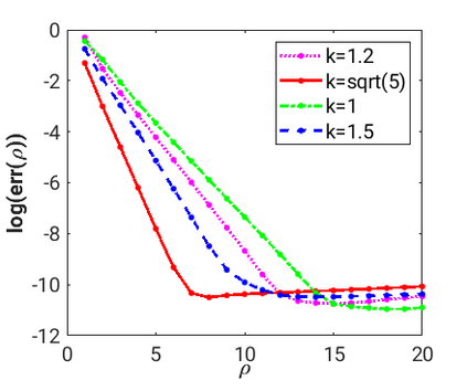
The main task in this paper is to prove that the perfectly matched layers (PML) method converges exponentially with respect to the PML parameter, for scattering problems with periodic surfaces. In [5], a linear convergence is proved for the PML method for scattering problems with rough surfaces. At the end of that paper, three important questions are asked, and the third question is if exponential convergence holds locally. In our paper, we answer this question for a special case, which is scattering problems with periodic surfaces. The result can also be easily extended to locally perturbed periodic surfaces or periodic layers. Due to technical reasons, we have to exclude all the half integer valued wavenumbers. The main idea of the proof is to apply the Floquet-Bloch transform to write the problem into an equivalent family of quasi-periodic problems, and then study the analytic extension of the quasi-periodic problems with respect to the Floquet-Bloch parameters. Then the Cauchy integral formula is applied for piecewise analytic functions to avoid linear convergent points. Finally the exponential convergence is proved from the inverse Floquet-Bloch transform. Numerical results are also presented at the end of this paper.


翻译:本文的主要任务是证明完全匹配的层( PML) 方法与 PML 参数相匹配的层( PML) 相趋近, 以分散周期表面的问题 。 在 [ 5 中, 证明 PML 方法的线性趋同 。 在该文件结尾处, 提出三个重要问题, 第三个问题是指数趋同是否在本地存在 。 在我们的文件中, 我们回答这个问题的是一个特殊案例, 即与周期表面存在分散问题 。 其结果也可以很容易地扩展至被本地扰动的周期表面或周期层 。 由于技术原因, 我们不得不排除所有半整数值的波数 。 证据的主要目的是应用 Floquet- Bloch 转换 来将问题写成对应的半周期问题组, 然后研究与 Floquet- Bloch 参数有关的半周期问题的分析延伸。 然后, Causy 整体公式应用于局部分析函数, 以避免线性趋同点 。 最后, 从 Floquequet- Bloch 变纸中显示的结果也是 。

0
下载
关闭预览

相关内容

专知会员服务
51+阅读 · 2020年12月14日
专知会员服务
54+阅读 · 2020年11月3日
知识图谱推理,50页ppt,Salesforce首席科学家Richard Socher
专知会员服务
111+阅读 · 2020年6月10日
强化学习最新教程,17页pdf
专知会员服务
182+阅读 · 2019年10月11日
[综述]深度学习下的场景文本检测与识别
专知会员服务
78+阅读 · 2019年10月10日
NeurIPS2019机器学习顶会接受论文列表!
GAN生成式对抗网络
17+阅读 · 2019年9月6日
Hierarchically Structured Meta-learning
CreateAMind
27+阅读 · 2019年5月22日
19篇ICML2019论文摘录选读!
专知
28+阅读 · 2019年4月28日
Ray RLlib: Scalable 降龙十八掌
CreateAMind
9+阅读 · 2018年12月28日
disentangled-representation-papers
CreateAMind
26+阅读 · 2018年9月12日
ICLR 2018最佳论文AMSGrad能够取代Adam吗
论智
6+阅读 · 2018年4月20日
【论文】变分推断(Variational inference)的总结
机器学习研究会
39+阅读 · 2017年11月16日
Capsule Networks解析
机器学习研究会
11+阅读 · 2017年11月12日
【学习】Hierarchical Softmax
机器学习研究会
4+阅读 · 2017年8月6日
Arxiv
0+阅读 · 2021年9月6日
Arxiv
0+阅读 · 2021年9月3日
VIP会员
相关VIP内容
专知会员服务
51+阅读 · 2020年12月14日
专知会员服务
54+阅读 · 2020年11月3日
知识图谱推理,50页ppt,Salesforce首席科学家Richard Socher
专知会员服务
111+阅读 · 2020年6月10日
强化学习最新教程,17页pdf
专知会员服务
182+阅读 · 2019年10月11日
[综述]深度学习下的场景文本检测与识别
专知会员服务
78+阅读 · 2019年10月10日
相关资讯
NeurIPS2019机器学习顶会接受论文列表!
GAN生成式对抗网络
17+阅读 · 2019年9月6日
Hierarchically Structured Meta-learning
CreateAMind
27+阅读 · 2019年5月22日
19篇ICML2019论文摘录选读!
专知
28+阅读 · 2019年4月28日
Ray RLlib: Scalable 降龙十八掌
CreateAMind
9+阅读 · 2018年12月28日
disentangled-representation-papers
CreateAMind
26+阅读 · 2018年9月12日
ICLR 2018最佳论文AMSGrad能够取代Adam吗
论智
6+阅读 · 2018年4月20日
【论文】变分推断(Variational inference)的总结
机器学习研究会
39+阅读 · 2017年11月16日
Capsule Networks解析
机器学习研究会
11+阅读 · 2017年11月12日
【学习】Hierarchical Softmax
机器学习研究会
4+阅读 · 2017年8月6日
Top
微信扫码咨询专知VIP会员