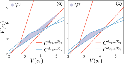
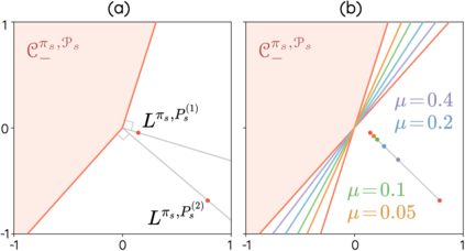
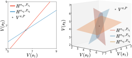
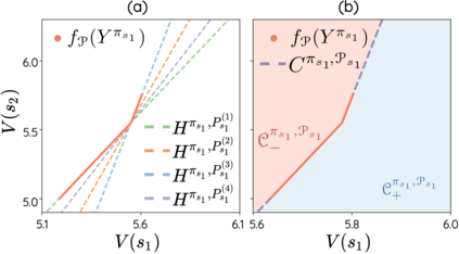
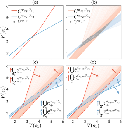
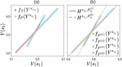
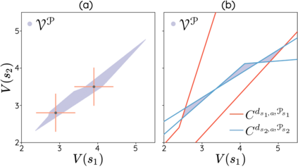
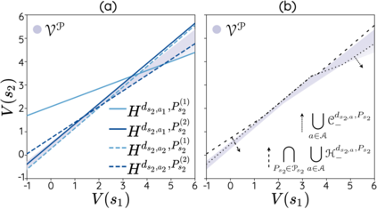
The space of value functions is a fundamental concept in reinforcement learning. Characterizing its geometric properties may provide insights for optimization and representation. Existing works mainly focus on the value space for Markov Decision Processes (MDPs). In this paper, we study the geometry of the robust value space for the more general Robust MDPs (RMDPs) setting, where transition uncertainties are considered. Specifically, since we find it hard to directly adapt prior approaches to RMDPs, we start with revisiting the non-robust case, and introduce a new perspective that enables us to characterize both the non-robust and robust value space in a similar fashion. The key of this perspective is to decompose the value space, in a state-wise manner, into unions of hypersurfaces. Through our analysis, we show that the robust value space is determined by a set of conic hypersurfaces, each of which contains the robust values of all policies that agree on one state. Furthermore, we find that taking only extreme points in the uncertainty set is sufficient to determine the robust value space. Finally, we discuss some other aspects about the robust value space, including its non-convexity and policy agreement on multiple states.


翻译:价值函数空间是强化学习的基本概念。 定位其几何特性可以提供优化和代表的洞察力。 现有工作主要侧重于Markov 决策进程(MDPs)的值空间。 在本文中, 我们研究了更一般的强力 MDPs(RMDPs)设置的强力价值空间的几何, 考虑的是过渡不确定性。 具体地说, 由于我们发现很难直接适应之前对RMDPs采取的方法, 我们从重新审视非强力事件开始, 并引入新的视角, 使我们能够以类似的方式描述非强力和强力的价值空间。 这个视角的关键是以州的方式将价值空间分解为超表层的结合。 我们通过分析, 显示强力价值空间是由一组锥形超表层决定的, 每个表层都包含所有就一个州达成一致的政策的强力价值。 此外, 我们发现, 仅仅从不确定性组中的极端点就足以确定稳健的价值空间。 最后, 我们讨论关于强力价值空间的其他方面, 包括它无法连接的多面政策协议。

