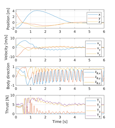
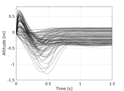
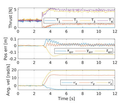
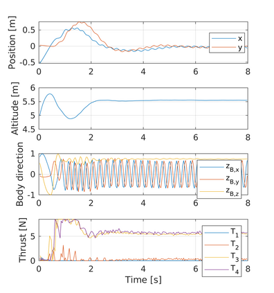
The mechanical simplicity, hover capabilities, and high agility of quadrotors lead to a fast adaption in the industry for inspection, exploration, and urban aerial mobility. On the other hand, the unstable and underactuated dynamics of quadrotors render them highly susceptible to system faults, especially rotor failures. In this work, we propose a fault-tolerant controller using the nonlinear model predictive control (NMPC) to stabilize and control a quadrotor subjected to the complete failure of a single rotor. Differently from existing works that either rely on linear assumptions or resort to cascaded structures neglecting input constraints in the outer-loop, our method leverages full nonlinear dynamics of the damaged quadrotor and considers the thrust constraint of each rotor. Hence, this method can seamlessly transition from nominal to rotor failure flights, and effectively perform upset recovery from extreme initial conditions. Extensive simulations and real-world experiments are conducted for validation, which demonstrates that the proposed NMPC method can effectively recover the damaged quadrotor even if the failure occurs during aggressive maneuvers, such as flipping and tracking agile trajectories.


翻译:在这项工作中,我们提议使用非线性模型预测控制(NMPC)来稳定和控制受单一转子完全失灵影响的四氧化磷,这不同于现有的工程,即依靠线性假设或采用不考虑外部环流输入限制的连锁结构,我们的方法利用了受损的四氧化磷的完全非线性动态,并考虑了每个转子的推力限制。因此,这种方法可以顺利地从名义飞行过渡到转子机故障飞行,并有效地使极端初始条件下的恢复工作中断。为了验证,进行了广泛的模拟和实际世界实验,这表明拟议的NMPC方法可以有效地恢复受损的四氧化磷,即使这种失败是在诸如翻转和跟踪螺旋形等攻击性动作中发生的。

0
下载
关闭预览

相关内容

专知会员服务
102+阅读 · 2021年9月21日
专知会员服务
90+阅读 · 2021年6月29日
Linux导论,Introduction to Linux,96页ppt
专知会员服务
81+阅读 · 2020年7月26日
【Uber AI新论文】持续元学习,Learning to Continually Learn
专知会员服务
37+阅读 · 2020年2月27日
【泡泡汇总】CVPR2019 SLAM Paperlist
泡泡机器人SLAM
14+阅读 · 2019年6月12日
Unsupervised Learning via Meta-Learning
CreateAMind
43+阅读 · 2019年1月3日
已删除
生物探索
3+阅读 · 2018年2月10日
Auto-Encoding GAN
CreateAMind
7+阅读 · 2017年8月4日
强化学习族谱
CreateAMind
26+阅读 · 2017年8月2日
VIP会员
相关资讯
【泡泡汇总】CVPR2019 SLAM Paperlist
泡泡机器人SLAM
14+阅读 · 2019年6月12日
Unsupervised Learning via Meta-Learning
CreateAMind
43+阅读 · 2019年1月3日
已删除
生物探索
3+阅读 · 2018年2月10日
Auto-Encoding GAN
CreateAMind
7+阅读 · 2017年8月4日
强化学习族谱
CreateAMind
26+阅读 · 2017年8月2日
Top
微信扫码咨询专知VIP会员