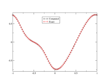
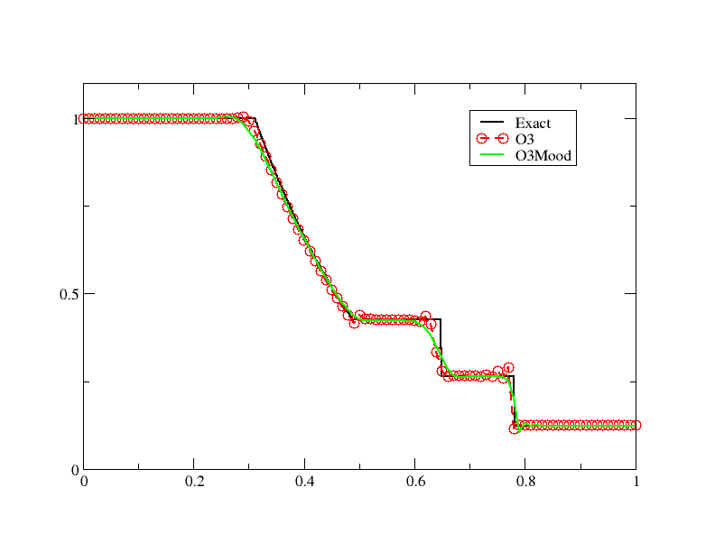
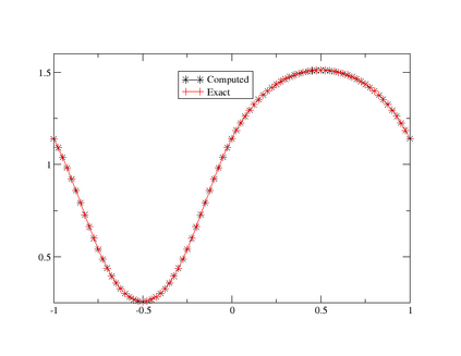
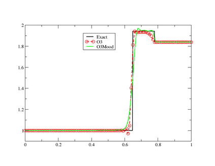
We show how to combine in a natural way (i.e. without any test nor switch) the conservative and non conservative formulations of an hyperbolic system that has a conservative form. This is inspired from two different class of schemes: the Residual Distribution one \cite{MR4090481}, and the Active Flux formulations \cite{AF1, AF3, AF4,AF5,RoeAF}. The solution is globally continuous, and as in the active flux method, described by a combination of point values and average values. Unlike the "classical" active flux methods, the meaning of the pointwise and cella averaged degrees of freedom is different, and hence follow different form of PDEs: it is a conservative version of the cell average, and a possibly non conservative one for the points. This new class of scheme is proved to satisfy a Lax-Wendroff like theorem. We also develop a method to perform non linear stability. We illustrate the behaviour on several benchmarks, some quite challenging.


翻译:我们展示了如何自然地(即没有任何测试或开关)结合具有保守形式的双曲体系的保守和非保守的配方。这来自两种不同的方案类别:残余分配单一\cite{MR4090481}和活跃通量配方\cite{AF1,AF3,AF4、AF4、AF5、RoeAF}。解决方案是全球性的连续的,正如以点值和平均值组合描述的活性通量方法一样。与“古典”主动通量法不同,关键自由度和细胞平均自由度的含义不同,因此遵循了不同的PDE:它是细胞平均的保守版本,对点来说可能是非保守的。这个新的配方被证明满足了像Theorem那样的Lax-Wendroff。我们还开发了一种非线性稳定的方法。我们用一些非常具有挑战性的基准来说明行为。

0
下载
关闭预览

相关内容

专知会员服务
42+阅读 · 2021年4月2日
专知会员服务
26+阅读 · 2021年4月2日
专知会员服务
51+阅读 · 2020年12月14日
Fariz Darari简明《博弈论Game Theory》介绍,35页ppt
专知会员服务
112+阅读 · 2020年5月15日
【BAAI|2019】用深度学习模拟原子间势,王涵  (附pdf)
专知会员服务
18+阅读 · 2019年11月21日
已删除
将门创投
6+阅读 · 2019年9月3日
Learning the optimal regularizer for inverse problems
VIP会员
相关VIP内容
相关资讯
已删除
将门创投
6+阅读 · 2019年9月3日
Top
微信扫码咨询专知VIP会员