【从复数开始的科技文明II】- 文化脉络中的数学 10

2017 年 8 月 20 日 遇见数学 单维彰

以下视频自单维彰教授Youtube账户

已经得到单老师授权许可, 这里表示诚挚的感谢!!

编辑|设计: 李想

 

单维彰教授, 美国宾州州立大学博士, 台湾的中央大学师资培育中心与数学系合聘副教授. 


"我以中国式的知识份子为己任"



「结合律的出现

从此代数有了全新的视野

点击边框调出视频工具条


抽象代数的滥觞

据汉弥尔顿的日记,他在都柏林附近的Brougham桥(金雀花桥)上获得四元数的灵感。如今,桥上树立一块纪念此事的碑,而碑文上刻著的一条等式 ijk=-1 就表现了结合律. 

事实上,「结合律」这个名词就是在哈密尔顿讨论四元数的时候首度出现。在四元数之前,数学家并没有讨论过不满足结合律或交换律的运算;也就是从四元数开始,数学的「代数」支系有了全新的视野:人们可以在一个全然人造的符号系统中定义加减乘除,并讨论其运算性质。


现在,我们应该可以不过份失真地诠释哈密尔顿发展四元数的心理状态:他要找到一种和直线数(实数)与平面数(复数)都相容的空间数。后人评判哈密尔顿是英国仅次于牛顿的伟大数学家;而且,也像牛顿一样,他的物理学家身份可能更胜于數学家。但是,在四元数上,哈密尔顿是一位道道地地的纯数学家:他最关心的是数学内部的一致性,或者說是数学的「美」。


哈密尔顿虽然也全面地在物理上示范四元数的应用,范围包括当时所知的流体力学、热力学和光学(他在这些物理课题上已经声名卓著),但是这些示范并没有产生新的物理知识,也没有简化原來的理论和计算,事实上可能还为了一致性的美而付出更高的计算代价。真正可以仰仗四元数而发展的物理观念,在哈密尔顿身故 (1865) 之后才发生,那就是麦克斯韦 (James Maxwell, 1831—79) 的电磁理论。


詹姆斯·克拉克·麦克斯韦(James Clerk Maxwell)

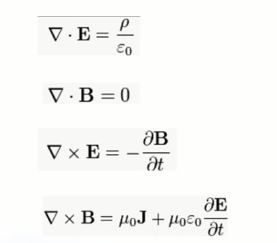
詹姆斯·克拉克·麦克斯韦(1831.6.13-1879.11.5),苏格兰数学物理学家, 其最大功绩是提出了将电、磁、光统归为电磁场中现象的麦克斯韦方程组. 

在麦克斯韦于1873年出版的画时代著作《电磁通论》(A Treatise on Electricity and Magnetism) 里面的数学,的确是四元数,但是麦克斯韦也不厌其烦地阐述「笛卡儿方法」,也就是分别描述x坐标、y坐标和z坐标的方程式,并且不止一次提到:如果能将纯量和向量的计算分开来做,应该会更简洁,而且更直接对应物理意义。


麦克斯韦出版《电磁通论》之后短短六年就过世了,来不及实现他心目中更「简洁」的向量数学。这份著作引领了许多跟随者,包括美国耶魯大学的吉布斯教授 (Willard Gibbs, 1839—1903) 和英国的自学天才亥维赛 (Oliver Heaviside, 1850—1925). 


约西亚·威拉德·吉布斯(Josiah Willard Gibbs)

吉布斯(1839年2月11日-1903年4月28日)是一位美国科学家. 他在物理学、化学以及数学领域都做出了重大的理论贡献。吉布斯还将麦克斯韦方程组引入物理光学的研究, 并与英国科学家奥利弗·亥维赛各自独立发展了现代矢量分析理论.

吉布斯读《电磁通论》的时候已经是教授而且已经发表了重要的物理论文,但是他读了这本书之后才开始学习四元数,当作研究电磁学的工具。过程中他洞察四元数有「多余的」性质可以略去,只要汲取向量的标量乘法(台:系数积)、内积、外积和一些我们在大一微积分课程中学习的微分与积分的运算,就能描述电磁现象并据以计算和推论。吉布斯从1877年起开授电磁学课程,在课堂上采用他发展的向量方法;后來,他在1881年自费印刷了向量讲义,除了课堂使用以外,陆续邮寄了大约130份给欧美各地的同行。二十年后的1901年,总算由他的学生Wilson代笔撰写并正式出版为《向量分析》(Vector Analysis) 教科书. 


奥利弗·亥维赛(Oliver Heaviside)

亥维赛(1850年5月18日-1925年2月3日)英国自学成才的物理学家, 在电磁学上举足轻重的麦克斯韦方程组重新表述,由四元数改为矢量,将原来20条方程减到4条微分方程.

亥维赛讀《电磁通论》》的时候是一位失学而且无业的24岁「啃老族」,他决定要自修成为一名电磁学家。他同样是为了研究电磁学而学习四元数,也同样将四元数「去芜存菁」成空间向量及其运算,并应用在他1883年发表的电磁学论文里。当他在1888年拿到吉布斯的讲义时,赫然发现他们发展了完全一样的向量方法。但是这两人从來不曾争论谁先谁后,或许他们是当时世界上唯二的向量推手,必须惺惺相惜吧. 




