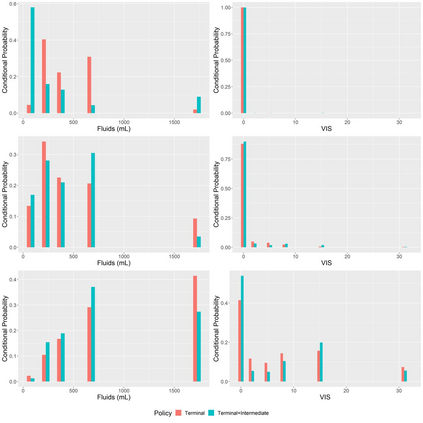
Guideline-based treatment for sepsis and septic shock is difficult because sepsis is a disparate range of life-threatening organ dysfunctions whose pathophysiology is not fully understood. Early intervention in sepsis is crucial for patient outcome, yet those interventions have adverse effects and are frequently overadministered. Greater personalization is necessary, as no single action is suitable for all patients. We present a novel application of reinforcement learning in which we identify optimal recommendations for sepsis treatment from data, estimate their confidence level, and identify treatment options infrequently observed in training data. Rather than a single recommendation, our method can present several treatment options. We examine learned policies and discover that reinforcement learning is biased against aggressive intervention due to the confounding relationship between mortality and level of treatment received. We mitigate this bias using subspace learning, and develop methodology that can yield more accurate learning policies across healthcare applications.


翻译:对败血症和化粪休克的基于准则的治疗是困难的,因为败血症是威胁生命的器官功能障碍,其病理学没有得到完全理解。早期败血症的干预对于病人的结果至关重要,但是这些干预具有不利影响,而且往往管理过度。必须提高个性化,因为没有任何单一行动适合所有病人。我们提出了一种新型的强化学习方法,在其中我们从数据中找出消毒治疗的最佳建议,估计其信任度,并找出在培训数据中很少观察到的治疗选择。我们的方法可以提出几种治疗选择,而不是单一的建议。我们研究学习的政策并发现,强化学习不利于积极干预,因为死亡率和治疗水平之间的关系相互交织。我们利用次空间学习来减少这种偏差,并开发能够在整个医疗保健应用中产生更准确的学习政策的方法。

0
下载
关闭预览

相关内容

可解释强化学习,Explainable Reinforcement Learning: A Survey
专知会员服务
132+阅读 · 2020年5月14日
Stabilizing Transformers for Reinforcement Learning
专知会员服务
60+阅读 · 2019年10月17日
Keras François Chollet 《Deep Learning with Python 》, 386页pdf
专知会员服务
163+阅读 · 2019年10月12日
强化学习最新教程,17页pdf
专知会员服务
182+阅读 · 2019年10月11日
【哈佛大学商学院课程Fall 2019】机器学习可解释性
专知会员服务
105+阅读 · 2019年10月9日
MIT新书《强化学习与最优控制》
专知会员服务
281+阅读 · 2019年10月9日
Hierarchically Structured Meta-learning
CreateAMind
27+阅读 · 2019年5月22日
Transferring Knowledge across Learning Processes
CreateAMind
29+阅读 · 2019年5月18日
强化学习的Unsupervised Meta-Learning
CreateAMind
18+阅读 · 2019年1月7日
Unsupervised Learning via Meta-Learning
CreateAMind
43+阅读 · 2019年1月3日
A Technical Overview of AI & ML in 2018 & Trends for 2019
待字闺中
18+阅读 · 2018年12月24日
disentangled-representation-papers
CreateAMind
26+阅读 · 2018年9月12日
Reinforcement Learning: An Introduction 2018第二版 500页
CreateAMind
14+阅读 · 2018年4月27日
Hierarchical Disentangled Representations
CreateAMind
4+阅读 · 2018年4月15日
Andrew NG的新书《Machine Learning Yearning》
我爱机器学习
11+阅读 · 2016年12月7日
Arxiv
0+阅读 · 2021年9月9日
Causal Inference for Quantile Treatment Effects
Arxiv
0+阅读 · 2021年9月8日
Arxiv
30+阅读 · 2021年7月7日
Arxiv
15+阅读 · 2020年12月17日
VIP会员
相关资讯
Hierarchically Structured Meta-learning
CreateAMind
27+阅读 · 2019年5月22日
Transferring Knowledge across Learning Processes
CreateAMind
29+阅读 · 2019年5月18日
强化学习的Unsupervised Meta-Learning
CreateAMind
18+阅读 · 2019年1月7日
Unsupervised Learning via Meta-Learning
CreateAMind
43+阅读 · 2019年1月3日
A Technical Overview of AI & ML in 2018 & Trends for 2019
待字闺中
18+阅读 · 2018年12月24日
disentangled-representation-papers
CreateAMind
26+阅读 · 2018年9月12日
Reinforcement Learning: An Introduction 2018第二版 500页
CreateAMind
14+阅读 · 2018年4月27日
Hierarchical Disentangled Representations
CreateAMind
4+阅读 · 2018年4月15日
Andrew NG的新书《Machine Learning Yearning》
我爱机器学习
11+阅读 · 2016年12月7日
Top
微信扫码咨询专知VIP会员