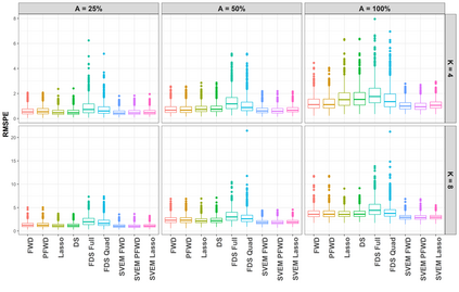
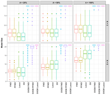
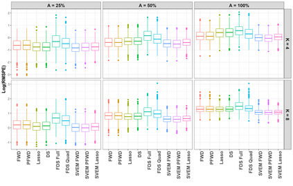
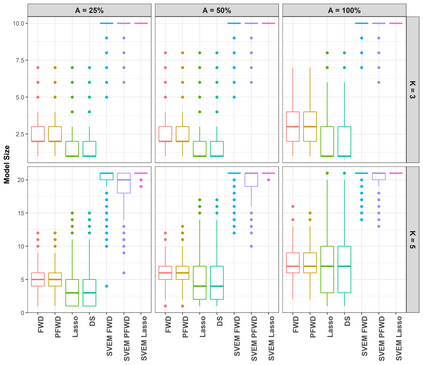
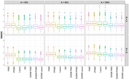
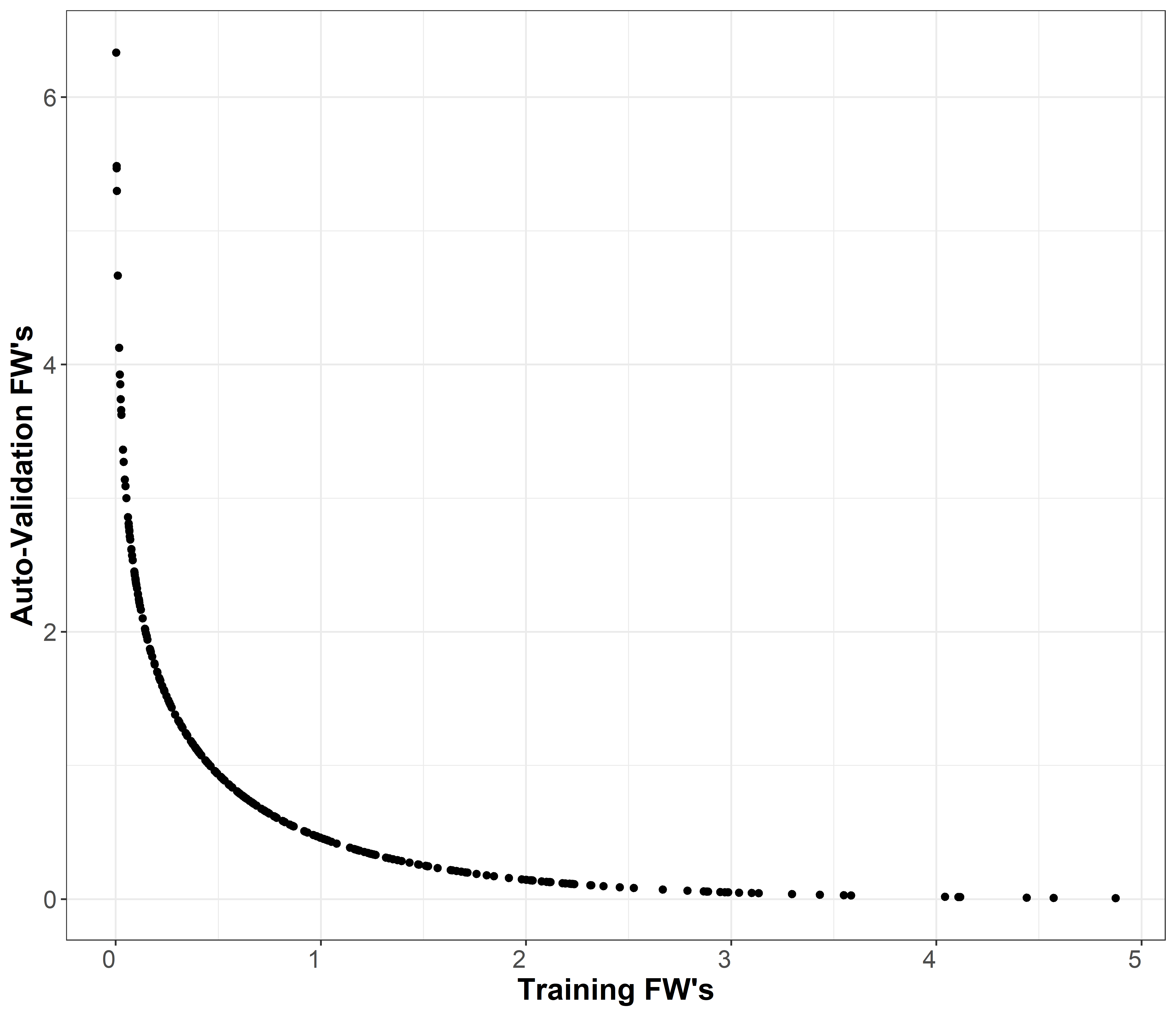
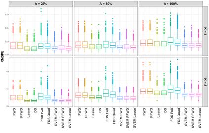
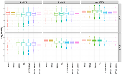
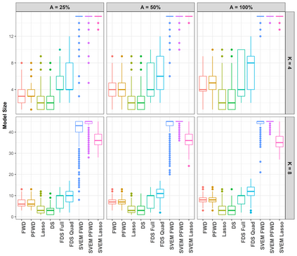
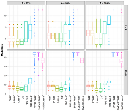
In this paper we introduce a new model building algorithm called self-validating ensemble modeling or SVEM. The method enables the fitting of validated predictive models to the relatively small data sets typically generated from designed experiments. We focus on prediction which is often the important metric in studies in bio-pharmaceutical industries. In order to fit validated predictive models, SVEM uses a unique weighting scheme applied to the responses and fractional weighted bootstrapping to generate a large ensemble of fitted models. The weighting scheme allows the original data to serve both as a training set and validation set. The method is very general in application and works with most model selection algorithms. Through extensive simulation studies and a case study we demonstrate that SVEM generates models with lower prediction error as compared to more traditional statistical approaches that are based on fitting a single model when the true model has low sparsity and when the number of experimental runs is small.