0
下载
关闭预览

相关内容

Artificial Intelligence: Ready to Ride the Wave? BCG 28页PPT
专知会员服务
28+阅读 · 2022年2月20日
专知会员服务
41+阅读 · 2020年9月6日
Keras François Chollet 《Deep Learning with Python 》, 386页pdf
专知会员服务
161+阅读 · 2019年10月12日
强化学习最新教程,17页pdf
专知会员服务
182+阅读 · 2019年10月11日
[综述]深度学习下的场景文本检测与识别
专知会员服务
78+阅读 · 2019年10月10日
机器学习入门的经验与建议
专知会员服务
94+阅读 · 2019年10月10日
VCIP 2022 Call for Special Session Proposals
CCF多媒体专委会
1+阅读 · 2022年4月1日
AIART 2022 Call for Papers
CCF多媒体专委会
1+阅读 · 2022年2月13日
【ICIG2021】Check out the hot new trailer of ICIG2021 Symposium8
中国图象图形学学会CSIG
0+阅读 · 2021年11月16日
【ICIG2021】Check out the hot new trailer of ICIG2021 Symposium6
中国图象图形学学会CSIG
2+阅读 · 2021年11月12日
【ICIG2021】Check out the hot new trailer of ICIG2021 Symposium4
中国图象图形学学会CSIG
0+阅读 · 2021年11月10日
【ICIG2021】Check out the hot new trailer of ICIG2021 Symposium3
中国图象图形学学会CSIG
0+阅读 · 2021年11月9日
【ICIG2021】Check out the hot new trailer of ICIG2021 Symposium1
中国图象图形学学会CSIG
0+阅读 · 2021年11月3日
【ICIG2021】Latest News & Announcements of the Industry Talk1
中国图象图形学学会CSIG
0+阅读 · 2021年7月28日
Transferring Knowledge across Learning Processes
CreateAMind
29+阅读 · 2019年5月18日
A Technical Overview of AI & ML in 2018 & Trends for 2019
待字闺中
18+阅读 · 2018年12月24日
国家自然科学基金
0+阅读 · 2014年12月31日
国家自然科学基金
0+阅读 · 2013年12月31日
国家自然科学基金
0+阅读 · 2012年12月31日
国家自然科学基金
0+阅读 · 2012年12月31日
国家自然科学基金
0+阅读 · 2012年12月31日
国家自然科学基金
0+阅读 · 2012年12月31日
国家自然科学基金
0+阅读 · 2011年12月31日
国家自然科学基金
1+阅读 · 2011年12月31日
国家自然科学基金
0+阅读 · 2011年12月31日
Arxiv
66+阅读 · 2021年6月18日
VIP会员
相关VIP内容
Artificial Intelligence: Ready to Ride the Wave? BCG 28页PPT
专知会员服务
28+阅读 · 2022年2月20日
专知会员服务
41+阅读 · 2020年9月6日
Keras François Chollet 《Deep Learning with Python 》, 386页pdf
专知会员服务
161+阅读 · 2019年10月12日
强化学习最新教程,17页pdf
专知会员服务
182+阅读 · 2019年10月11日
[综述]深度学习下的场景文本检测与识别
专知会员服务
78+阅读 · 2019年10月10日
机器学习入门的经验与建议
专知会员服务
94+阅读 · 2019年10月10日
相关资讯
VCIP 2022 Call for Special Session Proposals
CCF多媒体专委会
1+阅读 · 2022年4月1日
AIART 2022 Call for Papers
CCF多媒体专委会
1+阅读 · 2022年2月13日
【ICIG2021】Check out the hot new trailer of ICIG2021 Symposium8
中国图象图形学学会CSIG
0+阅读 · 2021年11月16日
【ICIG2021】Check out the hot new trailer of ICIG2021 Symposium6
中国图象图形学学会CSIG
2+阅读 · 2021年11月12日
【ICIG2021】Check out the hot new trailer of ICIG2021 Symposium4
中国图象图形学学会CSIG
0+阅读 · 2021年11月10日
【ICIG2021】Check out the hot new trailer of ICIG2021 Symposium3
中国图象图形学学会CSIG
0+阅读 · 2021年11月9日
【ICIG2021】Check out the hot new trailer of ICIG2021 Symposium1
中国图象图形学学会CSIG
0+阅读 · 2021年11月3日
【ICIG2021】Latest News & Announcements of the Industry Talk1
中国图象图形学学会CSIG
0+阅读 · 2021年7月28日
Transferring Knowledge across Learning Processes
CreateAMind
29+阅读 · 2019年5月18日
A Technical Overview of AI & ML in 2018 & Trends for 2019
待字闺中
18+阅读 · 2018年12月24日
相关基金
国家自然科学基金
0+阅读 · 2014年12月31日
国家自然科学基金
0+阅读 · 2013年12月31日
国家自然科学基金
0+阅读 · 2012年12月31日
国家自然科学基金
0+阅读 · 2012年12月31日
国家自然科学基金
0+阅读 · 2012年12月31日
国家自然科学基金
0+阅读 · 2012年12月31日
国家自然科学基金
0+阅读 · 2011年12月31日
国家自然科学基金
1+阅读 · 2011年12月31日
国家自然科学基金
0+阅读 · 2011年12月31日
Top
微信扫码咨询专知VIP会员