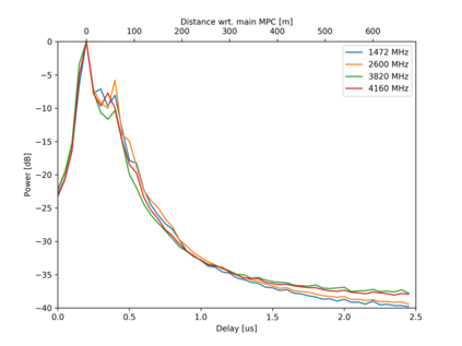
A study of channel hardening in a large-scale antenna system has been carried out by means of indoor channel measurements over four frequency bands, namely 1.472 GHz, 2.6 GHz, 3.82 GHz and 4.16 GHz. NTNU's Reconfigurable Radio Network Platform has been used to record the channel estimates for 40 single user non-line of sight radio links to a 64 element wide-band antenna array. By examining the rms delay spread and the ratio of the normalized subcarrier to average SISO link power of the radio channel received by a single user after combination, the hardening of this equivalent channel is analyzed for various numbers of nodes. The channel hardening merits show consistent behaviour throughout the frequency bands. By combining 16 antennas the rms delay spread of the equivalent channel is reduced from above 100 ns to below 35 ns with significantly reduced variation in the channel power.


翻译:通过对四个频率波段,即1.472千兆赫、2.6千兆赫、3.82千兆赫和4.16千兆赫的室内频道测量,对大型天线系统中的频道加固进行了一项研究。 NTNU的可配置无线电网络平台用于记录40个单一用户非视线无线电连接至64个宽宽度元素天线天线阵列的频道估计数。通过检查一个用户在组合后收到的无线电频道的Rms延迟扩展和正常子载波与平均SISO链接的比重,对等同频道的加固为多个节点进行了分析。频道加固的优点显示整个频率波段的一贯行为。通过将16个天线合并,等同频道的延迟扩展从100毫秒以上减少到35毫秒以下,频道的变异性显著缩小。

0
下载
关闭预览

相关内容

Fariz Darari简明《博弈论Game Theory》介绍,35页ppt
专知会员服务
112+阅读 · 2020年5月15日
深度学习搜索,Exploring Deep Learning for Search
专知会员服务
61+阅读 · 2020年5月9日
因果图,Causal Graphs,52页ppt
专知会员服务
253+阅读 · 2020年4月19日
专知会员服务
61+阅读 · 2020年3月19日
Stabilizing Transformers for Reinforcement Learning
专知会员服务
60+阅读 · 2019年10月17日
[综述]深度学习下的场景文本检测与识别
专知会员服务
78+阅读 · 2019年10月10日
【TED】生命中的每一年的智慧
英语演讲视频每日一推
10+阅读 · 2019年1月29日
强化学习的Unsupervised Meta-Learning
CreateAMind
18+阅读 · 2019年1月7日
Unsupervised Learning via Meta-Learning
CreateAMind
43+阅读 · 2019年1月3日
RL 真经
CreateAMind
5+阅读 · 2018年12月28日
A Technical Overview of AI & ML in 2018 & Trends for 2019
待字闺中
18+阅读 · 2018年12月24日
spinningup.openai 强化学习资源完整
CreateAMind
6+阅读 · 2018年12月17日
Hierarchical Imitation - Reinforcement Learning
CreateAMind
19+阅读 · 2018年5月25日
Reinforcement Learning: An Introduction 2018第二版 500页
CreateAMind
14+阅读 · 2018年4月27日
Auto-Encoding GAN
CreateAMind
7+阅读 · 2017年8月4日
【今日新增】IEEE Trans.专刊截稿信息8条
Call4Papers
7+阅读 · 2017年6月29日
Learning in the Frequency Domain
Arxiv
11+阅读 · 2020年3月12日
Accelerated Methods for Deep Reinforcement Learning
Arxiv
6+阅读 · 2019年1月10日
Arxiv
4+阅读 · 2018年10月5日
Arxiv
15+阅读 · 2018年6月23日
Arxiv
5+阅读 · 2018年6月12日
Arxiv
6+阅读 · 2018年4月24日
Arxiv
3+阅读 · 2018年2月24日
VIP会员
相关VIP内容
Fariz Darari简明《博弈论Game Theory》介绍,35页ppt
专知会员服务
112+阅读 · 2020年5月15日
深度学习搜索,Exploring Deep Learning for Search
专知会员服务
61+阅读 · 2020年5月9日
因果图,Causal Graphs,52页ppt
专知会员服务
253+阅读 · 2020年4月19日
专知会员服务
61+阅读 · 2020年3月19日
Stabilizing Transformers for Reinforcement Learning
专知会员服务
60+阅读 · 2019年10月17日
[综述]深度学习下的场景文本检测与识别
专知会员服务
78+阅读 · 2019年10月10日
相关资讯
【TED】生命中的每一年的智慧
英语演讲视频每日一推
10+阅读 · 2019年1月29日
强化学习的Unsupervised Meta-Learning
CreateAMind
18+阅读 · 2019年1月7日
Unsupervised Learning via Meta-Learning
CreateAMind
43+阅读 · 2019年1月3日
RL 真经
CreateAMind
5+阅读 · 2018年12月28日
A Technical Overview of AI & ML in 2018 & Trends for 2019
待字闺中
18+阅读 · 2018年12月24日
spinningup.openai 强化学习资源完整
CreateAMind
6+阅读 · 2018年12月17日
Hierarchical Imitation - Reinforcement Learning
CreateAMind
19+阅读 · 2018年5月25日
Reinforcement Learning: An Introduction 2018第二版 500页
CreateAMind
14+阅读 · 2018年4月27日
Auto-Encoding GAN
CreateAMind
7+阅读 · 2017年8月4日
【今日新增】IEEE Trans.专刊截稿信息8条
Call4Papers
7+阅读 · 2017年6月29日
相关论文
Learning in the Frequency Domain
Arxiv
11+阅读 · 2020年3月12日
Accelerated Methods for Deep Reinforcement Learning
Arxiv
6+阅读 · 2019年1月10日
Arxiv
4+阅读 · 2018年10月5日
Arxiv
15+阅读 · 2018年6月23日
Arxiv
5+阅读 · 2018年6月12日
Arxiv
6+阅读 · 2018年4月24日
Arxiv
3+阅读 · 2018年2月24日
Top
微信扫码咨询专知VIP会员