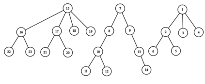
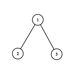
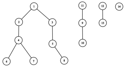
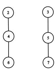
An independent set in a graph is a set of pairwise non-adjacent vertices. The independence number $\alpha{(G)}$ is the size of a maximum independent set in the graph $G$. The independence polynomial of a graph is the generating function for the sequence of numbers of independent sets of each size. In other words, the $k$-th coefficient of the independence polynomial equals the number of independent sets comprised of $k$ vertices. For instance, the degree of the independence polynomial of the graph $G$ is equal to $\alpha{(G)}$. In 1987, Alavi, Malde, Schwenk, and Erd{\"o}s conjectured that the independence polynomial of a tree is unimodal. In what follows, we provide support to this assertion considering trees with up to $20$ vertices. Moreover, we show that the corresponding independence polynomials are log-concave and, consequently, unimodal. The algorithm computing the independence polynomial of a given tree makes use of a database of non-isomorphic unlabeled trees to prevent repeated computations.


翻译:图形中独立设置为一组双向非相邻的脊椎。 独立编号$\ alpha{ (G)}$(G)$ 是图形$G$中设定的最大独立值的大小。 一个图形的独立多元值是每个大小独立组数序列的生成函数。 换句话说, 独立多元形数的美元- 十倍系数等于由美元顶脊组成的独立组数。 例如, 独立数字$G$的独立多元值等于$alpha{ (G)}。 1987年, Alavi、 Malde、 Schwenk 和 Erd {O} 预测, 一个树的独立多倍数组数序列数序列的生成函数是unmodal。 换句话说, 我们支持这一论断, 考虑的树值高达20美元顶峰值。 此外, 我们证明相应的独立多元形数是日志, 因此, 不可修改 。 计算一个树的独立多元值时, 将使用一个非隐性的计算, 防止给定的果树进行反复计算。

0
下载
关闭预览

相关内容

专知会员服务
86+阅读 · 2020年12月5日
Linux导论,Introduction to Linux,96页ppt
专知会员服务
82+阅读 · 2020年7月26日
图机器学习 2.2-2.4 Properties of Networks, Random Graph
图与推荐
10+阅读 · 2020年3月28日
计算机 | 中低难度国际会议信息8条
Call4Papers
9+阅读 · 2019年6月19日
revelation of MONet
CreateAMind
5+阅读 · 2019年6月8日
Transferring Knowledge across Learning Processes
CreateAMind
29+阅读 · 2019年5月18日
Call for Participation: Shared Tasks in NLPCC 2019
中国计算机学会
5+阅读 · 2019年3月22日
Unsupervised Learning via Meta-Learning
CreateAMind
43+阅读 · 2019年1月3日
A Technical Overview of AI & ML in 2018 & Trends for 2019
待字闺中
18+阅读 · 2018年12月24日
计算机类 | LICS 2019等国际会议信息7条
Call4Papers
3+阅读 · 2018年12月17日
disentangled-representation-papers
CreateAMind
26+阅读 · 2018年9月12日
Auto-Encoding GAN
CreateAMind
7+阅读 · 2017年8月4日
Arxiv
0+阅读 · 2021年3月25日
Approximate GCD in Lagrange bases
Arxiv
0+阅读 · 2021年3月25日
Arxiv
0+阅读 · 2021年3月24日
Arxiv
0+阅读 · 2021年3月24日
Arxiv
0+阅读 · 2021年3月24日
Arxiv
4+阅读 · 2018年3月14日
VIP会员
相关VIP内容
相关资讯
图机器学习 2.2-2.4 Properties of Networks, Random Graph
图与推荐
10+阅读 · 2020年3月28日
计算机 | 中低难度国际会议信息8条
Call4Papers
9+阅读 · 2019年6月19日
revelation of MONet
CreateAMind
5+阅读 · 2019年6月8日
Transferring Knowledge across Learning Processes
CreateAMind
29+阅读 · 2019年5月18日
Call for Participation: Shared Tasks in NLPCC 2019
中国计算机学会
5+阅读 · 2019年3月22日
Unsupervised Learning via Meta-Learning
CreateAMind
43+阅读 · 2019年1月3日
A Technical Overview of AI & ML in 2018 & Trends for 2019
待字闺中
18+阅读 · 2018年12月24日
计算机类 | LICS 2019等国际会议信息7条
Call4Papers
3+阅读 · 2018年12月17日
disentangled-representation-papers
CreateAMind
26+阅读 · 2018年9月12日
Auto-Encoding GAN
CreateAMind
7+阅读 · 2017年8月4日
相关论文
Top
微信扫码咨询专知VIP会员