「寻找最好形式的空间数」

尽管向量的计算规则如此之「丑」,物理学者和其他的科学家终究因为实用性而选择了它

点击边框调出视频工具条


实用为王 - 不美总比不妙好

相对于四元数,空间向量并不相容于实数,也不能自成一个代数系统。向量内积的结果不再是向量,所以内积不是向量乘法;而外积的结果虽然是向量,却不满足结合律. 

会有非零向量之外积是零向量的窘况(任兩个平行向量的外积是零向量)。尽管向量的计算规则如此之「丑」,物理学者和其他的科学家终究因为实用性而选择了它. 

△麦克斯韦方程组使用向量描述而简洁太多



向量解开了坐标的秘密

复数平面揭开了平面向量的原型,坐标不再只是被动地记录点的位置,释放了坐标本身的威力. 就像物理学家解开了原子的秘密一样威力巨大而影响深远. 


哈密尔顿遗漏了什么吗? 

至于哈密尔顿,他有更好的选择吗?他是不是没有找到最好的空间数形式?有没有更妙的空间数等著我们这些后人发掘呢?简单地說:没有了。霍维茨 (Adolf Hurwitz, 1859—1919) 在1898年证明:在合理的条件下,所有的「数系」只有四种:实数、复数、四元數,和一种相当于是由四元数所造成的复数。所以,哈密尔顿毕竟是位大师级的数学家,他之所以没想到更妙的形式,是因为它根本不存在. 

阿道夫·胡尔维茨(Adolf Hurwitz, 1859年3月26日-1919年11月18日)德国数学家. 


《从复数开始的科技文明》一章完

此《文化脉络中的数学》系列共 43 个视频, 限于微信平台限制 [遇见数学] 每次 2~3 个视频整理发布, 前 26 集请看以往发布


更多视频请移步单教授油管频道:shannweichang

或继续关注 [遇见数学] 每天发布整理后文章, 感谢关注!

部分图片来源网络, 如有不妥, 联删. 


[遇见数学] 下期预告

8 月 22 日

《公元1950~2000年数学计算进化史10

图灵测试、纳什平衡、第一次用数值计算方法天气预报、细胞自动机、国际单位制的诞生、第一个编译型语言、哥德巴赫猜想研究上的里程碑

......


簡單

豐富

有趣

形象

拨开知识的层层密林,探寻美妙数学中的趣味.



「予人玫瑰, 手留余香」

✬非常感谢您关注支持本号更快发展! ✬

登录查看更多
0

相关内容

数学是关于数量、结构、变化等主题的探索。
【纽约大学】最新《离散数学》笔记,451页pdf
专知会员服务
131+阅读 · 2020年5月26日
最新《机器学习理论初探》概述
专知会员服务
48+阅读 · 2020年5月19日
 第八届中国科技大学《计算机图形学》暑期课程课件
专知会员服务
62+阅读 · 2020年3月4日
《代码整洁之道》:5大基本要点
专知会员服务
50+阅读 · 2020年3月3日
2019中国硬科技发展白皮书 193页
专知会员服务
86+阅读 · 2019年12月13日
做机器学习和AI必备的42个数学知识点
AI前线
9+阅读 · 2018年12月6日
看精彩美剧学数学 - 数字追凶103:向量
遇见数学
6+阅读 · 2018年7月29日
丘成桐:攻克物理难题的数学大师
科技导报
5+阅读 · 2018年7月23日
搞人工智能必备“数学库”
机器学习算法与Python学习
5+阅读 · 2017年11月20日
图解高等数学|线性代数
遇见数学
39+阅读 · 2017年10月18日
独家 | 一文读懂自然语言处理NLP(附学习资料)
数据派THU
9+阅读 · 2017年10月11日
大学数学不好,或许是数学教材的锅?
算法与数学之美
15+阅读 · 2017年8月1日
【基础数学】- 01
遇见数学
20+阅读 · 2017年7月25日
Hierarchical Deep Multiagent Reinforcement Learning
Arxiv
8+阅读 · 2018年9月25日
Arxiv
22+阅读 · 2018年8月30日
Arxiv
6+阅读 · 2018年8月27日
Arxiv
10+阅读 · 2018年4月19日
Arxiv
3+阅读 · 2018年2月12日
VIP会员
相关VIP内容
相关资讯
做机器学习和AI必备的42个数学知识点
AI前线
9+阅读 · 2018年12月6日
看精彩美剧学数学 - 数字追凶103:向量
遇见数学
6+阅读 · 2018年7月29日
丘成桐:攻克物理难题的数学大师
科技导报
5+阅读 · 2018年7月23日
搞人工智能必备“数学库”
机器学习算法与Python学习
5+阅读 · 2017年11月20日
图解高等数学|线性代数
遇见数学
39+阅读 · 2017年10月18日
独家 | 一文读懂自然语言处理NLP(附学习资料)
数据派THU
9+阅读 · 2017年10月11日
大学数学不好,或许是数学教材的锅?
算法与数学之美
15+阅读 · 2017年8月1日
【基础数学】- 01
遇见数学
20+阅读 · 2017年7月25日
Top
微信扫码咨询专知VIP会员