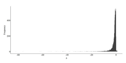
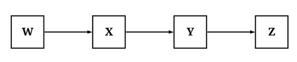
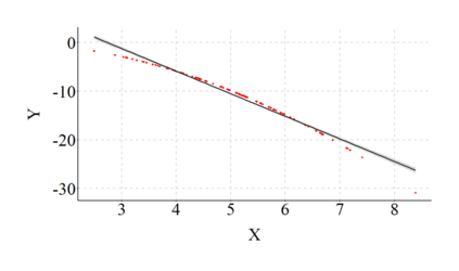
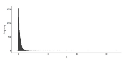
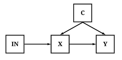
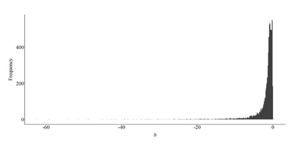
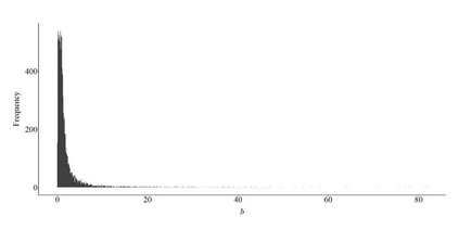
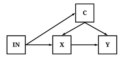
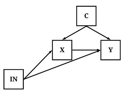
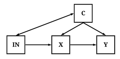
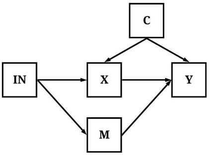
When teaching and discussing statistical assumptions, our focus is oftentimes placed on how to test and address potential violations rather than the effects of violating assumptions on the estimates produced by our statistical models. The latter represents a potential avenue to help us better understand the impact of researcher degrees of freedom on the statistical estimates we produce. The Violating Assumptions Series is an endeavor I have undertaken to demonstrate the effects of violating assumptions on the estimates produced across various statistical models. The series will review assumptions associated with estimating causal associations, as well as more complicated statistical models including, but not limited to, multilevel models, path models, structural equation models, and Bayesian models. In addition to the primary goal, the series of posts is designed to illustrate how simulations can be used to develop a comprehensive understanding of applied statistics.


翻译:在教学和讨论统计假设时,我们的重点往往放在如何测试和处理可能的违规情况,而不是违反对统计模型估计的假设的影响,统计模型是帮助我们更好地了解研究者自由度对我们所编制的统计估计的影响的潜在途径。《违反假设系列》是我为证明违反对各种统计模型产生的估计的假设所产生的影响而做的一项努力。系列将审查与估计因果关联有关的假设,以及更为复杂的统计模型,包括但不限于多级模型、路径模型、结构等式模型和巴伊西亚模型。除了主要目标外,系列员额的设计还旨在说明如何利用模拟来全面了解应用的统计数据。

0
下载
关闭预览

相关内容

专知会员服务
16+阅读 · 2021年5月21日
【如何做研究】How to research ,22页ppt
专知会员服务
114+阅读 · 2021年4月17日
【干货书】机器学习速查手册,135页pdf
专知会员服务
127+阅读 · 2020年11月20日
强化学习最新教程,17页pdf
专知会员服务
182+阅读 · 2019年10月11日
2019年机器学习框架回顾
专知会员服务
36+阅读 · 2019年10月11日
【哈佛大学商学院课程Fall 2019】机器学习可解释性
专知会员服务
105+阅读 · 2019年10月9日
【SIGGRAPH2019】TensorFlow 2.0深度学习计算机图形学应用
专知会员服务
41+阅读 · 2019年10月9日
人工智能 | ISAIR 2019诚邀稿件(推荐SCI期刊)
Call4Papers
6+阅读 · 2019年4月1日
【TED】生命中的每一年的智慧
英语演讲视频每日一推
10+阅读 · 2019年1月29日
Unsupervised Learning via Meta-Learning
CreateAMind
43+阅读 · 2019年1月3日
A Technical Overview of AI & ML in 2018 & Trends for 2019
待字闺中
18+阅读 · 2018年12月24日
计算机类 | LICS 2019等国际会议信息7条
Call4Papers
3+阅读 · 2018年12月17日
Disentangled的假设的探讨
CreateAMind
9+阅读 · 2018年12月10日
Hierarchical Imitation - Reinforcement Learning
CreateAMind
19+阅读 · 2018年5月25日
Hierarchical Disentangled Representations
CreateAMind
4+阅读 · 2018年4月15日
【论文】图上的表示学习综述
机器学习研究会
15+阅读 · 2017年9月24日
【学习】Hierarchical Softmax
机器学习研究会
4+阅读 · 2017年8月6日
Arxiv
4+阅读 · 2019年12月2日
Implicit Maximum Likelihood Estimation
Arxiv
7+阅读 · 2018年9月24日
Arxiv
3+阅读 · 2017年12月14日
Arxiv
3+阅读 · 2015年5月16日
VIP会员
相关资讯
人工智能 | ISAIR 2019诚邀稿件(推荐SCI期刊)
Call4Papers
6+阅读 · 2019年4月1日
【TED】生命中的每一年的智慧
英语演讲视频每日一推
10+阅读 · 2019年1月29日
Unsupervised Learning via Meta-Learning
CreateAMind
43+阅读 · 2019年1月3日
A Technical Overview of AI & ML in 2018 & Trends for 2019
待字闺中
18+阅读 · 2018年12月24日
计算机类 | LICS 2019等国际会议信息7条
Call4Papers
3+阅读 · 2018年12月17日
Disentangled的假设的探讨
CreateAMind
9+阅读 · 2018年12月10日
Hierarchical Imitation - Reinforcement Learning
CreateAMind
19+阅读 · 2018年5月25日
Hierarchical Disentangled Representations
CreateAMind
4+阅读 · 2018年4月15日
【论文】图上的表示学习综述
机器学习研究会
15+阅读 · 2017年9月24日
【学习】Hierarchical Softmax
机器学习研究会
4+阅读 · 2017年8月6日
Top
微信扫码咨询专知VIP会员