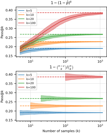
We introduce Codex, a GPT language model fine-tuned on publicly available code from GitHub, and study its Python code-writing capabilities. A distinct production version of Codex powers GitHub Copilot. On HumanEval, a new evaluation set we release to measure functional correctness for synthesizing programs from docstrings, our model solves 28.8% of the problems, while GPT-3 solves 0% and GPT-J solves 11.4%. Furthermore, we find that repeated sampling from the model is a surprisingly effective strategy for producing working solutions to difficult prompts. Using this method, we solve 70.2% of our problems with 100 samples per problem. Careful investigation of our model reveals its limitations, including difficulty with docstrings describing long chains of operations and with binding operations to variables. Finally, we discuss the potential broader impacts of deploying powerful code generation technologies, covering safety, security, and economics.


翻译:我们引入了GPT语言模型Codx, 这个模型根据GitHub的公开代码进行了微调, 并研究了它的 Python 代码写法能力。 一个独特的生产版本的 Codex 权力 GitHub Copilot。 在HumanEval 上, 一个新的评估设定了我们发布来测量从 Docstring 中合成程序功能的正确性, 我们的模式解决了28.8%的问题, 而 GPT-3 解决了0%, GPT-J 解决了11.4% 。 此外, 我们发现从这个模型中反复取样是一个令人惊讶的有效战略, 用来为困难的提示提供工作解决方案。 使用这个方法, 我们用每个问题100个样本解决了70.2%的问题。 对我们的模型的仔细调查揭示了它的局限性, 包括用 docstring描述长的操作链和约束操作到变量的操作的困难。 最后, 我们讨论了使用强大的代码生成技术的潜在更广泛影响, 包括安全、 安全和经济。

1
下载
关闭预览

相关内容

【EMNLP2020】自然语言生成,Neural Language Generation
专知会员服务
39+阅读 · 2020年11月20日
专知会员服务
19+阅读 · 2020年9月6日
Keras François Chollet 《Deep Learning with Python 》, 386页pdf
专知会员服务
163+阅读 · 2019年10月12日
RoBERTa中文预训练模型:RoBERTa for Chinese
PaperWeekly
57+阅读 · 2019年9月16日
计算机 | 国际会议信息5条
Call4Papers
3+阅读 · 2019年7月3日
Call for Participation: Shared Tasks in NLPCC 2019
中国计算机学会
5+阅读 · 2019年3月22日
强化学习的Unsupervised Meta-Learning
CreateAMind
18+阅读 · 2019年1月7日
Unsupervised Learning via Meta-Learning
CreateAMind
43+阅读 · 2019年1月3日
A Technical Overview of AI & ML in 2018 & Trends for 2019
待字闺中
18+阅读 · 2018年12月24日
Facebook PyText 在 Github 上开源了
AINLP
7+阅读 · 2018年12月14日
carla 学习笔记
CreateAMind
9+阅读 · 2018年2月7日
【推荐】自然语言处理(NLP)指南
机器学习研究会
35+阅读 · 2017年11月17日
VIP会员
相关VIP内容
【EMNLP2020】自然语言生成,Neural Language Generation
专知会员服务
39+阅读 · 2020年11月20日
专知会员服务
19+阅读 · 2020年9月6日
Keras François Chollet 《Deep Learning with Python 》, 386页pdf
专知会员服务
163+阅读 · 2019年10月12日
相关资讯
RoBERTa中文预训练模型:RoBERTa for Chinese
PaperWeekly
57+阅读 · 2019年9月16日
计算机 | 国际会议信息5条
Call4Papers
3+阅读 · 2019年7月3日
Call for Participation: Shared Tasks in NLPCC 2019
中国计算机学会
5+阅读 · 2019年3月22日
强化学习的Unsupervised Meta-Learning
CreateAMind
18+阅读 · 2019年1月7日
Unsupervised Learning via Meta-Learning
CreateAMind
43+阅读 · 2019年1月3日
A Technical Overview of AI & ML in 2018 & Trends for 2019
待字闺中
18+阅读 · 2018年12月24日
Facebook PyText 在 Github 上开源了
AINLP
7+阅读 · 2018年12月14日
carla 学习笔记
CreateAMind
9+阅读 · 2018年2月7日
【推荐】自然语言处理(NLP)指南
机器学习研究会
35+阅读 · 2017年11月17日
Top
微信扫码咨询专知VIP会员