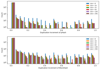
NFTs (Non-Fungible Tokens) have experienced an explosive growth and their record-breaking prices have been witnessed. Typically, the assets that NFTs represent are stored off-chain with a pointer, e.g., multi-hop URLs, due to the costly on-chain storage. Hence, this paper aims to answer the question: Is the NFT-to-Asset connection fragile? This paper makes a first step towards this end by characterizing NFT-to-Asset connections of 12,353 Ethereum NFT Contracts (6,234,141 NFTs in total) from three perspectives, storage, accessibility and duplication. In order to overcome challenges of affecting the measurement accuracy, e.g., IPFS instability and the changing availability of both IPFS and servers' data, we propose to leverage multiple gateways to enlarge the data coverage and extend a longer measurement period with non-trivial efforts. Results of our extensive study show that such connection is very fragile in practice. The loss, unavailability, or duplication of off-chain assets could render value of NFTs worthless. For instance, we find that assets of 25.24% of Ethereum NFT contracts are not accessible, and 21.48% of Ethereum NFT contracts include duplicated assets. Our work sheds light on the fragility along the NFT-to-Asset connection, which could help the NFT community to better enhance the trust of off-chain assets.


翻译:NFTs(非易燃 Tokens)经历了爆炸性增长,其创纪录的价格也出现了。通常,NFTs所代表的资产是用指示器(例如多点URL)储存的,因为链存储费用昂贵,多点的URL系统。因此,本文件旨在回答问题:NFT-Assset连接是否脆弱?本文通过将NFT-Asset连接12,353 Efeum NFT合同(总共6,234,141 NFTs)从三个角度、储存、可获取性和重复性(总共6,234,141 NFTs)来为达到这一目的迈出了第一步。为了克服影响测量准确性的挑战,例如,多点网点网点(例如,多点网(多点 URLUP) 和服务器数据的供应情况不断变化。因此,我们建议利用多个网关来扩大数据覆盖面,延长一个非三角努力的测量期。我们的广泛研究的结果显示,这种联系在实践上可能非常脆弱。NFTFTs(总共6,无法获得)的离线资产损失、无法或重复性资产会使NFTFTS21社区的价值价值更失去价值。举例价值。例如25 %的EFTFTA合同。我们发现EFTFTA合同中的25号的25号合同中的资产比重。

