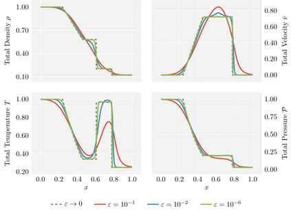
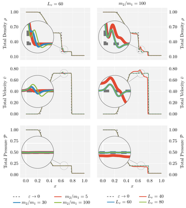
We propose fully explicit projective integration and telescopic projective integration schemes for the multispecies Boltzmann and \acf{BGK} equations. The methods employ a sequence of small forward-Euler steps, intercalated with large extrapolation steps. The telescopic approach repeats said extrapolations as the basis for an even larger step. This hierarchy renders the computational complexity of the method essentially independent of the stiffness of the problem, which permits the efficient solution of equations in the hyperbolic scaling with very small Knudsen numbers. We validate the schemes on a range of scenarios, demonstrating its prowess in dealing with extreme mass ratios, fluid instabilities, and other complex phenomena.


翻译:我们为多种波尔兹曼和\ac{BGK}方程式提出完全明确的投影集成和远视投影集成计划。 方法采用一系列与大外推步骤相交的小型前向- 外推步骤。 遥测法重复了外推法作为更大步骤的基础。 这种等级制度使得计算方法的复杂程度基本上独立于问题的僵硬性, 这使得双曲缩放中的方程式能够以非常小的Knudsen数字有效解决。 我们验证了一系列假设的方程式, 显示了其在处理极端质量比率、流动性不稳定性和其他复杂现象方面的优势。

0
下载
关闭预览

相关内容

Integration:Integration, the VLSI Journal。 Explanation:集成,VLSI杂志。 Publisher:Elsevier。 SIT:http://dblp.uni-trier.de/db/journals/integration/
自然语言处理顶会COLING2020最佳论文出炉!
专知会员服务
24+阅读 · 2020年12月12日
迁移学习简明教程,11页ppt
专知会员服务
109+阅读 · 2020年8月4日
专知会员服务
63+阅读 · 2020年3月4日
Stabilizing Transformers for Reinforcement Learning
专知会员服务
60+阅读 · 2019年10月17日
开源书:PyTorch深度学习起步
专知会员服务
51+阅读 · 2019年10月11日
【SIGGRAPH2019】TensorFlow 2.0深度学习计算机图形学应用
专知会员服务
41+阅读 · 2019年10月9日
CCF推荐 | 国际会议信息10条
Call4Papers
8+阅读 · 2019年5月27日
强化学习三篇论文 避免遗忘等
CreateAMind
20+阅读 · 2019年5月24日
CCF A类 | 顶级会议RTSS 2019诚邀稿件
Call4Papers
10+阅读 · 2019年4月17日
人工智能 | 国际会议信息10条
Call4Papers
5+阅读 · 2018年12月18日
CCF B类期刊IPM专刊截稿信息1条
Call4Papers
3+阅读 · 2018年10月11日
【NIPS2018】接收论文列表
专知
5+阅读 · 2018年9月10日
人工智能 | AAAI 2019等国际会议信息7条
Call4Papers
5+阅读 · 2018年9月3日
人工智能 | 国际会议截稿信息5条
Call4Papers
6+阅读 · 2017年11月22日
强化学习 cartpole_a3c
CreateAMind
9+阅读 · 2017年7月21日
Arxiv
3+阅读 · 2018年2月24日
VIP会员
相关VIP内容
自然语言处理顶会COLING2020最佳论文出炉!
专知会员服务
24+阅读 · 2020年12月12日
迁移学习简明教程,11页ppt
专知会员服务
109+阅读 · 2020年8月4日
专知会员服务
63+阅读 · 2020年3月4日
Stabilizing Transformers for Reinforcement Learning
专知会员服务
60+阅读 · 2019年10月17日
开源书:PyTorch深度学习起步
专知会员服务
51+阅读 · 2019年10月11日
【SIGGRAPH2019】TensorFlow 2.0深度学习计算机图形学应用
专知会员服务
41+阅读 · 2019年10月9日
相关资讯
CCF推荐 | 国际会议信息10条
Call4Papers
8+阅读 · 2019年5月27日
强化学习三篇论文 避免遗忘等
CreateAMind
20+阅读 · 2019年5月24日
CCF A类 | 顶级会议RTSS 2019诚邀稿件
Call4Papers
10+阅读 · 2019年4月17日
人工智能 | 国际会议信息10条
Call4Papers
5+阅读 · 2018年12月18日
CCF B类期刊IPM专刊截稿信息1条
Call4Papers
3+阅读 · 2018年10月11日
【NIPS2018】接收论文列表
专知
5+阅读 · 2018年9月10日
人工智能 | AAAI 2019等国际会议信息7条
Call4Papers
5+阅读 · 2018年9月3日
人工智能 | 国际会议截稿信息5条
Call4Papers
6+阅读 · 2017年11月22日
强化学习 cartpole_a3c
CreateAMind
9+阅读 · 2017年7月21日
Top
微信扫码咨询专知VIP会员