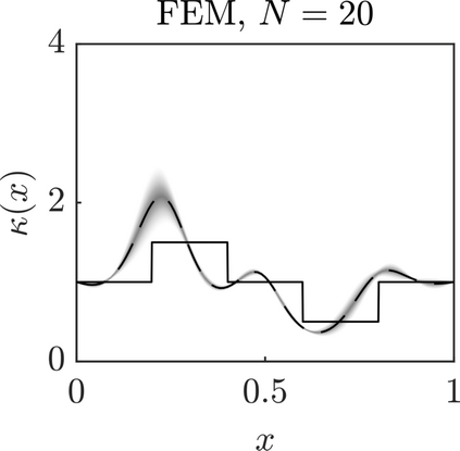
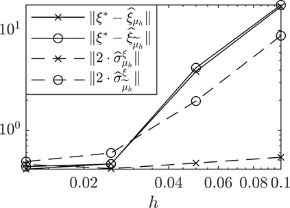
We present a novel probabilistic finite element method (FEM) for the solution and uncertainty quantification of elliptic partial differential equations based on random meshes, which we call random mesh FEM (RM-FEM). Our methodology allows to introduce a probability measure on standard piecewise linear FEM. We present a posteriori error estimators based uniquely on probabilistic information. A series of numerical experiments illustrates the potential of the RM-FEM for error estimation and validates our analysis. We furthermore demonstrate how employing the RM-FEM enhances the quality of the solution of Bayesian inverse problems, thus allowing a better quantification of numerical errors in pipelines of computations.


翻译:我们提出了一个新颖的概率有限要素法(FEM),用于解决和不确定地量化基于随机介质的椭圆部分差异方程,我们称之为随机网状FEM(RM-FEM),我们的方法允许对标准的单片线性FEM(RM-FEM)引入概率计量。我们提出了一个仅以概率信息为基础的事后误差估计器。一系列数字实验表明RM-FEM在估计误差方面的潜力,并验证我们的分析。我们进一步表明,使用RM-FEM如何提高巴伊西亚反面问题解决方案的质量,从而能够更好地量化计算管道中的数字错误。

0
下载
关闭预览

相关内容

专知会员服务
54+阅读 · 2020年9月7日
强化学习最新教程,17页pdf
专知会员服务
182+阅读 · 2019年10月11日
计算机 | 入门级EI会议ICVRIS 2019诚邀稿件
Call4Papers
10+阅读 · 2019年6月24日
Hierarchically Structured Meta-learning
CreateAMind
27+阅读 · 2019年5月22日
逆强化学习-学习人先验的动机
CreateAMind
16+阅读 · 2019年1月18日
Hierarchical Disentangled Representations
CreateAMind
4+阅读 · 2018年4月15日
Soft-NMS – Improving Object Detection With One Line of Code
统计学习与视觉计算组
6+阅读 · 2018年3月30日
条件GAN重大改进!cGANs with Projection Discriminator
CreateAMind
8+阅读 · 2018年2月7日
【论文】变分推断(Variational inference)的总结
机器学习研究会
39+阅读 · 2017年11月16日
Auto-Encoding GAN
CreateAMind
7+阅读 · 2017年8月4日
Implicit Maximum Likelihood Estimation
Arxiv
7+阅读 · 2018年9月24日
Arxiv
3+阅读 · 2018年2月24日
VIP会员
相关VIP内容
专知会员服务
54+阅读 · 2020年9月7日
强化学习最新教程,17页pdf
专知会员服务
182+阅读 · 2019年10月11日
相关资讯
计算机 | 入门级EI会议ICVRIS 2019诚邀稿件
Call4Papers
10+阅读 · 2019年6月24日
Hierarchically Structured Meta-learning
CreateAMind
27+阅读 · 2019年5月22日
逆强化学习-学习人先验的动机
CreateAMind
16+阅读 · 2019年1月18日
Hierarchical Disentangled Representations
CreateAMind
4+阅读 · 2018年4月15日
Soft-NMS – Improving Object Detection With One Line of Code
统计学习与视觉计算组
6+阅读 · 2018年3月30日
条件GAN重大改进!cGANs with Projection Discriminator
CreateAMind
8+阅读 · 2018年2月7日
【论文】变分推断(Variational inference)的总结
机器学习研究会
39+阅读 · 2017年11月16日
Auto-Encoding GAN
CreateAMind
7+阅读 · 2017年8月4日
Top
微信扫码咨询专知VIP会员