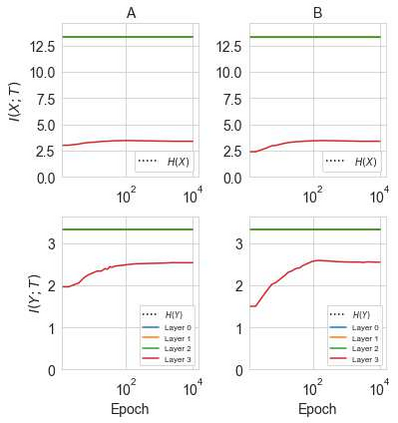
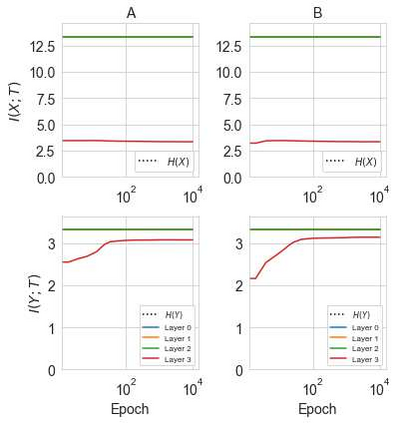
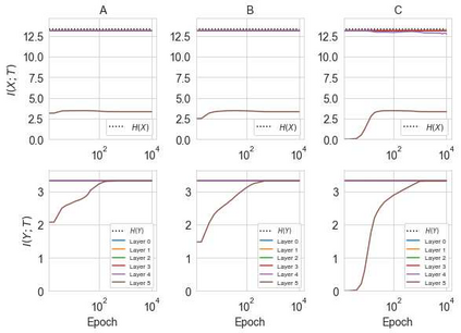
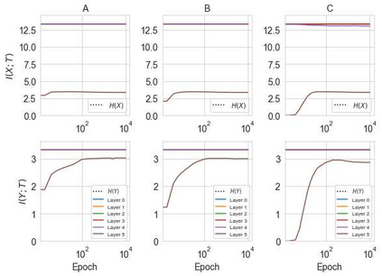
Recent years, many researches attempt to open the black box of deep neural networks and propose a various of theories to understand it. Among them, Information Bottleneck (IB) theory claims that there are two distinct phases consisting of fitting phase and compression phase in the course of training. This statement attracts many attentions since its success in explaining the inner behavior of feedforward neural networks. In this paper, we employ IB theory to understand the dynamic behavior of convolutional neural networks (CNNs) and investigate how the fundamental features such as convolutional layer width, kernel size, network depth, pooling layers and multi-fully connected layer have impact on the performance of CNNs. In particular, through a series of experimental analysis on benchmark of MNIST and Fashion-MNIST, we demonstrate that the compression phase is not observed in all these cases. This shows us the CNNs have a rather complicated behavior than feedforward neural networks.


翻译:近些年来,许多研究试图打开深神经网络的黑盒,并提出各种理论来理解它。其中,信息博特内克(IB)理论声称,在培训过程中,有两个不同的阶段,包括适当阶段和压缩阶段。这个声明吸引了许多关注,因为它成功地解释了进食神经网络的内在行为。在本文中,我们运用IB理论来理解卷发神经网络(CNNs)的动态行为,并调查卷发层宽度、内核大小、网络深度、集合层和多功能连接层等基本特征如何影响CNN的运行。特别是,通过对MNIST和时装-MNIST的基准进行一系列实验分析,我们证明所有这些案例都没有观察到压缩阶段。这向我们展示CNNC有比进取神经网络更为复杂的行为。

0
下载
关闭预览

相关内容

神经网络(Neural Networks)是世界上三个最古老的神经建模学会的档案期刊:国际神经网络学会(INNS)、欧洲神经网络学会(ENNS)和日本神经网络学会(JNNS)。神经网络提供了一个论坛,以发展和培育一个国际社会的学者和实践者感兴趣的所有方面的神经网络和相关方法的计算智能。神经网络欢迎高质量论文的提交,有助于全面的神经网络研究,从行为和大脑建模,学习算法,通过数学和计算分析,系统的工程和技术应用,大量使用神经网络的概念和技术。这一独特而广泛的范围促进了生物和技术研究之间的思想交流,并有助于促进对生物启发的计算智能感兴趣的跨学科社区的发展。因此,神经网络编委会代表的专家领域包括心理学,神经生物学,计算机科学,工程,数学,物理。该杂志发表文章、信件和评论以及给编辑的信件、社论、时事、软件调查和专利信息。文章发表在五个部分之一:认知科学,神经科学,学习系统,数学和计算分析、工程和应用。 官网地址:http://dblp.uni-trier.de/db/journals/nn/
【IJCAJ 2020】多通道神经网络 Multi-Channel Graph Neural Networks
专知会员服务
26+阅读 · 2020年7月19日
【ICML2020】持续图神经网络,Continuous Graph Neural Networks
专知会员服务
151+阅读 · 2020年6月28日
《DeepGCNs: Making GCNs Go as Deep as CNNs》
专知会员服务
31+阅读 · 2019年10月17日
Hierarchical Disentangled Representations
CreateAMind
4+阅读 · 2018年4月15日
Capsule Networks解析
机器学习研究会
11+阅读 · 2017年11月12日
【推荐】卷积神经网络类间不平衡问题系统研究
机器学习研究会
6+阅读 · 2017年10月18日
可解释的CNN
CreateAMind
17+阅读 · 2017年10月5日
【推荐】用Tensorflow理解LSTM
机器学习研究会
36+阅读 · 2017年9月11日
【推荐】RNN/LSTM时序预测
机器学习研究会
25+阅读 · 2017年9月8日
Auto-Encoding GAN
CreateAMind
7+阅读 · 2017年8月4日
最大熵原理(一)
深度学习探索
12+阅读 · 2017年8月3日
已删除
Arxiv
33+阅读 · 2020年3月23日
Geometric Graph Convolutional Neural Networks
Arxiv
10+阅读 · 2019年9月11日
Arxiv
3+阅读 · 2019年3月15日
Simplifying Graph Convolutional Networks
Arxiv
12+阅读 · 2019年2月19日
Arxiv
19+阅读 · 2018年6月27日
VIP会员
相关VIP内容
【IJCAJ 2020】多通道神经网络 Multi-Channel Graph Neural Networks
专知会员服务
26+阅读 · 2020年7月19日
【ICML2020】持续图神经网络,Continuous Graph Neural Networks
专知会员服务
151+阅读 · 2020年6月28日
《DeepGCNs: Making GCNs Go as Deep as CNNs》
专知会员服务
31+阅读 · 2019年10月17日
相关资讯
Hierarchical Disentangled Representations
CreateAMind
4+阅读 · 2018年4月15日
Capsule Networks解析
机器学习研究会
11+阅读 · 2017年11月12日
【推荐】卷积神经网络类间不平衡问题系统研究
机器学习研究会
6+阅读 · 2017年10月18日
可解释的CNN
CreateAMind
17+阅读 · 2017年10月5日
【推荐】用Tensorflow理解LSTM
机器学习研究会
36+阅读 · 2017年9月11日
【推荐】RNN/LSTM时序预测
机器学习研究会
25+阅读 · 2017年9月8日
Auto-Encoding GAN
CreateAMind
7+阅读 · 2017年8月4日
最大熵原理(一)
深度学习探索
12+阅读 · 2017年8月3日
相关论文
Top
微信扫码咨询专知VIP会员