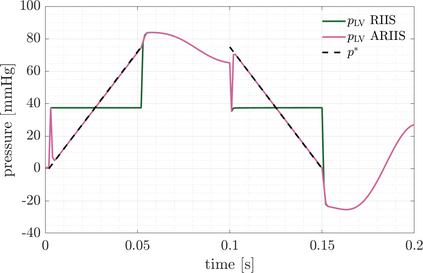
A major challenge in the computational fluid dynamics modeling of the heart function is the simulation of isovolumetric phases when the hemodynamics problem is driven by a prescribed boundary displacement. During such phases, both atrioventricular and semilunar valves are closed: consequently, the ventricular pressure may not be uniquely defined, and spurious oscillations may arise in numerical simulations. In this paper, we propose a suitable modification of the Resistive Immersed Implicit Surface (RIIS) method (Fedele et al., 2017) by introducing a reaction term to correctly capture the pressure transients during isovolumetric phases. The method, that we call Augmented RIIS (ARIIS) method, extends the previously proposed ARIS method (This et al., 2020) to the case of a mesh which is not body-fitted to the valves. We test the proposed method on two different benchmark problems, including a new simplified problem that retains all the characteristics of a heart cycle. We apply the ARIIS method to a fluid dynamics simulation of a realistic left heart geometry, and we show that ARIIS allows to correctly simulate isovolumetric phases, differently from standard RIIS method.


翻译:心脏功能的计算流体动态模型中的一项重大挑战是当血动力学问题被规定的边界迁移驱动时,模拟异体体积阶段是一个主要的挑战。在这些阶段中,先生动阀门和半卢纳尔阀门都关闭了。因此,心血管压力可能不是独特的定义,在数字模拟中可能会出现虚假的振动。在本文件中,我们建议对坚忍的Immers Inmmercitimate Floor (RIIS) 方法(Fedele et al., 2017) 进行适当修改,方法是引入一个反应术语,以正确捕捉到等量阶段的压力中瞬态。我们称之为ARIIS (ARIIS) 方法的方法,将先前提议的ARIS 方法(Thiet al.,2020) 扩展至与阀体不相适应的网块的情况。我们建议对两种不同的基准问题进行测试,包括保留心脏循环所有特性的新的简化问题。我们将ARIIS 方法用于现实的左心血管动态动态模拟,我们正确地模拟了ARIIS 标准方法。

0
下载
关闭预览

相关内容

Surface 是微软公司( Microsoft)旗下一系列使用 Windows 10(早期为 Windows 8.X)操作系统的电脑产品,目前有 Surface、Surface Pro 和 Surface Book 三个系列。 2012 年 6 月 18 日,初代 Surface Pro/RT 由时任微软 CEO 史蒂夫·鲍尔默发布于在洛杉矶举行的记者会,2012 年 10 月 26 日上市销售。
专知会员服务
41+阅读 · 2020年9月6日
Linux导论,Introduction to Linux,96页ppt
专知会员服务
81+阅读 · 2020年7月26日
Keras François Chollet 《Deep Learning with Python 》, 386页pdf
专知会员服务
160+阅读 · 2019年10月12日
【哈佛大学商学院课程Fall 2019】机器学习可解释性
专知会员服务
105+阅读 · 2019年10月9日
【SIGGRAPH2019】TensorFlow 2.0深度学习计算机图形学应用
专知会员服务
41+阅读 · 2019年10月9日
征稿 | CFP:Special Issue of NLP and KG(JCR Q2,IF2.67)
开放知识图谱
1+阅读 · 2022年4月4日
VCIP 2022 Call for Special Session Proposals
CCF多媒体专委会
1+阅读 · 2022年4月1日
ACM MM 2022 Call for Papers
CCF多媒体专委会
5+阅读 · 2022年3月29日
AIART 2022 Call for Papers
CCF多媒体专委会
1+阅读 · 2022年2月13日
【ICIG2021】Check out the hot new trailer of ICIG2021 Symposium4
中国图象图形学学会CSIG
0+阅读 · 2021年11月10日
【ICIG2021】Check out the hot new trailer of ICIG2021 Symposium1
中国图象图形学学会CSIG
0+阅读 · 2021年11月3日
Hierarchically Structured Meta-learning
CreateAMind
27+阅读 · 2019年5月22日
Transferring Knowledge across Learning Processes
CreateAMind
29+阅读 · 2019年5月18日
Unsupervised Learning via Meta-Learning
CreateAMind
43+阅读 · 2019年1月3日
A Technical Overview of AI & ML in 2018 & Trends for 2019
待字闺中
18+阅读 · 2018年12月24日
国家自然科学基金
0+阅读 · 2014年12月31日
国家自然科学基金
0+阅读 · 2013年12月31日
国家自然科学基金
0+阅读 · 2012年12月31日
国家自然科学基金
0+阅读 · 2012年12月31日
国家自然科学基金
0+阅读 · 2012年12月31日
国家自然科学基金
0+阅读 · 2012年12月31日
VIP会员
相关资讯
征稿 | CFP:Special Issue of NLP and KG(JCR Q2,IF2.67)
开放知识图谱
1+阅读 · 2022年4月4日
VCIP 2022 Call for Special Session Proposals
CCF多媒体专委会
1+阅读 · 2022年4月1日
ACM MM 2022 Call for Papers
CCF多媒体专委会
5+阅读 · 2022年3月29日
AIART 2022 Call for Papers
CCF多媒体专委会
1+阅读 · 2022年2月13日
【ICIG2021】Check out the hot new trailer of ICIG2021 Symposium4
中国图象图形学学会CSIG
0+阅读 · 2021年11月10日
【ICIG2021】Check out the hot new trailer of ICIG2021 Symposium1
中国图象图形学学会CSIG
0+阅读 · 2021年11月3日
Hierarchically Structured Meta-learning
CreateAMind
27+阅读 · 2019年5月22日
Transferring Knowledge across Learning Processes
CreateAMind
29+阅读 · 2019年5月18日
Unsupervised Learning via Meta-Learning
CreateAMind
43+阅读 · 2019年1月3日
A Technical Overview of AI & ML in 2018 & Trends for 2019
待字闺中
18+阅读 · 2018年12月24日
相关基金
国家自然科学基金
0+阅读 · 2014年12月31日
国家自然科学基金
0+阅读 · 2013年12月31日
国家自然科学基金
0+阅读 · 2012年12月31日
国家自然科学基金
0+阅读 · 2012年12月31日
国家自然科学基金
0+阅读 · 2012年12月31日
国家自然科学基金
0+阅读 · 2012年12月31日
Top
微信扫码咨询专知VIP会员