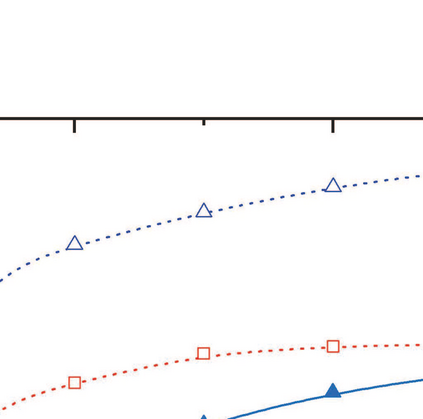
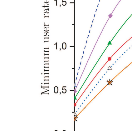
We focus on the realistic maximization of the uplink minimum signal-to-interference-plus-noise ratio (SINR) of a general multiple-input single-output (MISO) system assisted by an intelligent reflecting surface (IRS) in the large system limit accounting for HIs. In particular, we introduce the HIs at both the IRS (IRS-HIs) and the transceiver HIs (AT-HIs), usually neglected despite their inevitable impact. Specifically, the deterministic equivalent analysis enables the derivation of the asymptotic weighted maximum-minimum SINR with HIs by jointly optimizing the HIs-aware receiver, the transmit power, and the reflect beamforming matrix (RBM). Notably, we obtain the optimal power allocation and reflect beamforming matrix with low overhead instead of their frequent necessary computation in conventional MIMO systems based on the instantaneous channel information. Monte Carlo simulations verify the analytical results which show the insightful interplay among the key parameters and the degradation of the performance due to HIs.


翻译:具体地说,确定式的等同分析通过联合优化HIs-aware接收器、传输动力和反射成型矩阵(RBM),使得总多输出单输出量系统(MISO)在大型系统限度内有一个智能反射表面(IRS)的辅助系统(IRS)的辅助系统(IRS-HIS)和收发机HIS(AT-HIS)的HIS(AT-HI)都采用高载荷,尽管其影响不可避免,但通常被忽略。具体地说,确定式的等同分析使得通过联合优化HIs-aware接收器、传输动力和反射成型矩阵(RBMM),能够得出空控器的高度指数,反映低管理模式,而不是根据即时道信息经常在常规MIIM系统中进行的必要计算。 Monte Carlo模拟核查了分析结果,这些分析结果显示关键参数之间有洞察力的相互作用以及HIs的性能退化。

0
下载
关闭预览

相关内容

专知会员服务
59+阅读 · 2021年4月12日
专知会员服务
51+阅读 · 2020年12月14日
Fariz Darari简明《博弈论Game Theory》介绍,35页ppt
专知会员服务
112+阅读 · 2020年5月15日
Python分布式计算,171页pdf,Distributed Computing with Python
专知会员服务
108+阅读 · 2020年5月3日
【哈佛大学商学院课程Fall 2019】机器学习可解释性
专知会员服务
105+阅读 · 2019年10月9日
学术报告|港科大助理教授宋阳秋博士
科技创新与创业
7+阅读 · 2019年7月19日
Call for Participation: Shared Tasks in NLPCC 2019
中国计算机学会
5+阅读 · 2019年3月22日
大数据 | 顶级SCI期刊专刊/国际会议信息7条
Call4Papers
10+阅读 · 2018年12月29日
A Technical Overview of AI & ML in 2018 & Trends for 2019
待字闺中
18+阅读 · 2018年12月24日
【NIPS2018】接收论文列表
专知
5+阅读 · 2018年9月10日
分布式TensorFlow入门指南
机器学习研究会
4+阅读 · 2017年11月28日
【论文】变分推断(Variational inference)的总结
机器学习研究会
39+阅读 · 2017年11月16日
【计算机类】期刊专刊/国际会议截稿信息6条
Call4Papers
3+阅读 · 2017年10月13日
Arxiv
0+阅读 · 2021年9月4日
VIP会员
相关VIP内容
相关资讯
学术报告|港科大助理教授宋阳秋博士
科技创新与创业
7+阅读 · 2019年7月19日
Call for Participation: Shared Tasks in NLPCC 2019
中国计算机学会
5+阅读 · 2019年3月22日
大数据 | 顶级SCI期刊专刊/国际会议信息7条
Call4Papers
10+阅读 · 2018年12月29日
A Technical Overview of AI & ML in 2018 & Trends for 2019
待字闺中
18+阅读 · 2018年12月24日
【NIPS2018】接收论文列表
专知
5+阅读 · 2018年9月10日
分布式TensorFlow入门指南
机器学习研究会
4+阅读 · 2017年11月28日
【论文】变分推断(Variational inference)的总结
机器学习研究会
39+阅读 · 2017年11月16日
【计算机类】期刊专刊/国际会议截稿信息6条
Call4Papers
3+阅读 · 2017年10月13日
Top
微信扫码咨询专知VIP会员