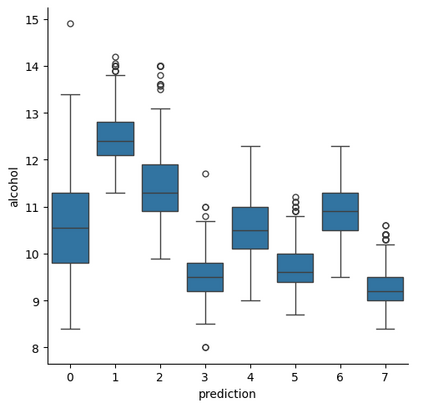
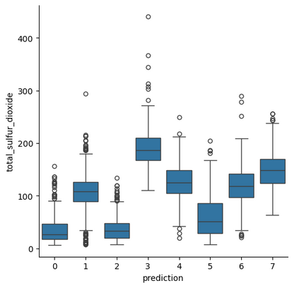
With the recent growth of Deep Learning for AI, there is a need for tools to meet the demand of data flowing into those models. In some cases, source data may exist in multiple formats, and therefore the source data must be investigated and properly engineered for a Machine Learning model or graph database. Overhead and lack of scalability with existing workflows limit integration within a larger processing pipeline such as Apache Airflow, driving the need for a robust, extensible, and lightweight tool to preprocess arbitrary datasets that scales with data type and size. To address this, we present Machine Learning Preprocessing and Exploratory Data Analysis, MLPrE, in which SparkDataFrames were utilized to hold data during processing and ensure scalability. A generalizable JSON input file format was utilized to describe stepwise changes to that DataFrame. Stages were implemented for input and output, filtering, basic statistics, feature engineering, and exploratory data analysis. A total of 69 stages were implemented into MLPrE, of which we highlight and demonstrate key stages using six diverse datasets. We further highlight MLPrE's ability to independently process multiple fields in flat files and recombine them, otherwise requiring an additional pipeline, using a UniProt glossary term dataset. Building on this advantage, we demonstrated the clustering stage with available wine quality data. Lastly, we demonstrate the preparation of data for a graph database in the final stages of MLPrE using phosphosite kinase data. Overall, our MLPrE tool offers a generalizable and scalable tool for preprocessing and early data analysis, filling a critical need for such a tool given the ever expanding use of machine learning. This tool serves to accelerate and simplify early stage development in larger workflows.


翻译:暂无翻译

0
下载
关闭预览

相关内容

强化学习最新教程,17页pdf
专知会员服务
182+阅读 · 2019年10月11日
机器学习相关资源(框架、库、软件)大列表
专知会员服务
40+阅读 · 2019年10月9日
【SIGGRAPH2019】TensorFlow 2.0深度学习计算机图形学应用
专知会员服务
41+阅读 · 2019年10月9日
学习自然语言处理路线图
专知会员服务
140+阅读 · 2019年9月24日
强化学习的Unsupervised Meta-Learning
CreateAMind
18+阅读 · 2019年1月7日
meta learning 17年:MAML SNAIL
CreateAMind
11+阅读 · 2019年1月2日
disentangled-representation-papers
CreateAMind
26+阅读 · 2018年9月12日
论文浅尝 | 利用 RNN 和 CNN 构建基于 FreeBase 的问答系统
开放知识图谱
11+阅读 · 2018年4月25日
Layer Normalization原理及其TensorFlow实现
深度学习每日摘要
32+阅读 · 2017年6月17日
基于LDA的主题模型实践(三)
机器学习深度学习实战原创交流
23+阅读 · 2015年10月12日
国家自然科学基金
2+阅读 · 2015年12月31日
国家自然科学基金
0+阅读 · 2015年12月31日
国家自然科学基金
1+阅读 · 2015年12月31日
国家自然科学基金
0+阅读 · 2015年12月31日
国家自然科学基金
2+阅读 · 2015年12月31日
国家自然科学基金
0+阅读 · 2014年12月31日
国家自然科学基金
1+阅读 · 2014年12月31日
国家自然科学基金
6+阅读 · 2014年12月31日
国家自然科学基金
0+阅读 · 2014年12月31日
国家自然科学基金
6+阅读 · 2014年12月31日
Arxiv
16+阅读 · 2022年5月17日
Arxiv
57+阅读 · 2022年1月5日
Arxiv
18+阅读 · 2021年3月16日
Optimization for deep learning: theory and algorithms
Arxiv
106+阅读 · 2019年12月19日
Augmentation for small object detection
Arxiv
13+阅读 · 2019年2月19日
VIP会员
相关资讯
强化学习的Unsupervised Meta-Learning
CreateAMind
18+阅读 · 2019年1月7日
meta learning 17年:MAML SNAIL
CreateAMind
11+阅读 · 2019年1月2日
disentangled-representation-papers
CreateAMind
26+阅读 · 2018年9月12日
论文浅尝 | 利用 RNN 和 CNN 构建基于 FreeBase 的问答系统
开放知识图谱
11+阅读 · 2018年4月25日
Layer Normalization原理及其TensorFlow实现
深度学习每日摘要
32+阅读 · 2017年6月17日
基于LDA的主题模型实践(三)
机器学习深度学习实战原创交流
23+阅读 · 2015年10月12日
相关论文
相关基金
国家自然科学基金
2+阅读 · 2015年12月31日
国家自然科学基金
0+阅读 · 2015年12月31日
国家自然科学基金
1+阅读 · 2015年12月31日
国家自然科学基金
0+阅读 · 2015年12月31日
国家自然科学基金
2+阅读 · 2015年12月31日
国家自然科学基金
0+阅读 · 2014年12月31日
国家自然科学基金
1+阅读 · 2014年12月31日
国家自然科学基金
6+阅读 · 2014年12月31日
国家自然科学基金
0+阅读 · 2014年12月31日
国家自然科学基金
6+阅读 · 2014年12月31日
Top
微信扫码咨询专知VIP会员