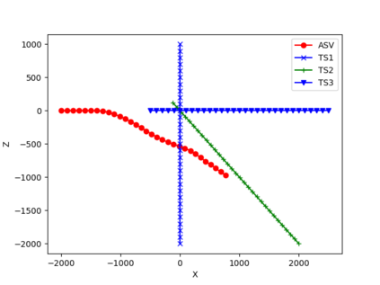
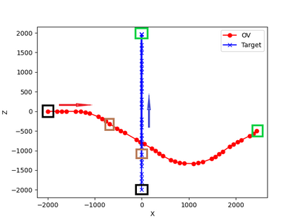
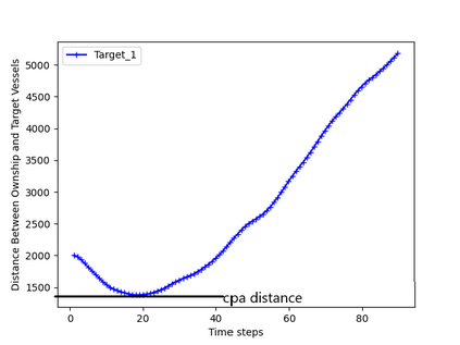
This paper presents VORRT-COLREGs, a hybrid technique that combines velocity obstacles (VO) and rapidly-exploring random trees (RRT) to generate safe trajectories for autonomous surface vessels (ASVs) while following nautical rules of the road. RRT generates a set of way points and the velocity obstacles method ensures safe travel between way points. We also ensure that the actions of ASVs do not violate maritime collision guidelines. Earlier work has used RRT and VO separately to generate paths for ASVs. However, RRT does not handle highly dynamic situations well and and VO seems most suitable as a local path planner. Combining both approaches, VORRT-COLREGs is a global path planner that uses a joint forward simulation to ensure that generated paths remain valid and collision free as the situation changes. Experiments were conducted in different types of collision scenarios and with different numbers of ASVs. Results show that VORRT-COLREGS generated collision regulations (COLREGs) complaint paths in open ocean scenarios. Furthermore, VORRT-COLREGS successfully generated compliant paths within traffic separation schemes. These results show the applicability of our technique for generating paths for ASVs in different collision scenarios. To the best of our knowledge, this is the first work that combines velocity obstacles and RRT to produce safe and COLREGs complaint path for ASVs.


翻译:本文介绍了VORRT-COLREGs,这是一种混合技术,结合速度障碍(VO)和快速探测随机树(RRT),为自主水面船只(ASVs)创造安全轨迹,同时遵循公路的航海规则;RORT产生一套路点和速度障碍方法,确保各路点之间安全旅行;我们还确保ASV的行动不违反海上碰撞准则;早期工作曾分别使用RRT和VO为ASV提供途径;然而,RRT和VO处理高度动态的情况并不很好,而VO似乎最适合作为当地路径规划者。将这两种方法结合起来,VORRT-COLEGs是一个全球路径规划者,采用联合前方模拟,确保产生的路径在情况变化时依然有效且不发生碰撞。我们还在不同类型的碰撞假设中进行了实验,结果显示VORRT-COLGS(COREGs)在开放的海洋情景中提出了碰撞条例。此外,VORRT-COLEGS(COLEGS)首先成功生成了符合当地路径的路径,而ARCERRV系统则成功生成了我们的安全路径的轨道。

0
下载
关闭预览

相关内容

Surface 是微软公司( Microsoft)旗下一系列使用 Windows 10(早期为 Windows 8.X)操作系统的电脑产品,目前有 Surface、Surface Pro 和 Surface Book 三个系列。 2012 年 6 月 18 日,初代 Surface Pro/RT 由时任微软 CEO 史蒂夫·鲍尔默发布于在洛杉矶举行的记者会,2012 年 10 月 26 日上市销售。
专知会员服务
54+阅读 · 2021年6月30日
【硬核课】统计学习理论,321页ppt
专知会员服务
140+阅读 · 2020年6月30日
深度强化学习策略梯度教程,53页ppt
专知会员服务
184+阅读 · 2020年2月1日
强化学习的Unsupervised Meta-Learning
CreateAMind
18+阅读 · 2019年1月7日
障碍和触碰期权的定价
平均机器
31+阅读 · 2018年12月20日
OpenAI丨深度强化学习关键论文列表
中国人工智能学会
17+阅读 · 2018年11月10日
IEEE2018|An Accurate and Real-time 3D Tracking System for Robots
【C4P推荐】人工智能领域顶级会议AAAI
Call4Papers
3+阅读 · 2017年9月6日
Arxiv
0+阅读 · 2021年10月24日
VIP会员
相关资讯
Top
微信扫码咨询专知VIP会员