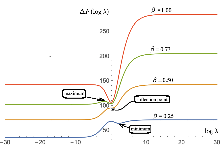
We define a neural network as a septuple consisting of (1) a state vector, (2) an input projection, (3) an output projection, (4) a weight matrix, (5) a bias vector, (6) an activation map and (7) a loss function. We argue that the loss function can be imposed either on the boundary (i.e. input and/or output neurons) or in the bulk (i.e. hidden neurons) for both supervised and unsupervised systems. We apply the principle of maximum entropy to derive a canonical ensemble of the state vectors subject to a constraint imposed on the bulk loss function by a Lagrange multiplier (or an inverse temperature parameter). We show that in an equilibrium the canonical partition function must be a product of two factors: a function of the temperature and a function of the bias vector and weight matrix. Consequently, the total Shannon entropy consists of two terms which represent respectively a thermodynamic entropy and a complexity of the neural network. We derive the first and second laws of learning: during learning the total entropy must decrease until the system reaches an equilibrium (i.e. the second law), and the increment in the loss function must be proportional to the increment in the thermodynamic entropy plus the increment in the complexity (i.e. the first law). We calculate the entropy destruction to show that the efficiency of learning is given by the Laplacian of the total free energy which is to be maximized in an optimal neural architecture, and explain why the optimization condition is better satisfied in a deep network with a large number of hidden layers. The key properties of the model are verified numerically by training a supervised feedforward neural network using the method of stochastic gradient descent. We also discuss a possibility that the entire universe on its most fundamental level is a neural network.


翻译:我们定义了神经网络, 包括:(1) 状态矢量, (2) 输入投影, (3) 输出投影, (4) 重量矩阵, (5) 偏向矢量, (6) 激活映射, (7) 损失函数。 我们争论说, 损失函数既可以在边界( 输入和/ 输出神经元) 上, 也可以在大宗( 隐藏神经元) 中( 隐藏神经元) 强加。 我们应用最大星盘原则, 以获得恒温动力的导体和神经网络的复杂性来获取状态矢量的共合体。 我们运用了最大星盘原则, 受Lagrange 倍增增量函数( 或低温矩阵) 约束, (5) 重增量矩阵值 。 在平衡中, 罐体分割函数必须是两个因素的产物 : 温度函数和偏移值的函数。 因此, 香农总恒温变量和神经网络的模型的复杂性能。 我们得出了第一个和第二个测算法 : 在学习整个恒变量中, 整个系统必须降低, 直至系统进入一个精度的精度值, 直至最深的系统进入一个精度变压的精度变数 。 。

0
下载
关闭预览

相关内容

损失函数,在AI中亦称呼距离函数,度量函数。此处的距离代表的是抽象性的,代表真实数据与预测数据之间的误差。损失函数(loss function)是用来估量你模型的预测值f(x)与真实值Y的不一致程度,它是一个非负实值函数,通常使用L(Y, f(x))来表示,损失函数越小,模型的鲁棒性就越好。损失函数是经验风险函数的核心部分,也是结构风险函数重要组成部分。
【课程】纽约大学 DS-GA 1003 Machine Learning
专知会员服务
46+阅读 · 2019年10月29日
Stabilizing Transformers for Reinforcement Learning
专知会员服务
60+阅读 · 2019年10月17日
强化学习最新教程,17页pdf
专知会员服务
182+阅读 · 2019年10月11日
Transferring Knowledge across Learning Processes
CreateAMind
29+阅读 · 2019年5月18日
19篇ICML2019论文摘录选读!
专知
28+阅读 · 2019年4月28日
强化学习的Unsupervised Meta-Learning
CreateAMind
18+阅读 · 2019年1月7日
Unsupervised Learning via Meta-Learning
CreateAMind
43+阅读 · 2019年1月3日
Reinforcement Learning: An Introduction 2018第二版 500页
CreateAMind
14+阅读 · 2018年4月27日
Machine Learning:十大机器学习算法
开源中国
21+阅读 · 2018年3月1日
【论文】变分推断(Variational inference)的总结
机器学习研究会
39+阅读 · 2017年11月16日
强化学习 cartpole_a3c
CreateAMind
9+阅读 · 2017年7月21日
Andrew NG的新书《Machine Learning Yearning》
我爱机器学习
11+阅读 · 2016年12月7日
自然语言处理(二)机器翻译 篇 (NLP: machine translation)
DeepLearning中文论坛
12+阅读 · 2015年7月1日
Arxiv
15+阅读 · 2020年12月17日
Arxiv
7+阅读 · 2018年12月26日
Arxiv
6+阅读 · 2018年12月10日
Arxiv
4+阅读 · 2018年10月5日
Arxiv
26+阅读 · 2018年8月19日
Arxiv
5+阅读 · 2018年6月12日
VIP会员
相关VIP内容
【课程】纽约大学 DS-GA 1003 Machine Learning
专知会员服务
46+阅读 · 2019年10月29日
Stabilizing Transformers for Reinforcement Learning
专知会员服务
60+阅读 · 2019年10月17日
强化学习最新教程,17页pdf
专知会员服务
182+阅读 · 2019年10月11日
相关资讯
Transferring Knowledge across Learning Processes
CreateAMind
29+阅读 · 2019年5月18日
19篇ICML2019论文摘录选读!
专知
28+阅读 · 2019年4月28日
强化学习的Unsupervised Meta-Learning
CreateAMind
18+阅读 · 2019年1月7日
Unsupervised Learning via Meta-Learning
CreateAMind
43+阅读 · 2019年1月3日
Reinforcement Learning: An Introduction 2018第二版 500页
CreateAMind
14+阅读 · 2018年4月27日
Machine Learning:十大机器学习算法
开源中国
21+阅读 · 2018年3月1日
【论文】变分推断(Variational inference)的总结
机器学习研究会
39+阅读 · 2017年11月16日
强化学习 cartpole_a3c
CreateAMind
9+阅读 · 2017年7月21日
Andrew NG的新书《Machine Learning Yearning》
我爱机器学习
11+阅读 · 2016年12月7日
自然语言处理(二)机器翻译 篇 (NLP: machine translation)
DeepLearning中文论坛
12+阅读 · 2015年7月1日
相关论文
Arxiv
15+阅读 · 2020年12月17日
Arxiv
7+阅读 · 2018年12月26日
Arxiv
6+阅读 · 2018年12月10日
Arxiv
4+阅读 · 2018年10月5日
Arxiv
26+阅读 · 2018年8月19日
Arxiv
5+阅读 · 2018年6月12日
Top
微信扫码咨询专知VIP会员