性。为了在较清晰的畴结构中验证这一点,需要好的材料样品。幸运的是,石家庄铁道大学赵晋津等人在TiO2 电子传输层上直接合成了高质量的 CH3NH3PbI单晶薄膜,并制备成器件,获得了接近9 % 的转换效率,如图所示。


图8. 高质量的 CH3NH3PbI3 单晶薄膜表征结果。


4
畴的花样


万事俱备了。黄博远等人随后利用这一单晶,对其畴结构进行了深入分析,以揭示CH3NH3PbI3 到底有没有铁电压电。结果如何呢?

 

首先,他们看到:单晶中畴结构普遍存在,通过极性光学显微镜、扫描电镜、AFM形貌、和PFM,都可以观察到。借助畴界夹角,结合晶体学分析,他们可以确定表面晶向取向以及相应畴的变体,并得到TEM、同步辐射以及背散射电子像所证实。很大可能,这些畴是立方 四方相变所产生的变体所形成的结构。

 

其次,这些畴究竟是铁电的、还是铁弹的呢?他们观测到:对电致正应变而言,存在高响应畴和低响应畴,如图所示。有意思的是,高响应畴中一阶线性效应占主导,而低响应畴中二阶非线性畴占主导。这似乎说明:高响应畴是极性的,而低响应畴是非极性的呢?

 

果真如此吗?


图9. 高低响应畴一阶二阶应变比较。


黄博远等人进一步分析揭示:高正应变响应的畴在合适取向下具有高的剪切应变,与极性畴匹配;低正应变响应的畴剪切应变响应低,在 SHO 下无解,与非极性畴匹配,如图10 所示。与此相关的是,通过 SHO 拟合,得到高响应畴品质因子 Q 高、损耗低,而低响应畴品质因子低、损耗高。也就是说,这三个相对独立的测试都表明:在CH3NH3PbI3 单晶中,极性与非极性畴共存。极性畴应变是压电的,而非极性畴应变是离子运动所产生的电化学偶极子引起的。


图10. 高低响应、剪切应变与品质因子,表明极性与非极性畴共存。


行文到此,本文的标题“离子运动还是铁电压电”的意涵呼之欲出了!还有什么疑问吗?有的:例如,黄劲松研究组曾经尝试通过电场翻转他们所观测到的畴结构,但没有看到畴变。其实,钙钛矿光伏材料高手们并非智者千虑而一失,而是早就心有戚戚啦!事实上,这样的实验观测与非极性的铁弹畴自洽,但与极性 - 非极性畴共存的图像也不矛盾。在如图10 所示的物理图像下,电活性的极性畴被非电活性的铁弹畴所钳制,无法为电场所翻转,如图11 所示。也就是说,极性 非极性畴交替共存的物理图像,与此前的一系列实验观测并不矛盾。而且,第一性原理计算表明:两类结构在能量上差异极小,能量平衡很容易被改变。这也是两种畴共存的基础。另外,在极性畴界,由于极化不连续所产生的退极化能很容易被材料中广泛存在的光生载流子所屏蔽。这样一个共存畴结构的存在,既在能量图景中顺理成章,也将前人一众结果至于合理解释之中。皆大欢喜!


图11. 极性与非极性畴共存。


5
光电转换


其实,最终的物理问题应该是这样的:一个极性 非极性交替共存畴结构,对光伏转换究竟有什么影响?

 

黄博远等发现:两者之间存在直接关联,如图 12 所示。极性畴光生电流低,非极性畴光生电流高,而且畴界并未显示高的电导。这一结果绝对与我们的期待背道而驰,与此前的一些理论预期也有差异。其中原因可能有多种,目前尚在进一步研究之中。


图12. 极性非极性共存畴结构(左)与光电流(右)的关联。

 

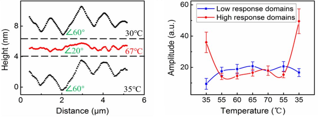
更有意思的是,无论是畴结构、压电响应、还是光电流,在升温降温过程中,都随相变产生明显的记忆效应,如图 13 所示。也就是说,畴结构在相变温度以上消失,在相变温度下恢复。这进一步证明了光电流与畴结构之间的紧密关联。这个副产品可能也很重要,为此类体系的畴控制研究找到了夹缝中成长与扩张的理由!


图13. AFM 形貌(上),PFM 响应(中),光电流(下) 相变过程中的记忆效应。

 

畴结构随温度的变化,也进一步证实了极性 非极性畴所具有的不同力 电耦合响应机理和变化趋势,如图14 所示。极性畴响应随温度升高而降低,非极性畴响应随温度升高而升高,两者在相变温度以上重合。也就是说,在相变温度以上,极性畴极性消失,仅剩余离子运动所引起的电化学应变,与非极性畴无异!