0
下载
关闭预览

相关内容

ACM SIGACCESS Conference on Computers and Accessibility是为残疾人和老年人提供与计算机相关的设计、评估、使用和教育研究的首要论坛。我们欢迎提交原始的高质量的有关计算和可访问性的主题。今年,ASSETS首次将其范围扩大到包括关于计算机无障碍教育相关主题的原创高质量研究。官网链接:http://assets19.sigaccess.org/
专知会员服务
26+阅读 · 2021年4月2日
专知会员服务
41+阅读 · 2020年9月6日
专知会员服务
61+阅读 · 2020年3月19日
强化学习最新教程,17页pdf
专知会员服务
182+阅读 · 2019年10月11日
2019年机器学习框架回顾
专知会员服务
36+阅读 · 2019年10月11日
[综述]深度学习下的场景文本检测与识别
专知会员服务
78+阅读 · 2019年10月10日
机器学习入门的经验与建议
专知会员服务
94+阅读 · 2019年10月10日
【哈佛大学商学院课程Fall 2019】机器学习可解释性
专知会员服务
105+阅读 · 2019年10月9日
ACM MM 2022 Call for Papers
CCF多媒体专委会
5+阅读 · 2022年3月29日
ACM TOMM Call for Papers
CCF多媒体专委会
2+阅读 · 2022年3月23日
AIART 2022 Call for Papers
CCF多媒体专委会
1+阅读 · 2022年2月13日
【ICIG2021】Latest News & Announcements of the Workshop
中国图象图形学学会CSIG
0+阅读 · 2021年12月20日
【ICIG2021】Check out the hot new trailer of ICIG2021 Symposium8
中国图象图形学学会CSIG
0+阅读 · 2021年11月16日
【ICIG2021】Latest News & Announcements of the Plenary Talk2
中国图象图形学学会CSIG
0+阅读 · 2021年11月2日
【ICIG2021】Latest News & Announcements of the Plenary Talk1
中国图象图形学学会CSIG
0+阅读 · 2021年11月1日
【ICIG2021】Latest News & Announcements of the Industry Talk2
中国图象图形学学会CSIG
0+阅读 · 2021年7月29日
Transferring Knowledge across Learning Processes
CreateAMind
29+阅读 · 2019年5月18日
A Technical Overview of AI & ML in 2018 & Trends for 2019
待字闺中
18+阅读 · 2018年12月24日
国家自然科学基金
0+阅读 · 2015年12月31日
国家自然科学基金
0+阅读 · 2015年12月31日
国家自然科学基金
1+阅读 · 2014年12月31日
国家自然科学基金
1+阅读 · 2013年12月31日
国家自然科学基金
1+阅读 · 2013年12月31日
国家自然科学基金
0+阅读 · 2012年12月31日
国家自然科学基金
0+阅读 · 2012年12月31日
国家自然科学基金
0+阅读 · 2008年12月31日
VIP会员
相关VIP内容
专知会员服务
26+阅读 · 2021年4月2日
专知会员服务
41+阅读 · 2020年9月6日
专知会员服务
61+阅读 · 2020年3月19日
强化学习最新教程,17页pdf
专知会员服务
182+阅读 · 2019年10月11日
2019年机器学习框架回顾
专知会员服务
36+阅读 · 2019年10月11日
[综述]深度学习下的场景文本检测与识别
专知会员服务
78+阅读 · 2019年10月10日
机器学习入门的经验与建议
专知会员服务
94+阅读 · 2019年10月10日
【哈佛大学商学院课程Fall 2019】机器学习可解释性
专知会员服务
105+阅读 · 2019年10月9日
相关资讯
ACM MM 2022 Call for Papers
CCF多媒体专委会
5+阅读 · 2022年3月29日
ACM TOMM Call for Papers
CCF多媒体专委会
2+阅读 · 2022年3月23日
AIART 2022 Call for Papers
CCF多媒体专委会
1+阅读 · 2022年2月13日
【ICIG2021】Latest News & Announcements of the Workshop
中国图象图形学学会CSIG
0+阅读 · 2021年12月20日
【ICIG2021】Check out the hot new trailer of ICIG2021 Symposium8
中国图象图形学学会CSIG
0+阅读 · 2021年11月16日
【ICIG2021】Latest News & Announcements of the Plenary Talk2
中国图象图形学学会CSIG
0+阅读 · 2021年11月2日
【ICIG2021】Latest News & Announcements of the Plenary Talk1
中国图象图形学学会CSIG
0+阅读 · 2021年11月1日
【ICIG2021】Latest News & Announcements of the Industry Talk2
中国图象图形学学会CSIG
0+阅读 · 2021年7月29日
Transferring Knowledge across Learning Processes
CreateAMind
29+阅读 · 2019年5月18日
A Technical Overview of AI & ML in 2018 & Trends for 2019
待字闺中
18+阅读 · 2018年12月24日
相关基金
国家自然科学基金
0+阅读 · 2015年12月31日
国家自然科学基金
0+阅读 · 2015年12月31日
国家自然科学基金
1+阅读 · 2014年12月31日
国家自然科学基金
1+阅读 · 2013年12月31日
国家自然科学基金
1+阅读 · 2013年12月31日
国家自然科学基金
0+阅读 · 2012年12月31日
国家自然科学基金
0+阅读 · 2012年12月31日
国家自然科学基金
0+阅读 · 2008年12月31日
Top
微信扫码咨询专知VIP会员