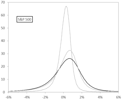
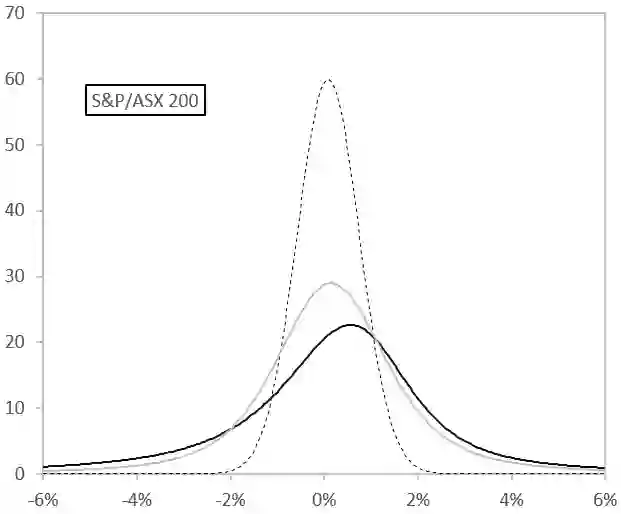
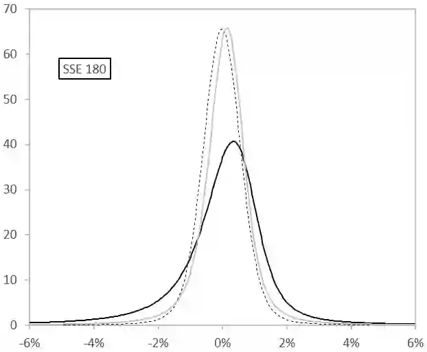
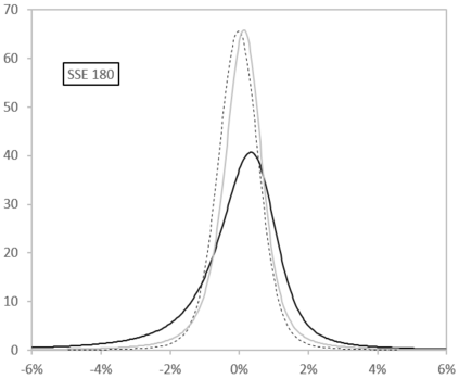
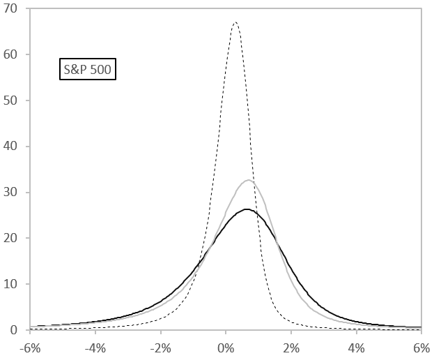
This paper investigates the impact of COVID-19 on financial markets. It focuses on the evolution of the market efficiency, using two efficiency indicators: the Hurst exponent and the memory parameter of a fractional L\'evy-stable motion. The second approach combines, in the same model of dynamic, an alpha-stable distribution and a dependence structure between price returns. We provide a dynamic estimation method for the two efficiency indicators. This method introduces a free parameter, the discount factor, which we select so as to get the best alpha-stable density forecasts for observed price returns. The application to stock indices during the COVID-19 crisis shows a strong loss of efficiency for US indices. On the opposite, Asian and Australian indices seem less affected and the inefficiency of these markets during the COVID-19 crisis is even questionable.


翻译:本文调查了COVID-19对金融市场的影响,重点是市场效率的演变,使用了两种效率指标:赫斯特指数和分数L\'evy-sable运动的记忆参数。第二种方法结合了动态分布模型和价格回报之间的依赖结构。我们为两种效率指标提供了动态估计方法。这个方法引入了一个自由参数,即折扣系数,我们选择这个系数是为了获得观察到的价格回报的最佳阿尔法-sable密度预测。在COVID-19危机期间对股票指数的应用表明美国指数效率的大幅下降。相反,亚洲和澳大利亚指数的影响似乎较小,而在COVID-19危机期间这些市场的效率甚至有疑问。

0
下载
关闭预览

相关内容

专知会员服务
51+阅读 · 2020年12月14日
【干货书】机器学习速查手册,135页pdf
专知会员服务
127+阅读 · 2020年11月20日
Keras François Chollet 《Deep Learning with Python 》, 386页pdf
专知会员服务
162+阅读 · 2019年10月12日
强化学习最新教程,17页pdf
专知会员服务
182+阅读 · 2019年10月11日
[综述]深度学习下的场景文本检测与识别
专知会员服务
78+阅读 · 2019年10月10日
【哈佛大学商学院课程Fall 2019】机器学习可解释性
专知会员服务
105+阅读 · 2019年10月9日
量化金融强化学习论文集合
专知
14+阅读 · 2019年12月18日
动物脑的好奇心和强化学习的好奇心
CreateAMind
10+阅读 · 2019年1月26日
逆强化学习-学习人先验的动机
CreateAMind
16+阅读 · 2019年1月18日
A Technical Overview of AI & ML in 2018 & Trends for 2019
待字闺中
18+阅读 · 2018年12月24日
spinningup.openai 强化学习资源完整
CreateAMind
6+阅读 · 2018年12月17日
【跟踪Tracking】15篇论文+代码 | 中秋快乐~
专知
18+阅读 · 2018年9月24日
【论文】变分推断(Variational inference)的总结
机器学习研究会
39+阅读 · 2017年11月16日
强化学习族谱
CreateAMind
26+阅读 · 2017年8月2日
强化学习 cartpole_a3c
CreateAMind
9+阅读 · 2017年7月21日
VIP会员
相关VIP内容
专知会员服务
51+阅读 · 2020年12月14日
【干货书】机器学习速查手册,135页pdf
专知会员服务
127+阅读 · 2020年11月20日
Keras François Chollet 《Deep Learning with Python 》, 386页pdf
专知会员服务
162+阅读 · 2019年10月12日
强化学习最新教程,17页pdf
专知会员服务
182+阅读 · 2019年10月11日
[综述]深度学习下的场景文本检测与识别
专知会员服务
78+阅读 · 2019年10月10日
【哈佛大学商学院课程Fall 2019】机器学习可解释性
专知会员服务
105+阅读 · 2019年10月9日
相关资讯
量化金融强化学习论文集合
专知
14+阅读 · 2019年12月18日
动物脑的好奇心和强化学习的好奇心
CreateAMind
10+阅读 · 2019年1月26日
逆强化学习-学习人先验的动机
CreateAMind
16+阅读 · 2019年1月18日
A Technical Overview of AI & ML in 2018 & Trends for 2019
待字闺中
18+阅读 · 2018年12月24日
spinningup.openai 强化学习资源完整
CreateAMind
6+阅读 · 2018年12月17日
【跟踪Tracking】15篇论文+代码 | 中秋快乐~
专知
18+阅读 · 2018年9月24日
【论文】变分推断(Variational inference)的总结
机器学习研究会
39+阅读 · 2017年11月16日
强化学习族谱
CreateAMind
26+阅读 · 2017年8月2日
强化学习 cartpole_a3c
CreateAMind
9+阅读 · 2017年7月21日
Top
微信扫码咨询专知VIP会员