图14. 极性非极性畴温度变化趋势。


基于以上结果,再回过头来看。其实,在2017 Nanoscale 的一篇文章中,华盛顿大学王珮琪和石家庄铁道大学赵晋津等人就发现:多晶样品中,存在一些区域,其一阶线性效应主导,而另一些区域二阶非线性效应主导。只是当时没有清晰地意识到极性和非极性畴结构共存这样的图像。在该体系中,她们进一步观测到:光照对铁电翻转的矫顽场及其偏置产生显著影响,甚至能通过光生内置电场诱导极化翻转。现在来看,这些早期的结果为当前的工作做了很好的注脚。

 

极性 非极性畴共存这一结果虽是意料之外,但也是情理之中。数据虽然清晰,但发表过程并不顺利。碰壁两三家 (发表论文的进动效应) 后,论文蒙俊明老师执编的npj Quantum Materials 收录 (B. Y. Huang et al, Ferroic domains regulate photocurrent in single-crystalline CH3NH3PbIfilms self-grown on FTO/TiO2 substrate, npj Quantum Materials 3, 30 (2018)),看君可点击本文结尾处的“阅读原文”浏览一二。

 

毫无疑问,跨界的争议性结论不被看好也是自然的。结论虽然自洽,但是否能够经受进一步检验,也有待时间。不过,这个材料体系太不稳定,在TEM 下寻求其本征结构的许多尝试,都无功而返。也许真的只能靠动态应变这样的跨界工具,分辨细微差异结构不同的功能响应。作者们面对起初貌似矛盾的数据,苦思不得其解,山穷水尽之际,突然又灵光一现,并在其后的一系列数据分析之中得到证实。这样的过程,其幸福感不言而喻。这也是我们研究的真正乐趣所在。


有意加入该研究团队的人才欢迎投递简历,详情点击先进原子力显微方法与应用博士后等科研岗位招聘查看


备注: 题诗乃 Ising 所加。


点击阅读原文 查看论文原文。

扩展阅读

 

高温超导体结构不均匀性对其超导温度的影响

颗粒非晶体系塑性的结构及拓扑机制

二维TMC材料合成全纪实

超导维度、超越维度

唯像洁简、物格纷繁

本文系网易新闻·网易号“各有态度”特色内容

媒体转载联系授权请看下方

登录查看更多
0

相关内容

【KDD2020】自适应多通道图卷积神经网络
专知会员服务
121+阅读 · 2020年7月9日
麻省理工学院MIT-ICLR2020《神经网络能推断出什么?》
专知会员服务
51+阅读 · 2020年2月19日
【论文】结构GANs,Structured GANs,
专知会员服务
15+阅读 · 2020年1月16日
阿里巴巴达摩院发布「2020十大科技趋势」
专知会员服务
108+阅读 · 2020年1月2日
【BAAI|2019】用深度学习模拟原子间势,王涵  (附pdf)
专知会员服务
18+阅读 · 2019年11月21日
深海打捞K-129,冷战中的奇迹工程【六】
余晟以为
12+阅读 · 2019年5月31日
深海打捞K-129,冷战中的奇迹工程【四】
余晟以为
6+阅读 · 2019年5月21日
同质结中的“超注入”现象:半导体光源迎来新机遇!
【材料课堂】TEM复杂电子衍射花样的标定原理
材料科学与工程
39+阅读 · 2019年4月12日
揭开GANs的神秘面纱
机器学习算法与Python学习
10+阅读 · 2019年2月27日
思维发展型课堂的概念、要素与设计
MOOC
4+阅读 · 2018年12月18日
【泡泡图灵智库】HSfM: 混合运动恢复结构(CVPR)
泡泡机器人SLAM
11+阅读 · 2018年12月13日
10000个科学难题 • 制造科学卷
科学出版社
13+阅读 · 2018年11月29日
Arxiv
5+阅读 · 2019年6月5日
Attend More Times for Image Captioning
Arxiv
6+阅读 · 2018年12月8日
Arxiv
3+阅读 · 2018年4月9日
VIP会员
相关VIP内容
相关资讯
深海打捞K-129,冷战中的奇迹工程【六】
余晟以为
12+阅读 · 2019年5月31日
深海打捞K-129,冷战中的奇迹工程【四】
余晟以为
6+阅读 · 2019年5月21日
同质结中的“超注入”现象:半导体光源迎来新机遇!
【材料课堂】TEM复杂电子衍射花样的标定原理
材料科学与工程
39+阅读 · 2019年4月12日
揭开GANs的神秘面纱
机器学习算法与Python学习
10+阅读 · 2019年2月27日
思维发展型课堂的概念、要素与设计
MOOC
4+阅读 · 2018年12月18日
【泡泡图灵智库】HSfM: 混合运动恢复结构(CVPR)
泡泡机器人SLAM
11+阅读 · 2018年12月13日
10000个科学难题 • 制造科学卷
科学出版社
13+阅读 · 2018年11月29日
Top
微信扫码咨询专知VIP会员