统计挖掘那些事(五)--(理论+案例)如何通俗地理解极大似然估计?

2018 年 6 月 14 日 R语言中文社区

点击上方蓝色字体,关注我们

作者简介

浩彬老撕,R语言中文社区特邀作者,好玩的IBM数据工程师,立志做数据科学界的段子手。

个人公众号:探数寻理


往期回顾:

统计挖掘的一些事一些情(一)

统计挖掘的一些事一些情(二)——回归分析(附数据)

统计挖掘那些事(三)-超详尽回归分析指南(理论+动手案例)

统计挖掘那些事(四)-9个相关R先生的故事(理论+动手案例)





极大似然估计最早在1821年首先由咱们的数学王子,高斯所提出。不过人们普遍认为这一方法的广大应用还是主要归功于,现代统计学的奠基人之一,英国统计学习费舍尔。从1912年起,他建立了以最大似然估计为中心的点估计理论。


实际上,极大似然估计很直观,按照字面理解,极大似然估计的意思就是最大那种可能的估计。而这种思想,不夸张地说,在咱们日常生活中也是充满了极大似然估计的身影。


咱们举个例子:

假如有一天你和基友阿翔在上学的途中,看到有一个前面一个身影进了你们等下正要上课的教室。前面的身影走得比较快,你仅仅看到是ta有一把长发。这个时候,你的基友阿翔问你,“咦,前面这个同学走得很快哦,没有看清,是男生还是女生?”


于是,你站在路上想了一下,酷酷地回答说,“是个女生”。

好了,这确实是一个极大似然估计思考的过程,让我们简单回顾一下:

你看到了一个人走进课室,并且看到ta是长头发的。尽管这个同学可能是男的,也可能是女,但是你根据经验判断,女生的长头发的可能性有95%,男生长头发的可能性只有4%,于是,你根据这个可能性做出了判断,她是一个女生。没错,这种按照可能性最大的猜测正是极大似然估计的思想。


好了,接下来,让我们正式定义极大似然估计方法:



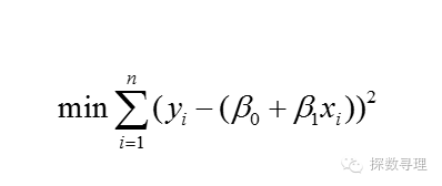
接下来,我们不妨把极大似然估计应用在一元回归分析中进行举例,同时也可以与最小二乘法结果进行比较:


留意到,对于上式最大值,也就是我们需要对右边部分取得最小值,也即



这与我们最小二乘法的目标是完全一致的!这显然是一个有趣的结果。


值得注意的是,在极大似然估计中,我们是假定了随机误差需要服从正态分布,这也提示我们,对于极大似然估计,我们的结果是对我们对于随机变量所假设的概率分布有依赖性的,因此也就要求我们要有一定的先验知识。


最后,咱们简单总结一下极大似然估计的步骤:

((1)根据概率密度函数写出似然函数;

(2)对似然函数取对数,并整理;

3)对对数似然函数求解最大值(一般可以通过求导数解得);





大家都在看

2017年R语言发展报告(国内)

R语言中文社区历史文章整理(作者篇)

R语言中文社区历史文章整理(类型篇)


公众号后台回复关键字即可学习

回复 R                  R语言快速入门及数据挖掘 
回复 Kaggle案例  Kaggle十大案例精讲(连载中)
回复 文本挖掘      手把手教你做文本挖掘
回复 可视化          R语言可视化在商务场景中的应用 
回复 大数据         大数据系列免费视频教程 
回复 量化投资      张丹教你如何用R语言量化投资 
回复 用户画像      京东大数据,揭秘用户画像
回复 数据挖掘     常用数据挖掘算法原理解释与应用
回复 机器学习     人工智能系列之机器学习与实践
回复 爬虫            R语言爬虫实战案例分享

登录查看更多
1

相关内容

【2020新书】监督机器学习,156页pdf,剑桥大学出版社
专知会员服务
154+阅读 · 2020年6月27日
【干货书】数值计算C编程,319页pdf,Numerical C
专知会员服务
72+阅读 · 2020年4月7日
【干货书】机器学习Python实战教程,366页pdf
专知会员服务
346+阅读 · 2020年3月17日
机器学习速查手册,135页pdf
专知会员服务
345+阅读 · 2020年3月15日
从信息论的角度来理解损失函数
深度学习每日摘要
17+阅读 · 2019年4月7日
【机器学习】深入剖析机器学习中的统计思想
产业智能官
17+阅读 · 2019年1月24日
生活中处处的贝叶斯
算法与数学之美
4+阅读 · 2018年2月19日
概率论之概念解析:极大似然估计
专知
9+阅读 · 2018年1月6日
干货 | 一文搞懂极大似然估计
AI100
7+阅读 · 2017年12月3日
干货|通俗易懂地解释EM算法并举例说明?
机器学习研究会
12+阅读 · 2017年11月17日
Bivariate Beta LSTM
Arxiv
6+阅读 · 2019年10月7日
Phase-aware Speech Enhancement with Deep Complex U-Net
Arxiv
18+阅读 · 2019年1月16日
Parsimonious Bayesian deep networks
Arxiv
5+阅读 · 2018年10月17日
Arxiv
3+阅读 · 2018年10月11日
Arxiv
5+阅读 · 2018年5月28日
Arxiv
5+阅读 · 2018年1月17日
VIP会员
相关资讯
从信息论的角度来理解损失函数
深度学习每日摘要
17+阅读 · 2019年4月7日
【机器学习】深入剖析机器学习中的统计思想
产业智能官
17+阅读 · 2019年1月24日
生活中处处的贝叶斯
算法与数学之美
4+阅读 · 2018年2月19日
概率论之概念解析:极大似然估计
专知
9+阅读 · 2018年1月6日
干货 | 一文搞懂极大似然估计
AI100
7+阅读 · 2017年12月3日
干货|通俗易懂地解释EM算法并举例说明?
机器学习研究会
12+阅读 · 2017年11月17日
相关论文
Bivariate Beta LSTM
Arxiv
6+阅读 · 2019年10月7日
Phase-aware Speech Enhancement with Deep Complex U-Net
Arxiv
18+阅读 · 2019年1月16日
Parsimonious Bayesian deep networks
Arxiv
5+阅读 · 2018年10月17日
Arxiv
3+阅读 · 2018年10月11日
Arxiv
5+阅读 · 2018年5月28日
Arxiv
5+阅读 · 2018年1月17日
Top
微信扫码咨询专知VIP会员