翻译:在本文中,我们引入了一种新的模型建设算法,称为自我验证混合模型或SVEM。这种方法使得经过验证的预测模型能够与通常由设计实验产生的相对较小的数据集相匹配。我们侧重于预测,这是生物制药工业研究中通常重要的衡量尺度。为了适应经过验证的预测模型,SVEM使用一种独特的加权办法,用于应对和分数加权制导,产生大量适合的模型组合。加权办法使原始数据既用作训练组又用作鉴定组。这种方法在应用中非常普遍,并且与大多数模型选择算法一起工作。通过广泛的模拟研究和案例研究,我们证明SVEM生成的模型与较传统的统计方法相比,预测错误较小,而后者是在真实模型不太宽度和实验运行数量较少的情况下,根据一种模型的适合而采用更传统的统计方法。

0
下载
关闭预览

相关内容

ACM/IEEE第23届模型驱动工程语言和系统国际会议,是模型驱动软件和系统工程的首要会议系列,由ACM-SIGSOFT和IEEE-TCSE支持组织。自1998年以来,模型涵盖了建模的各个方面,从语言和方法到工具和应用程序。模特的参加者来自不同的背景,包括研究人员、学者、工程师和工业专业人士。MODELS 2019是一个论坛,参与者可以围绕建模和模型驱动的软件和系统交流前沿研究成果和创新实践经验。今年的版本将为建模社区提供进一步推进建模基础的机会,并在网络物理系统、嵌入式系统、社会技术系统、云计算、大数据、机器学习、安全、开源等新兴领域提出建模的创新应用以及可持续性。 官网链接:http://www.modelsconference.org/
【图神经网络导论】Intro to Graph Neural Networks,176页ppt
专知会员服务
129+阅读 · 2021年6月4日
专知会员服务
39+阅读 · 2020年10月15日
【ICML2020】文本摘要生成模型PEGASUS
专知会员服务
35+阅读 · 2020年8月23日
Linux导论,Introduction to Linux,96页ppt
专知会员服务
82+阅读 · 2020年7月26日
《可解释的机器学习-interpretable-ml》238页pdf
专知会员服务
208+阅读 · 2020年2月24日
【SIGGRAPH2019】TensorFlow 2.0深度学习计算机图形学应用
专知会员服务
41+阅读 · 2019年10月9日
强化学习的Unsupervised Meta-Learning
CreateAMind
18+阅读 · 2019年1月7日
无监督元学习表示学习
CreateAMind
27+阅读 · 2019年1月4日
Unsupervised Learning via Meta-Learning
CreateAMind
43+阅读 · 2019年1月3日
Disentangled的假设的探讨
CreateAMind
9+阅读 · 2018年12月10日
CCF B类期刊IPM专刊截稿信息1条
Call4Papers
3+阅读 · 2018年10月11日
disentangled-representation-papers
CreateAMind
26+阅读 · 2018年9月12日
Hierarchical Disentangled Representations
CreateAMind
4+阅读 · 2018年4月15日
lightgbm algorithm case of kaggle(上)
R语言中文社区
8+阅读 · 2018年3月20日
计算机类 | 期刊专刊截稿信息9条
Call4Papers
4+阅读 · 2018年1月26日
【计算机类】期刊专刊/国际会议截稿信息6条
Call4Papers
3+阅读 · 2017年10月13日
Arxiv
21+阅读 · 2019年8月21日
Arxiv
8+阅读 · 2018年11月27日
Arxiv
5+阅读 · 2015年9月14日
Arxiv
3+阅读 · 2015年5月16日
VIP会员
相关VIP内容
相关资讯
强化学习的Unsupervised Meta-Learning
CreateAMind
18+阅读 · 2019年1月7日
无监督元学习表示学习
CreateAMind
27+阅读 · 2019年1月4日
Unsupervised Learning via Meta-Learning
CreateAMind
43+阅读 · 2019年1月3日
Disentangled的假设的探讨
CreateAMind
9+阅读 · 2018年12月10日
CCF B类期刊IPM专刊截稿信息1条
Call4Papers
3+阅读 · 2018年10月11日
disentangled-representation-papers
CreateAMind
26+阅读 · 2018年9月12日
Hierarchical Disentangled Representations
CreateAMind
4+阅读 · 2018年4月15日
lightgbm algorithm case of kaggle(上)
R语言中文社区
8+阅读 · 2018年3月20日
计算机类 | 期刊专刊截稿信息9条
Call4Papers
4+阅读 · 2018年1月26日
【计算机类】期刊专刊/国际会议截稿信息6条
Call4Papers
3+阅读 · 2017年10月13日
Top
微信扫码咨询专知VIP会员