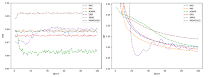
How to sample high quality negative instances from unlabeled data, i.e., negative sampling, is important for training implicit collaborative filtering and contrastive learning models. Although previous studies have proposed some approaches to sample informative instances, few has been done to discriminating false negative from true negative for unbiased negative sampling. On the basis of our order relation analysis of negatives' scores, we first derive the class conditional density of true negatives and that of false negatives. We next design a Bayesian classifier for negative classification, from which we define a model-agnostic posterior probability estimate of an instance being true negative as a quantitative negative signal measure. We also propose a Bayesian optimal sampling rule to sample high-quality negatives. The proposed Bayesian Negative Sampling (BNS) algorithm has a linear time complexity. Experimental studies validate the superiority of BNS over the peers in terms of better sampling quality and better recommendation performance.


翻译:如何从未贴标签的数据(即负抽样)中抽取高质量的负面实例,对于培训隐性协作过滤和对比式学习模式十分重要。虽然以前的研究已经提出一些抽样信息实例的方法,但很少采取区分虚假负面实例和真实负面负面抽样的方法。根据我们对底片分数的顺序关系分析,我们首先得出真实底片和假底片的等级条件密度。我们接下来设计一个负面分类的贝叶斯分类器,我们从中确定一个模型 -- -- 不可知性的事后概率估计值,作为定量负信号计量。我们还建议采用巴耶斯最佳抽样规则来抽样高质量负数。拟议的巴耶斯负抽样算法具有线性时间复杂性。实验研究证实,从更好的取样质量和更好的建议性表现来看,BNS优于同行。

0
下载
关闭预览

相关内容

专知会员服务
51+阅读 · 2020年12月14日
因果图,Causal Graphs,52页ppt
专知会员服务
253+阅读 · 2020年4月19日
专知会员服务
162+阅读 · 2020年1月16日
强化学习最新教程,17页pdf
专知会员服务
182+阅读 · 2019年10月11日
机器学习入门的经验与建议
专知会员服务
94+阅读 · 2019年10月10日
论文周报 | 推荐系统领域最新研究进展
机器学习与推荐算法
2+阅读 · 2022年4月11日
VCIP 2022 Call for Special Session Proposals
CCF多媒体专委会
1+阅读 · 2022年4月1日
ACM MM 2022 Call for Papers
CCF多媒体专委会
5+阅读 · 2022年3月29日
AIART 2022 Call for Papers
CCF多媒体专委会
1+阅读 · 2022年2月13日
会议交流 | IJCKG: International Joint Conference on Knowledge Graphs
Hierarchically Structured Meta-learning
CreateAMind
27+阅读 · 2019年5月22日
Unsupervised Learning via Meta-Learning
CreateAMind
43+阅读 · 2019年1月3日
A Technical Overview of AI & ML in 2018 & Trends for 2019
待字闺中
18+阅读 · 2018年12月24日
【推荐】深度学习目标检测全面综述
机器学习研究会
21+阅读 · 2017年9月13日
【推荐】用Tensorflow理解LSTM
机器学习研究会
36+阅读 · 2017年9月11日
国家自然科学基金
0+阅读 · 2015年12月31日
国家自然科学基金
12+阅读 · 2015年12月31日
国家自然科学基金
0+阅读 · 2013年12月31日
国家自然科学基金
0+阅读 · 2012年12月31日
国家自然科学基金
0+阅读 · 2011年12月31日
国家自然科学基金
0+阅读 · 2011年12月31日
国家自然科学基金
0+阅读 · 2011年12月31日
国家自然科学基金
0+阅读 · 2009年12月31日
国家自然科学基金
0+阅读 · 2009年12月31日
Arxiv
0+阅读 · 2022年7月7日
Arxiv
23+阅读 · 2022年2月24日
Arxiv
23+阅读 · 2018年8月3日
Arxiv
14+阅读 · 2018年4月18日
VIP会员
相关资讯
论文周报 | 推荐系统领域最新研究进展
机器学习与推荐算法
2+阅读 · 2022年4月11日
VCIP 2022 Call for Special Session Proposals
CCF多媒体专委会
1+阅读 · 2022年4月1日
ACM MM 2022 Call for Papers
CCF多媒体专委会
5+阅读 · 2022年3月29日
AIART 2022 Call for Papers
CCF多媒体专委会
1+阅读 · 2022年2月13日
会议交流 | IJCKG: International Joint Conference on Knowledge Graphs
Hierarchically Structured Meta-learning
CreateAMind
27+阅读 · 2019年5月22日
Unsupervised Learning via Meta-Learning
CreateAMind
43+阅读 · 2019年1月3日
A Technical Overview of AI & ML in 2018 & Trends for 2019
待字闺中
18+阅读 · 2018年12月24日
【推荐】深度学习目标检测全面综述
机器学习研究会
21+阅读 · 2017年9月13日
【推荐】用Tensorflow理解LSTM
机器学习研究会
36+阅读 · 2017年9月11日
相关论文
相关基金
国家自然科学基金
0+阅读 · 2015年12月31日
国家自然科学基金
12+阅读 · 2015年12月31日
国家自然科学基金
0+阅读 · 2013年12月31日
国家自然科学基金
0+阅读 · 2012年12月31日
国家自然科学基金
0+阅读 · 2011年12月31日
国家自然科学基金
0+阅读 · 2011年12月31日
国家自然科学基金
0+阅读 · 2011年12月31日
国家自然科学基金
0+阅读 · 2009年12月31日
国家自然科学基金
0+阅读 · 2009年12月31日
Top
微信扫码咨询专知VIP会员