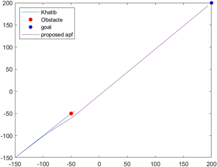
As mini UAVs become increasingly useful in the civilian work domain, the need for a method for them to operate safely in a cluttered environment is growing, especially for fixed-wing UAVs as they are incapable of following the stop-decide-execute methodology. This paper presents preliminary research to design a reactive collision avoidance algorithm based on the improved definition of the repulsive forces used in the Artificial potential field algorithms to allow feasible and safe navigation of fixed-wing UAVs in cluttered, dynamic environments. We present simulation results of the improved definition in multiple scenarios, and we have also discussed possible future studies to improve upon these results.


翻译:由于小型无人驾驶航空器在民用工作领域越来越有用,越来越需要一种方法,使它们能在混乱的环境中安全地运作,特别是对于固定翼无人驾驶航空器来说,因为固定翼无人驾驶航空器无法遵循停止决定-执行方法,本文件提出初步研究,以设计一种反应式避免碰撞算法,其基础是人工潜在实地算法中所使用的可击性力量的更好定义,以便能够在拥挤、动态的环境中对固定翼无人驾驶飞行器进行可行和安全的导航。我们用多种情况模拟了改进定义的结果,我们还讨论了今后可能进行的研究,以改进这些结果。

0
下载
关闭预览

相关内容

Artificial Intelligence: Ready to Ride the Wave? BCG 28页PPT
专知会员服务
28+阅读 · 2022年2月20日
Keras François Chollet 《Deep Learning with Python 》, 386页pdf
专知会员服务
161+阅读 · 2019年10月12日
[综述]深度学习下的场景文本检测与识别
专知会员服务
78+阅读 · 2019年10月10日
【SIGGRAPH2019】TensorFlow 2.0深度学习计算机图形学应用
专知会员服务
41+阅读 · 2019年10月9日
VCIP 2022 Call for Demos
CCF多媒体专委会
1+阅读 · 2022年6月6日
全球首个GNN为主的AI创业公司,募资$18.5 million!
图与推荐
1+阅读 · 2022年4月16日
征稿 | CFP:Special Issue of NLP and KG(JCR Q2,IF2.67)
开放知识图谱
1+阅读 · 2022年4月4日
VCIP 2022 Call for Special Session Proposals
CCF多媒体专委会
1+阅读 · 2022年4月1日
ACM MM 2022 Call for Papers
CCF多媒体专委会
5+阅读 · 2022年3月29日
ACM TOMM Call for Papers
CCF多媒体专委会
2+阅读 · 2022年3月23日
AIART 2022 Call for Papers
CCF多媒体专委会
1+阅读 · 2022年2月13日
Hierarchically Structured Meta-learning
CreateAMind
27+阅读 · 2019年5月22日
Transferring Knowledge across Learning Processes
CreateAMind
29+阅读 · 2019年5月18日
A Technical Overview of AI & ML in 2018 & Trends for 2019
待字闺中
18+阅读 · 2018年12月24日
国家自然科学基金
0+阅读 · 2014年12月31日
国家自然科学基金
1+阅读 · 2013年12月31日
国家自然科学基金
0+阅读 · 2012年12月31日
国家自然科学基金
0+阅读 · 2011年12月31日
国家自然科学基金
0+阅读 · 2011年12月31日
Arxiv
34+阅读 · 2022年12月20日
Arxiv
30+阅读 · 2021年8月18日
VIP会员
相关资讯
VCIP 2022 Call for Demos
CCF多媒体专委会
1+阅读 · 2022年6月6日
全球首个GNN为主的AI创业公司,募资$18.5 million!
图与推荐
1+阅读 · 2022年4月16日
征稿 | CFP:Special Issue of NLP and KG(JCR Q2,IF2.67)
开放知识图谱
1+阅读 · 2022年4月4日
VCIP 2022 Call for Special Session Proposals
CCF多媒体专委会
1+阅读 · 2022年4月1日
ACM MM 2022 Call for Papers
CCF多媒体专委会
5+阅读 · 2022年3月29日
ACM TOMM Call for Papers
CCF多媒体专委会
2+阅读 · 2022年3月23日
AIART 2022 Call for Papers
CCF多媒体专委会
1+阅读 · 2022年2月13日
Hierarchically Structured Meta-learning
CreateAMind
27+阅读 · 2019年5月22日
Transferring Knowledge across Learning Processes
CreateAMind
29+阅读 · 2019年5月18日
A Technical Overview of AI & ML in 2018 & Trends for 2019
待字闺中
18+阅读 · 2018年12月24日
相关基金
国家自然科学基金
0+阅读 · 2014年12月31日
国家自然科学基金
1+阅读 · 2013年12月31日
国家自然科学基金
0+阅读 · 2012年12月31日
国家自然科学基金
0+阅读 · 2011年12月31日
国家自然科学基金
0+阅读 · 2011年12月31日
Top
微信扫码咨询专知VIP会员